Ordinul Nr.67 din 04.04.2018pentru aprobarea Metodologiei de monitorizare a pieţei angro de energie electrică ACT EMIS DE: Autoritatea Nationala de Reglementare in Domeniul Energiei ACT PUBLICAT ÎN MONITORUL OFICIAL NR. 342 din 19 aprilie 2018
Având în vedere prevederile art. 9 alin. (1) lit. o), p), r), ş) şi ale art. 11 alin. (2) din Ordonanţa de urgenţă a Guvernului nr. 33/2007 privind organizarea şi funcţionarea Autorităţii Naţionale de Reglementare în Domeniul Energiei, aprobată cu modificări şi completări prin Legea nr. 160/2012, cu modificările şi completările ulterioare, prevederile art. 71 alin. (9) din Legea energiei electrice şi a gazelor naturale nr. 123/2012, cu modificările şi completările ulterioare, şi prevederile Regulamentului (UE) nr. 1.227/2011 al Parlamentului European şi al Consiliului din 25 octombrie 2011 privind integritatea şi transparenţa pieţei angro de energie,în temeiul prevederilor art. 5 alin. (1) lit. c) şi alin. (5), precum şi ale art. 9 alin. (1) lit. h) din Ordonanţa de urgenţă a Guvernului nr. 33/2007 privind organizarea şi funcţionarea Autorităţii Naţionale de Reglementare în Domeniul Energiei, aprobată cu modificări şi completări prin Legea nr. 160/2012, cu modificările şi completările ulterioare,preşedintele Autorităţii Naţionale de Reglementare în Domeniul Energiei emite următorul ordin: Articolul 1Se aprobă „Metodologia de monitorizare a pieţei angro de energie electrică", prevăzută în anexa care face parte integrantă din prezentul ordin. Articolul 2La data intrării în vigoare a prezentului ordin se abrogă Ordinul preşedintelui Autorităţii Naţionale de Reglementare în Domeniul Energiei nr. 35/2006 privind aprobarea Metodologiei de monitorizare a pieţei angro de energie electrică pentru aprecierea nivelului de concurenţă pe piaţă şi prevenirea abuzului de poziţie dominantă, publicat în Monitorul Oficial al României, Partea I, nr. 1.022 din 22 decembrie 2006, cu modificările ulterioare. Articolul 3Participanţii la piaţa de energie electrică definiţi în cuprinsul metodologiei prevăzute la art. 1, Operatorul Pieţei de Energie Electrică şi Gaze Naturale „OPCOM" - S.A. şi Operatorul de Transport şi Sistem Compania Naţională de Transport al Energiei Electrice „Transelectrica" - S.A. duc la îndeplinire prevederile prezentului ordin. Articolul 4 Direcţia de specialitate din cadrul Autorităţii Naţionale de Reglementare în Domeniul Energiei urmăreşte respectarea prevederilor prezentului ordin.Preşedintele Autorităţii Naţionale de Reglementare în Domeniul Energiei,Dumitru ChiriţăANEXĂMETODOLOGIE de monitorizare a pieţei angro de energie electrică Capitolul IDispoziţii generale Secţiunea 1Scop Articolul 1Prezenta metodologie de monitorizare a pieţei angro de energie electrică (metodologie) are drept scop stabilirea modului în care Autoritatea Naţională de Reglementare în Domeniul Energiei (ANRE) monitorizează funcţionarea pieţei angro de energie electrică din România pentru evaluarea nivelului de performanţă, eficienţă, concurenţă şi transparenţă pe piaţă, pentru prevenirea/descurajarea practicilor anticoncurenţiale, a abuzului de piaţă, inclusiv a practicilor care pot afecta siguranţa sistemului energetic naţional. Articolul 2Aplicarea prezentei metodologii asigură premisele pentru desfăşurarea etapei de analiză preliminară a suspiciunilor de abuz de piaţă sesizate de ACER, de participanţii la piaţa angro de energie electrică, de „persoanele care efectuează tranzacţii cu titlu profesional", în conformitate cu prevederile Regulamentului (UE) nr. 1.227/2011 al Parlamentului European şi al Consiliului din 25 octombrie 2011 privind integritatea şi transparenţa pieţei angro de energie (REMIT) sau care pot rezulta din activitatea proprie de monitorizare desfăşurată de ANRE. Articolul 3Obiectivele urmărite prin aplicarea prezentei metodologii sunt: a)evaluarea nivelului de performanţă, eficienţă şi concurenţă pe fiecare componentă a pieţei angro de energie electrică, cu identificarea acelor elemente care conduc la scăderea acestora; b)creşterea nivelului de transparenţă a pieţei angro de energie electrică, cu efect direct asupra promovării şi asigurării mediului concurenţial; c)urmărirea respectării reglementărilor emise de ANRE cu privire la organizarea şi funcţionarea pieţei angro de energie electrică în ansamblu şi pe fiecare dintre componentele sale, în condiţiile aplicării unui tratament egal şi nediscriminatoriu tuturor participanţilor la piaţă; d)supravegherea comportamentului participanţilor la piaţa angro de energie electrică din punctul de vedere al respectării legislaţiei primare şi secundare aferente domeniului energiei electrice; e)identificarea posibilelor comportamente de piaţă anormale şi/sau inadecvate, precum şi ale practicilor anticoncurenţiale sau de abuz de piaţă, cu sesizarea Consiliului Concurenţei, ACER sau a altor organisme abilitate, atunci când există suspiciunea încălcării legislaţiei aplicabile în vigoare; f)asigurarea cooperării cu organismele interne şi internaţionale din domeniul energiei electrice sau domenii conexe (de exemplu: concurenţă, financiar) în vederea respectării prevederilor legislaţiei primare naţionale şi a reglementărilor europene aplicabile. Articolul 4Prin aplicarea prezentei metodologii se urmăreşte îndeplinirea obiectivelor menţionate anterior, inclusiv prin: a)actualizarea bazei de date organizate la nivel naţional specifică sectorului energiei electrice, cuprinzând date/informaţii care caracterizează piaţa angro de energie electrică, necesare atât desfăşurării activităţii ANRE, cât şi furnizării de informaţii altor organisme interne şi internaţionale din domeniul energiei electrice; b)stabilirea sistemului unitar de indicatori utilizaţi de ANRE în activitatea de monitorizare a pieţei angro de energie electrică; c)stabilirea obligaţiilor de raportare a datelor şi informaţiilor necesare în activitatea de monitorizare a pieţei, a formatului şi frecvenţei de raportare, inclusiv a fluxului de date în vederea evitării dublei raportări de către participanţii la piaţa angro de energie electrică în condiţiile aplicării prevederilor REMIT; d)stabilirea obligaţiilor de transparenţă privind rezultatele funcţionării pieţei angro de energie electrică pe fiecare dintre componentele sale, ca urmare a desfăşurării activităţii de monitorizare a pieţei. Secţiunea a 2-aDomeniu de aplicare Articolul 5Prezenta metodologie creează cadrul procedural specific activităţii de monitorizare a pieţei angro de energie electrică desfăşurată de compartimentul de monitorizare de la nivelul ANRE în colaborare cu entităţile de monitorizare de la nivelul OPEE şi, respectiv, OTS. Articolul 6Prezenta metodologie este utilizată drept instrument de lucru în activitatea proprie a ANRE de monitorizare a pieţei angro şi stabileşte reperele principale pentru activităţile de supraveghere a pieţelor centralizate aflate în administrarea OPEE şi OTS, în conformitate cu legislaţia naţională şi reglementările europene direct aplicabile. Articolul 7Prezenta metodologie se aplică OPEE, OTS, în calitate de operatori ai pieţelor centralizate şi titularilor de licenţe emise de ANRE, şi persoanelor juridice străine cu drept de participare la pieţele de energie electrică din România, consideraţi în sensul prezentei metodologii, „participanţi la piaţă", după cum urmează: a)producători de energie electrică deţinători de unităţi de producere dispecerizabile (conform clasificării pe categorii de putere din regulamentul aplicabil); b)furnizori; c)traderi; d)PRE; e)operatori de distribuţie concesionari; f)operator de transport şi sistem (în calitate de participant la pieţele centralizate); g)clienţi finali dispecerizabili. Secţiunea a 3-aDefiniţii şi abrevieri Articolul 8În înţelesul prezentei metodologii, termenii şi expresiile folosite au semnificaţiile următoare:
|
abuz de piaţă |
comportament al participantului la piaţă care implică utilizarea informaţiilor privilegiate în cursul tranzacţionării unui produs angro, respectiv manipularea sau tentativa de manipulare a pieţei de energie - concept reglementat de prevederile art. 3 şi 5 din REMIT |
|
abuz de poziţie dominantă |
practică comercială anticoncurenţială în care un participant cu poziţie dominantă se poate angaja pentru a-şi menţine sau întări poziţia pe o piaţă, interzisă de legislaţia din domeniul concurenţei |
|
compartiment de monitorizare |
entitate organizatorică distinctă în cadrul ANRE cu atribuţii de monitorizare a pieţei angro de energie electrică |
|
comportament de piaţă anormal |
comportament caracterizat de neconcordanţa dintre intenţiile de tranzacţionare ale unui participant pe o componentă a pieţei de energie electrică într-un anumit moment (exprimate prin oferte, notificări) şi manifestările sale anterioare sau datele publice care caracterizează momentul respectiv |
|
comportament de piaţă inadecvat |
comportament care se abate de la reglementările în vigoare şi de la procedurile conexe, putând avea un efect negativ asupra eficienţei pieţei angro de energie electrică |
|
date partajate de ACER |
setul de date privind produsele energetice angro de energie electrică, raportabile în conformitate cu art. 3 din Regulamentul (UE) nr. 1.348/2014 pentru contractele standardizate şi nestandardizate care, conform memorandumului de înţelegere încheiat între ACER şi autorităţile naţionale de reglementare din UE, vor fi puse la dispoziţia ANRE în mod continuu, în formate prestabilite, doar în cazul îndeplinirii condiţiilor stricte de securitate şi confidenţialitate impuse de ACER |
|
entitate de monitorizare |
entitate organizatorică distinctă la nivelul OPEE/OTS, cu atribuţii de monitorizare a pieţelor de energie electrică aflate în administrare |
|
machetă de monitorizare |
format prelucrabil, postat pe site-ul www.anre.ro, proiectat pe tip de participant la piaţă, operator de piaţă sau operator de transport şi sistem, destinat completării datelor şi informaţiilor solicitate de ANRE în scopul determinării indicatorilor necesari în activitatea de monitorizare |
|
persoană care efectuează tranzacţii cu titlu profesional |
concept invocat în REMIT şi detaliat în Ghidul de aplicare al REMIT |
|
raportare lunară de monitorizare |
machetă de monitorizare completată lunar, în mod individual, de fiecare participant la piaţă căruia i se aplică prevederile prezentei metodologii şi care se încarcă pe portalul ANRE, destinat culegerii de date de la operatorii economici raportori (în conformitate cu instrucţiunile de completare publicate pe site-ul www.anre.ro) |
Articolul 9Abrevierile utilizate în cadrul prezentei metodologii au următoarele semnificaţii:
|
ACER |
Agenţia pentru Cooperarea Autorităţilor de Reglementare în Domeniul Energiei |
|
ANRE |
Autoritatea Naţională de Reglementare în Domeniul Energiei |
|
ATC |
Capacitate disponibilă de interconexiune |
|
CEER |
Consiliul European al Autorităţilor de Reglementare în Domeniul Energiei |
|
FUI |
Furnizor de ultimă instanţă |
|
NTC |
Capacitate netă de interconexiune |
|
OD |
Operator de distribuţie |
|
OPEE |
Operator al pieţei de energie electrică - Opcom - S.A. |
|
OTS |
Operator de transport şi sistem - CNTEE Transelectrica - S.A. |
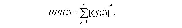
|
PACI |
Piaţa de alocare a capacităţii de interconexiune a SEN cu sistemele electroenergetice vecine |
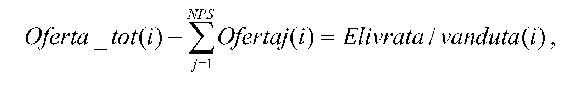
|
PAM |
Piaţa cu amănuntul de energie electrică |
|
PAN |
Piaţa angro de energie electrică |
|
PC-OTC |
Piaţa centralizată cu negociere dublă continuă a contractelor bilaterale de energie electrică |
|
PCC |
Pieţele centralizate de contracte bilaterale organizate la nivelul Opcom - S.A. |
|
PCCB-LE |
Piaţa centralizată a contractelor bilaterale de energie electrică - modalitatea de tranzacţionare prin licitaţie extinsă |
|
PCCB-NC |
Piaţa centralizată a contractelor bilaterale de energie electrică - modalitatea de tranzacţionare prin negociere continuă |
|
PCCB-PC |
Piaţa centralizată a contractelor bilaterale de energie electrică - modalitatea de tranzacţionare prin contracte de procesare |
|
PCSU |
Piaţa centralizată pentru serviciul universal |
|
PE |
Piaţa de echilibrare |
|
PI |
Piaţa intrazilnică |
|
PMC |
Piaţa de energie electrică pentru clienţii finali mari |
|
PRE |
Parte responsabilă cu echilibrarea |
|
PSTS |
Piaţa serviciilor tehnologice de sistem |
|
PZU |
Piaţa pentru ziua următoare |
|
REMIT |
Regulamentul (UE) nr. 1.227/2011 al Parlamentului European şi al Consiliului din 25 octombrie 2011 privind integritatea şi transparenţa pieţei angro de energie |
|
TTC |
Capacitate totală de interconexiune |
Articolul 10Definiţiile, termenii specifici şi noţiunile utilizate au semnificaţiile cuprinse în: a)Legea energiei electrice şi gazelor naturale nr. 123/2012, cu modificările şi completările ulterioare; b)Ordonanţa de urgenţă a Guvernului nr. 33/2007 privind organizarea şi funcţionarea Autorităţii Naţionale de Reglementare în Domeniul Energiei, aprobată cu modificări şi completări prin Legea nr. 160/2012, cu modificările şi completările ulterioare; c)Legea concurenţei nr. 21/1996, republicată, cu completările şi modificările ulterioare; d)Regulamentul (UE) nr. 1.227/2011 al Parlamentului European şi al Consiliului din 25 octombrie 2011 privind integritatea şi transparenţa pieţei angro de energie (REMIT); e)Regulamentul de punere în aplicare (UE) nr. 1.348/2014 al Comisiei din 17 decembrie 2014 privind raportarea de date, pentru punerea în aplicare a articolului 8 alineatele (2) şi (6) din Regulamentul (UE) nr. 1.227/2011 al Parlamentului European şi al Consiliului privind integritatea şi transparenţa pieţei angro de energie [Regulamentul (UE) nr. 1.348/2014]; f)Regulamentul (UE) nr. 543/2013 al Comisiei din 14 iunie 2013 privind transmiterea şi publicarea datelor pe pieţele energiei electrice şi de modificare a anexei I la Regulamentul nr. 714/2009 al Parlamentului European şi al Consiliului [Regulamentul (UE) nr. 543/2013]; g)Codul comercial al pieţei angro de energie electrică, cu modificările şi completările ulterioare; h)Ghidul de aplicare a Regulamentului (UE) nr. 1.227/2011 al Parlamentului European şi al Consiliului din 25 octombrie 2011 privind integritatea şi transparenţa pieţei angro de energie - document fără caracter obligatoriu (Ghidul de aplicare al REMIT). Capitolul IIPrincipii generale ale activităţii de monitorizare Secţiunea 1Responsabilităţi Articolul 11Pentru îndeplinirea atribuţiei ANRE de monitorizare a funcţionării pieţei de energie electrică în vederea evaluării nivelului de eficienţă, transparenţă şi concurenţă a acesteia este necesară determinarea: a)modului în care se aplică şi se respectă legislaţia incidentă şi regulile de piaţă în vigoare; b)comportamentului participanţilor pe pieţele componente ale pieţei angro de energie electrică; c)eficienţei ansamblului de reglementări şi structurii actuale a pieţei; d)gradului de îndeplinire a obligaţiilor de asigurare a transparenţei informaţiilor; e)gradului de păstrare a integrităţii pieţei angro de energie electrică. Articolul 12În vederea asigurării atribuţiei de monitorizare a pieţei angro de energie electrică, în etapa de supraveghere şi, respectiv, de evaluare a performanţelor pieţelor componente, ANRE (prin compartimentul de monitorizare) se află într-o relaţie strânsă de colaborare cu OPEE şi, respectiv, OTS (prin entităţile de monitorizare, distinct organizate la nivelul celor doi operatori pe bază de proceduri proprii specifice), cu scopul de a asigura eficienţa activităţii de monitorizare a pieţei angro de energie electrică în ansamblul său. Articolul 13Responsabilitatea monitorizării permanente a elementelor precizate revine compartimentului de monitorizare din ANRE şi entităţilor de monitorizare din cadrul OPEE şi OTS, în limitele precizate de legislaţia naţională primară şi secundară şi a legislaţiei europene aplicabile direct. Articolul 14Activitatea de monitorizare a pieţei angro de energie electrică desfăşurată de ANRE prin compartimentul de monitorizare se concentrează în principal pe identificarea influenţelor reciproce dintre componentele pieţei angro, pe analiza interdependenţei dintre piaţa angro şi cea cu amănuntul de energie electrică şi a efectelor pieţelor conexe asupra pieţei angro de energie electrică (de exemplu, pieţele de certificate verzi). Activitatea la nivelul ANRE se bazează în principal pe datele şi informaţiile colectate ulterior momentului tranzacţionării produselor energetice pe diferitele pieţe de energie electrică sau momentului livrării energiei electrice. Articolul 15În scopul îndeplinirii obligaţiilor de monitorizare, participanţii la piaţă au obligaţia să transmită datele şi informaţiile solicitate pe bază de machete de monitorizare, dezvoltate conform prezentei metodologii, în mod corect, complet şi la timp, în formatele specificate pentru fiecare etapă de culegere a datelor. Articolul 16În plus faţă de datele obţinute în urma procesului de culegere lunară pe baza machetelor de monitorizare, ANRE poate solicita respectivilor participanţi la piaţă, în scris, cu motivarea necesităţii şi specificarea conţinutului şi formatelor solicitate, alte date şi informaţii privind propria activitate desfăşurată pe piaţa angro de energie electrică. Articolul 17În vederea îndeplinirii obligaţiilor din Regulamentul (UE) nr. 543/2013, compartimentul de monitorizare din ANRE desfăşoară verificări ale modului în care OTS şi furnizorii de date prevăzuţi în respectivul regulament european transmit datele către platforma centrală pentru transparenţă a informaţiilor (EMFIP), din punctul de vedere al asigurării ritmicităţii, calităţii şi completitudinii datelor transmise. La solicitarea ANRE, OTS prezintă eventualele disfuncţionalităţi apărute în asigurarea fluxului de date şi propuneri de remediere a acestora. Articolul 18Activitatea de monitorizare desfăşurată de entităţile de monitorizare din cadrul OPEE şi OTS se referă la monitorizarea pieţelor centralizate de energie electrică aflate în administrare. În virtutea acestui rol, pornind de la setul de indicatori prevăzuţi în prezenta metodologie, entităţile de monitorizare din cadrul OPEE şi OTS evaluează, prin intermediul unor seturi de indicatori stabiliţi prin proceduri interne proprii, funcţionarea pieţelor administrate, identifică situaţiile de disfuncţionalitate şi cauzele acestora, eventualele comportamente de piaţă inadecvate, anormale, eventuale suspiciuni de abuz de poziţie dominantă, detectează orice alte situaţii sau acţiuni care ar putea afecta concurenţa pe piaţa analizată. Articolul 19Entităţile de monitorizare din cadrul OPEE şi OTS depun eforturi pentru realizarea unei monitorizări proactive, de tip preventiv a pieţelor centralizate aflate în administrare. În acest sens, entităţile de monitorizare din cadrul OPEE şi OTS au responsabilitatea identificării unor eventuale comportamente de piaţă anormale ale participanţilor la pieţele administrate din etapa de ofertare, anterioară momentului tranzacţionării/livrării. Atunci când ofertele nu corespund unui comportament normal de ofertare, entităţile de monitorizare din OPEE şi OTS analizează în regim de urgenţă situaţia respectivă şi aplică un set de măsuri, mergând până la blocarea de la tranzacţionare a respectivelor oferte. În paralel, acestea informează în cel mai scurt timp ANRE asupra evenimentelor respective şi a măsurilor luate. Măsurile necesare şi condiţiile în care acestea se aplică în caz de comportament anormal de ofertare sunt detaliate prin procedurile interne proprii prevăzute la art. 18. Articolul 20Pentru îndeplinirea obligaţiilor care le revin în calitate de persoane care efectuează tranzacţii cu titlu profesional, OPEE şi OTS implementează propriile strategii specifice de monitorizare a pieţelor din administrarea fiecăruia, pentru identificarea posibilelor încălcări ale prevederilor art. 3, 4 şi 5 din REMIT, pornind de la Ghidul de aplicare a REMIT şi documentele adiacente (ultimele versiuni publicate pe portalul REMIT), bazându-se pe dezvoltarea sistemelor de monitorizare (colectare, stocare, prelucrare şi diseminare a informaţiilor) pe care OPEE şi OTS le deţin. Articolul 21În acest sens, entităţile de monitorizare din cadrul OPEE şi OTS descriu în proceduri proprii, distincte de cele de la art. 18, demersurile de îndeplinire a obligaţiilor respective, în concordanţă cu etapele descrise ca bună practică în acest domeniu în Ghidul de aplicare a REMIT (versiunea actualizată, publicată pe portalul REMIT). Articolul 22În vederea îndeplinirii obligaţiilor de monitorizare şi a celor de „persoane care efectuează tranzacţii cu titlu profesional", OPEE şi OTS se asigură că sunt îndeplinite toate premisele organizării corespunzătoare a activităţii la nivelul entităţilor de monitorizare de la nivelul celor doi operatori, inclusiv accesul permanent la toate datele rezultate din procesul de operare a pieţelor din competenţa proprie. Sistemele de analiză şi cele informatice ale OPEE şi OTS sunt adaptate corespunzător cerinţelor supravegherii pieţei şi comportamentului, conform REMIT. Secţiunea a 2-aPremise pentru desfăşurarea activităţii de monitorizare Articolul 23ANRE colaborează cu compartimentele de specialitate din cadrul Consiliului Concurenţei, în conformitate cu prevederile protocolului de colaborare încheiat între cele două instituţii, în scopul prevenirii şi descurajării practicilor anticoncurenţiale pe pieţele de energie electrică. În măsura în care consideră necesar, ANRE poate solicita colaborarea Consiliului Concurenţei în etapa de monitorizare a modului de funcţionare a pieţelor de energie electrică în vederea identificării situaţiilor de încălcare a legislaţiei din domeniul concurenţei şi în etapa de analiză preliminară a cazurilor de suspiciune a încălcării prevederilor REMIT. Articolul 24În virtutea protocolului de colaborare încheiat şi a prevederilor REMIT, ANRE informează Consiliul Concurenţei atunci când, ulterior analizelor efectuate, are motive întemeiate să suspecteze că pe o piaţă angro de energie se săvârşesc/s-au săvârşit acte care ar putea constitui încălcări ale legislaţiei în domeniul concurenţei. Articolul 25ANRE colaborează cu compartimentele de specialitate din cadrul Autorităţii de Supraveghere Financiară, în conformitate cu prevederile Protocolului de colaborare încheiat între cele două instituţii, în scopul abordării coordonate a modalităţilor de asigurare a aplicării prevederilor REMIT şi monitorizării modului de funcţionare a pieţelor de energie electrică în vederea identificării situaţiilor de încălcare a legislaţiei specifice. Articolul 26Participanţii la piaţă, OPEE, OTS sau orice altă persoană fizică/juridică pot face sesizări către ANRE cu privire la funcţionarea componentelor pieţelor de energie electrică, comportamentul participanţilor pe respectivele pieţe sau existenţa unui posibil abuz de piaţă. Articolul 27În vederea respectării principiului confidenţialităţii datelor/informaţiilor, sesizările referitoare la existenţa unui posibil abuz de piaţă pe piaţa angro de energie electrică, conform REMIT, vor fi transmise prin completarea unui formular pe platforma de notificare REMIT, pusă la dispoziţie de ACER (pe portalul www.acer-remit.eu/portal/notification-platform şi link pe www.anre.ro), încărcarea fiind în acest mod considerată ca transmisă către ANRE. Pentru celelalte tipuri de sesizări transmiterea se face direct către ANRE, prin mijloacele de comunicare cunoscute (formate letric şi/sau electronic). Capitolul IIIDate şi informaţii necesare pentru monitorizarea pieţei angro de energie electrică Secţiunea 1Modalităţi de culegere Articolul 28Activităţile de supraveghere, de evaluare a performanţelor pieţei angro de energie electrică şi de determinare a comportamentului participanţilor pe pieţe, realizate de ANRE prin intermediul compartimentului de monitorizare, se bazează în principal pe culegerea de date/informaţii specifice activităţii de tranzacţionare a participanţilor la piaţă definiţi la art. 7, pe componentele pieţei angro de energie electrică. Articolul 29Categoriile de date/informaţii solicitate sunt organizate în machete de monitorizare, în funcţie de tipul fiecărui participant la piaţă şi, respectiv, pentru OTS şi OPEE. În anexe sunt detaliate toate tipurile de date/informaţii conţinute de machetele de monitorizare. Articolul 30În funcţie de conţinutul lor şi de necesităţile de analiză identificate în activitatea de monitorizare, datele/informaţiile colectate pot avea frecvenţă zilnică, săptămânală, lunară, semestrială sau anuală. La cererea scrisă şi justificată a ANRE, datele pot fi colectate punctual, în funcţie de solicitările de raportare sau analiză transmise de diverse instituţii naţionale şi/sau europene sau de necesităţile proprii de reglementare/monitorizare/raportare. Articolul 31 Având în vedere faptul că o parte din datele colectate direct de ANRE de la operatorii economici prevăzuţi la art. 7 lit. a)-f) pe baza machetelor de monitorizare sunt raportate direct către ACER conform REMIT şi pentru a reduce obligaţiile de raportare ale acestora la un nivel minim, se definesc trei etape ale procesului de culegere a datelor aferente tranzacţionării produselor angro de energie electrică: etapa I - caracterizată prin menţinerea culegerii directe a datelor şi informaţiilor de la participanţii la piaţa angro/OPEE/OTS; etapa a II-a - caracterizată prin existenţa în paralel a culegerii directe prin machetele de monitorizare (conform etapei I) şi demararea procesului de preluare din baza de date ACER a datelor de tranzacţionare/ofertare a produselor angro de energie electrică, raportabile conform REMIT; etapa a III-a - caracterizată prin preluarea integrală din baza de date ACER a datelor de tranzacţionare/ofertare a produselor angro de energie electrică, raportabile conform REMIT; în plus, datele/informaţiile care nu sunt raportabile conform REMIT vor fi colectate în continuare în mod direct de la participanţii la piaţa angro/OPEE/OTS. Etapa I Articolul 32Până la finalizarea procesului de adaptare a sistemului informatic al ANRE la setul de cerinţe de securitate solicitate de ACER, inclusiv testarea proceselor de preluare şi prelucrare a datelor primite de la ACER la necesităţile de monitorizare a pieţei angro de energie electrică în conformitate cu legislaţia naţională, procesul de culegere a datelor se desfăşoară pe baza culegerii directe de date de la participanţi/OPEE/OTS. Articolul 33Datele se colectează prin machete de monitorizare individualizate pe fiecare tip de participant la piaţa angro, realizate în funcţie de tipul de licenţă deţinut. Astfel, participanţii la piaţă prevăzuţi la art. 7 lit. a)-g) transmit lunar datele solicitate, pe format electronic (prin încărcarea formatului prelucrabil pe portalul ANRE) şi letric (până la implementarea mecanismului de semnătură electronică), în condiţiile şi termenele prevăzute în instrucţiunile de completare, conform machetelor de monitorizare cuprinse în anexa nr. 1 şi în anexa nr. 3 (macheta A1), postate pe site-ul www.anre.ro. Articolul 34Participanţii la piaţă respectă întocmai termenele de transmitere, formatele precizate şi celelalte solicitări privind modul de transmitere şi de completare a datelor cuprinse în instrucţiunile de completare ataşate fiecărui tip de model de machetă de monitorizare postată pe site-ul www.anre.ro. Articolul 35De îndată ce devin activi pe una dintre componentele pieţei angro, participanţii la piaţă prevăzuţi la art. 7 lit. a)-c) sunt obligaţi să transmită către compartimentul de monitorizare din ANRE o înştiinţare privind demararea activităţii de producere/tranzacţionare a energiei electrice sau de furnizare către clienţii finali. În urma primirii înştiinţării respective, compartimentul de monitorizare întreprinde demersurile necesare ca în cel mai scurt timp (maximum 5 zile lucrătoare de la data primirii respectivei înştiinţări) participantul la piaţă să îşi poată încărca, în contul propriu de pe portalul ANRE, datele proprii în una dintre machetele de monitorizare, în funcţie de tipul principal de activitate pe care îl desfăşoară (producere, furnizare, trading). Articolul 36În cazul în care un producător de energie electrică deţinător de unităţi de producere dispecerizabile are şi licenţă de furnizare de energie electrică separată, emisă de ANRE, acesta raportează pe macheta de monitorizare specifică producătorilor dispecerizabili inclusiv datele şi informaţiile care îi caracterizează activitatea în calitate de furnizor. Articolul 37În cazul în care un titular de licenţă de furnizare de energie electrică deţine unităţi de producere nedispecerizabile, acesta raportează datele şi informaţiile care îi caracterizează activitatea în calitate de furnizor, pe macheta de monitorizare specifică furnizorilor de energie electrică. Articolul 38Culegerea datelor de la participanţii la piaţă se face de ANRE prin intermediul portalului ANRE, în contul fiecărui participant şi în mod excepţional, în cazul unor necesităţi de analiză pe care ANRE le identifică, pe adresa de e-mail destinată primirii raportărilor de la participanţii la piaţă. Datele sunt preluate automat în baza de date naţională organizată la nivelul ANRE conform prevederilor legale. Articolul 39Machetele de monitorizare se revizuiesc anual, pentru a reflecta prevederile cadrului de reglementare în vigoare sau necesităţile de preluare în baza de date. Acestea se publică pe site-ul ANRE în locaţiile clar definite, fiind însoţite de instrucţiuni de completare specifice. ANRE informează în scris toţi participanţii la piaţă activi la acel moment asupra publicării setului revizuit de machete lunare de monitorizare, cu precizarea modificărilor efectuate. Articolul 40În scopul desfăşurării activităţii de monitorizare a ANRE, OPEE şi OTS transmit electronic (pe adresa de e-mail dedicată primirii raportărilor de monitorizare), cu frecvenţă zilnică/săptămânală/lunară (în funcţie de specificul datelor transmise) datele/informaţiile prevăzute în anexa nr. 2 şi în anexa nr. 3 (cu excepţia machetei A1). În funcţie de necesităţile de monitorizare, ANRE precizează/agreează împreună cu OPEE sau OTS formatul în care se vor transmite datele. Articolul 41 În plus faţă de raportările periodice de date, la solicitarea scrisă şi justificată a ANRE, OPEE şi OTS transmit şi alte tipuri de date referitoare la pieţele centralizate administrate şi la activitatea participanţilor pe respectivele pieţe, în formatul solicitat de ANRE şi cu termenele de transmitere convenite de ambele părţi. Datele respective pot include şi rezultate ale unor simulări ale funcţionării pieţelor administrate, în ipoteze prestabilite, solicitate de ANRE. Etapa a II-a Articolul 42După îndeplinirea de către ANRE a întregului set de condiţii de securitate prevăzute de ACER pentru trasmiterea datelor/informaţiilor pe canal securizat şi obţinerea din partea ACER a permisiunii de accesare a datelor raportate în conformitate cu Regulamentul (UE) nr. 1.348/2014, se demarează etapa a II-a, în cadrul căreia se realizează tranziţia de la monitorizarea pe baza datelor de tranzacţionare colectate direct de la participanţii la piaţă la monitorizarea pe baza culegerii din sursă combinată a datelor (etapa a II-a sau a III-a). Articolul 43În etapa a II-a, participanţii la piaţă prevăzuţi la art. 7 lit. a)-g) şi OPEE/OTS continuă să transmită datele/informaţiile conform cerinţelor din etapa I-a, în aceleaşi condiţii şi cu păstrarea aceloraşi obligaţii de raportare, formatul de transmitere solicitat fiind exclusiv cel electronic, prin mecanismul de semnătură electronică. Articolul 44La cererea scrisă şi motivată a ANRE, participanţii la piaţa angro transmit şi formatul hârtie al raportărilor lunare de monitorizare. Articolul 45Etapa a II-a reprezintă etapa de testare a calităţii datelor partajate de ACER din punctul de vedere al corectitudinii şi completitudinii, comparativ cu datele raportate direct de participanţii la piaţa angro cu obligaţii de raportare conform REMIT şi OPEE/OTS. Articolul 46Culegerea datelor/informaţiilor aferente participanţilor la piaţa angro care nu deţin obligaţii de raportare conform REMIT se face potrivit celor descrise la etapa I. Articolul 47În acest scop, compartimentul de monitorizare din ANRE, cu sprijinul serviciului IT, va prelucra în paralel atât datele partajate de ACER, cât şi pe cele primite direct de la participanţii la piaţă, în vederea obţinerii indicatorilor urmăriţi în activitatea proprie de monitorizare. ANRE va determina în ce măsură setul de date partajat asigură calitativ şi cantitativ necesităţile de calcul şi analiză a indicatorilor utilizaţi de ANRE în activitatea de monitorizare desfăşurată conform prevederilor legale în vigoare. Articolul 48Etapa tranzitorie durează până când sistemul de achiziţie a datelor de la ACER, inclusiv integrarea lor în baza de date ANRE, devine complet funcţional, iar verificarea calităţii datelor primite este finalizată. Articolul 49Încheierea etapei tranzitorii şi trecerea la etapa a III-a va fi anunţată pe site-ul www.anre.ro cu cel puţin 3 luni înainte. De asemenea, ANRE va posta pe site-ul propriu noile machete de monitorizare, destinate culegerii directe de la participanţii la piaţă a acelor tipuri de date care nu se regăsesc în datele partajate de ACER. Articolul 50 ANRE va depune toate diligenţele pentru încheierea cât mai rapidă a etapei tranzitorii de culegere a datelor. Etapa a III-a Articolul 51Datele partajate de ACER în conformitate cu prevederile REMIT sunt transmise în formate specifice printr-un canal securizat dedicat, cu frecvenţă zilnică de descărcare. Acestea sunt integrate în baza de date la nivel naţional organizată de ANRE şi prelucrate în vederea obţinerii indicatorilor urmăriţi în activitatea de monitorizare de ANRE, împreună cu datele colectate în continuare direct de la participanţii la piaţă/OPEE/OTS, pe bază de machete de monitorizare dedicate. Articolul 52În această etapă, monitorizarea se desfăşoară pe baza setului de date partajate de ACER către ANRE în conformitate cu prevederile REMIT şi a unui set de date suplimentare, care, nefiind raportate conform REMIT sau având conţinut diferit/insuficient detaliat, se colectează în mod direct de la participanţii la piaţă/OPEE/OTS. Articolul 53În vederea îndeplinirii obligaţiilor legale de monitorizare ale ANRE, datele suplimentare celor primite prin intermediul ACER se referă cel puţin la contractele negociate de cumpărare de la producători nedispecerizabili, vânzările pe contracte de furnizare către clienţii finali noncasnici/casnici alimentaţi în regim concurenţial (pe tranşe de consum), date privind energia electrică produsă şi livrată de producătorii prevăzuţi la art. 7 lit. a), consumul de combustibil şi stocurile disponibile. Se colectează în continuare informaţiile cu privire la piaţa de echilibrare, decontarea dezechilibrelor PRE, valorile rezultate din redistribuirea veniturilor/costurilor suplimentare provenite din echilibrarea sistemului, decontarea internă a PRE. Articolul 54Obligaţiile de raportare privind formatul, termenele de raportare, modul de completare a datelor şi de transmitere a raportărilor lunare rezultate vor fi detaliate în instrucţiunile de completare ataşate fiecărui tip de machetă de monitorizare destinată etapei a III-a. Articolul 55Ulterior intrării în etapa a III-a de culegere a datelor, compartimentul de monitorizare al ANRE actualizează procedura internă de desfăşurare a activităţii de monitorizare, pentru a reflecta modificările intervenite. Secţiunea a 2-aIndicatori utilizaţi în activitatea de monitorizare Articolul 56Supravegherea funcţionării pieţei angro de energie electrică, evaluarea nivelului de concurenţă şi transparenţă a acesteia, cu identificarea cauzelor unor eventuale disfuncţionalităţi apărute, sunt elemente esenţiale în promovarea unei pieţe naţionale de energie electrică sigure, competitive şi durabile, integrată la nivel european. Determinarea se realizează în mod obiectiv prin setul de indicatori prezentaţi în prezenta metodologie, care constituie instrumente de lucru pentru compartimentul de monitorizare din ANRE, respectiv entităţile de monitorizare din OPEE şi OTS. Articolul 57Indicatorii utilizaţi sunt consideraţi relevanţi pentru gradul actual de dezvoltare a pieţei de energie electrică din România şi reflectă atât cerinţele legislaţiei naţionale în domeniu, cât şi necesităţile de transparenţă şi integrare în piaţa unică de energie electrică precizate în reglementările în vigoare la nivelul Uniunii Europene. Articolul 58Pornind de la setul de indicatori prezentaţi în metodologie, entităţile de monitorizare de la nivelul OPEE şi OTS: a)stabilesc, prin procedurile proprii de monitorizare, indicatorii utilizaţi privind eficienţa funcţionării pieţelor supravegheate, structura/concentrarea pieţelor şi comportamentul de tranzacţionare al participanţilor pe respectivele pieţe, identifică şi analizează situaţiile care prezintă risc de tentativă de manipulare a pieţei şi ofertele/ordinele de tranzacţionare/tranzacţiile suspectate ca fiind realizate pe bază de informaţii privilegiate sau care prezintă indicii de manipulare/tentativă de manipulare a pieţei; b)urmăresc evoluţia în timp a indicatorilor definiţi; c)realizează comparaţii ale indicatorilor realizaţi pe plan naţional cu indicatorii similari de pe pieţele internaţionale; d)asigură stocarea valorilor indicatorilor definiţi; e)publică rapoarte de sinteză pe baza indicatorilor relevanţi pentru fiecare din pieţele de energie electrică supravegheate. Articolul 59 Suplimentar indicatorilor prevăzuţi la articolul precedent, entităţile de monitorizare de la OPEE şi OTS îşi dezvoltă propriile seturi de indicatori şi sisteme de analiză, în vederea identificării şi analizării situaţiilor care prezintă risc de tentativă de manipulare a pieţei, a tranzacţiilor care pot fi suspectate de abuz de piaţă, cu respectarea cerinţelor referitoare la persoanele care efectuează tranzacţii cu titlu profesional cuprinse în Ghidul de aplicare a prevederilor REMIT (document public actualizat pe portalul REMIT). A. Indicatori de structură a pieţei Articolul 60Concentrarea unei pieţe este determinată de numărul de participanţi existenţi pe piaţă şi de cotele de piaţă ale acestora pe piaţa respectivă. Indicatorii din această categorie au rolul de a detecta/aprecia posibilitatea exercitării puterii de piaţă, pornind de la premisa că un grad mare de concentrare a pieţei constituie un mediu prielnic pentru exercitarea puterii de piaţă. Cei mai utilizaţi indicatori de concentrare a pieţei sunt: a)Cota de piaţă a celui mai mare participant la piaţă - C1 (%)Semnificaţia valorilor indicatorului C1 este: C1 > 20% concentrare îngrijorătoare pentru piaţă; C1 > 40% posibila existenţă a unei poziţii dominante pe piaţă; C1 > 50% indicarea existenţei unei poziţii dominante pe piaţă. b)Suma cotelor de piaţă ale celor mai mari trei participanţi - C3 (%)Semnificaţia valorilor indicatorului C3 este: 40% < C3 < 70% concentrare moderată a puterii de piaţă; C3 > 70% concentrare ridicată a puterii de piaţă. c)Indicele Herfindahl-Hirschman - HHIIndicele HHI se calculează prin însumarea pătratelor cotelor de piaţă ale participanţilor: în care: j = participantul la piaţă; N = numărul total de participanţi la piaţă; i = intervalul de timp pentru care se calculează; Qj(i) este cota de piaţă a participantului j, în intervalul de timp i, exprimată în procente. Semnificaţia valorilor indicelui HHI: HHI tinde la 0 - concurenţă perfectă; HHI < 1000 - piaţă neconcentrată; 1000 < HHI < 1800 - piaţă moderat concentrată; HHI > 1800 - piaţă cu concentrare ridicată (excesiv concentrată); HHI = 10000 - monopol. Articolul 61Complementar legislaţiei din domeniul concurenţei, entităţile de monitorizare din OPEE şi OTS pot considera fiecare dintre pieţele administrate drept pieţe relevante în vederea calculării indicatorilor de concentrare. În funcţie de necesităţile de analiză, acestea pot calcula respectivii indicatori de concentrare şi pentru instrumente/produse tranzacţionate în cadrul aceleiaşi pieţe. ANRE calculează indicatorii de concentrare pentru componentele pieţei angro şi ansamblul sistemului, în corelare cu datele disponibile. Articolul 62Alţi indicatori utilizaţi pentru încorporarea condiţiilor referitoare la cerere în determinarea puterii de piaţă potenţiale a unui producător/participant la piaţă sunt indicatorii producătorului determinant (PSI - pivotal supplier index şi RSI - residual supplier index), care măsoară limita până la care puterea unui producător/participant la piaţă este necesară pentru a asigura cererea sistemului, după luarea în considerare a puterilor celorlalţi producători/participanţi la piaţă. Acestea se definesc similar şi pentru energia electrică livrată. a)Indicatorul PSI la nivel de sistem se defineşte pentru fiecare producător/participant la piaţă: în care: j = producătorul/participant la piaţă; CAPtot(i) = puterea totală disponibilă în sistem în intervalul orar i; CAPj(i) = puterea disponibilă a producătorului/participantului la piaţă j în intervalul orar i; CERERE(i) = sarcina totală a sistemului în intervalul orar i. PSI poate avea valorile 1 sau 0. Se defineşte ca având valoarea 1 dacă raportul r este subunitar şi având valoarea 0, dacă raportul este supraunitar sau echiunitar. Semnificaţia valorii 1 este aceea că producătorul/participantul la piaţă pentru care sa calculat raportul r este considerat determinant pentru acoperirea sarcinii sistemului (pivotal), caz în care acesta poate controla preţul. Indicatorul este relevant în special pentru orele de vârf. PSI se calculează de către OTS pentru fiecare participant, pe baza puterii disponibile pentru piaţa de echilibrare pe tipuri de reglaje a producătorilor participanţi la PE şi energiei de echilibrare totale efectiv livrate pe tipuri de reglaje, determinându-se astfel intervalele în care participantul a fost absolut necesar acoperirii cererii de energie de echilibrare; ulterior determinării participantului cu cea mai mare ofertă, se calculează în mod similar şi RSI. b)Indicatorul RSI este o variantă a lui PSI, calculat pentru cel mai mare producător/participant la piaţă (producătorul care deţine C1) al fiecărui interval orar.Pentru particularizarea la nivelul diferitelor pieţe, RSI se poate determina pe baza cantităţilor ofertate/vândute la nivel orar pe fiecare din pieţele analizate, conform formulei: în care: j = producătorul/participant la piaţă care deţine C1; i = intervalul orar pentru care se calculează; k = producătorul/participantul la piaţă; N = numărul total de producători/participanţi la piaţă, inclusiv producătorul/participantul j; Ok(i) = cantitatea ofertată de producătorul/participantul k în intervalul orar i; Oj(i) = cantitatea ofertată de producătorul/participantul j în intervalul orar i; Vk(i) = cantitatea vândută de producătorul/participantul k la piaţă în ora i. Pentru interpretarea rezultatelor se aplică testul Sheffrin: o piaţă este considerată ca având o concurenţă corectă dacă valoarea procentuală a indicatorului RSI este mai mică de 110% pentru mai puţin de 5% din intervalele orare ale unui an calendaristic. Articolul 63Un alt indicator este numărul minim al producătorilor/participanţilor la piaţă (dat de numărul de ordine al ultimului producător/participant determinant) care împreună sunt strict necesari pentru asigurarea cererii sistemului/pieţei într-un anumit interval orar. Acest indicator poate oferi informaţii cu privire la posibilitatea realizării unor înţelegeri ilicite între producători/participanţii la piaţă. Indicatorul NPS rezultă după echilibrarea relaţiei: în care: j = producătorul/participant la piaţă (ordonare descrescătoare, după mărime, j = 1 producătorul/participantul care deţine C1); NPS = numărul de ordine al producătorului/participantului la piaţă a cărui putere/ofertă echilibrează relaţia, fiind esenţială pentru a acoperi necesarul de energie electrică în intervalul orar i; Oferta_tot(i) = oferta totală disponibilă în sistem în intervalul orar i; Ofertaj(i) = oferta producătorului/participantului la piaţă j în intervalul orar i; Elivrată/vândută(i) = Energia electrică efectiv livrată în sistem sau energia electrică vândută pe piaţă în intervalul orar i. Articolul 64Pentru determinarea gradului de concentrare pe piaţa angro de energie electrică, compartimentul de monitorizare din ANRE urmăreşte cel puţin următorii indicatori şi evoluţia acestora:
|
Nr. crt. |
Indicator |
Interval procesare |
Tip valori |
|
1 |
Energia electrică produsă/livrată în reţele |
lunar/anual |
lunare |
|
2 |
C1, C3, HHI pentru energia electrică livrată în reţele |
lunar/anual |
lunare/anuale |
Articolul 65Pentru determinarea gradului de concentrare pe pieţele administrate, OPEE urmăreşte cel puţin următorii indicatori şi evoluţia acestora:
|
Nr. crt. |
Indicator |
Interval procesare |
Tip valori |
|
1 |
Cota de piaţă a fiecărui participant pe PZU (la cumpărare/vânzare, pe volume ofertate/tranzacţionate) |
zilnic/lunar/anual |
orare/zilnice/lunare |
|
2 |
C1, C3, HHI pe PZU (la cumpărare/vânzare, pe volume ofertate/tranzacţionate) |
zilnic/lunar/anual |
orare/zilnice/lunare |
|
3 |
Cota de piaţă a fiecărui participant pe PI (la cumpărare/vânzare, pe volume ofertate/tranzacţionate) |
zilnic/lunar/anual |
orare/zilnice/lunare |
|
4 |
C1, C3, HHI pe PI (la cumpărare/vânzare, pe volume ofertate/tranzacţionate) |
zilnic/lunar/anual |
orare/zilnice/lunare |
|
5 |
Cota de piaţă a fiecărui participant pe PCCB-LE (pentru luna de tranzacţionare, la cumpărare/vânzare, pe volume ofertate/tranzacţionate) |
lunar/anual |
lunare/anuale |
|
6 |
C1, C3, HHI pe PCCB-LE (pentru luna de tranzacţionare, la cumpărare/vânzare, pe volume ofertate/tranzacţionate) |
lunar/anual |
lunare/anuale |
|
7 |
Cota de piaţă a fiecărui participant pe PCCB-NC (pentru luna de tranzacţionare, la cumpărare/vânzare, pe volume ofertate/tranzacţionate) |
lunar/anual |
lunare/anuale |
|
8 |
C1, C3, HHI pe PCCB-NC (pentru luna de tranzacţionare, la cumpărare/vânzare, pe volume ofertate/tranzacţionate) |
lunar/anual |
lunare/anuale |
|
9 |
Cota de piaţă a fiecărui participant pe PC-OTC (pentru luna de tranzacţionare, la cumpărare/vânzare, pe volume ofertate/tranzacţionate) |
lunar/anual |
lunare/anuale |
|
10 |
C1, C3, HHI pe PC-OTC (pentru luna de tranzacţionare, la cumpărare/vânzare, pe volume ofertate/tranzacţionate) |
lunar/anual |
lunare/anuale |
|
11 |
Cota de piaţă a fiecărui participant pe PCSU (la cumpărare/vânzare, pe volume tranzacţionate/aflate în livrare în luna analizată) |
lunar/anual |
lunare/anuale |
|
12 |
C1, C3, HHI pe PCSU (la cumpărare/vânzare, pe volume tranzacţionate/aflate în livrare în luna analizată) |
lunar/anual |
lunare/anuale |
|
13 |
Cota de piaţă a fiecărui participant la PCCB-PC (pentru luna de tranzacţionare, la cumpărare/vânzare, pe volume tranzacţionate) |
lunar/anual |
lunare/anuale |
|
14 |
C1, C3, HHI pe PCCB-PC (pentru luna de tranzacţionare, la cumpărare/vânzare, pe volume tranzacţionate) |
lunar/anual |
lunare/anuale |
|
15 |
Cota de piaţă a fiecărui participant la PMC (pentru luna de tranzacţionare, la cumpărare/vânzare, pe volume ofertate/tranzacţionate) |
lunar/anual |
lunare/anuale |
|
16 |
C1, C3, HHI pe PMC (pentru luna de tranzacţionare, la cumpărare/vânzare, pe volume ofertate/tranzacţionate) |
lunar/anual |
lunare/anuale |
Articolul 66 Pentru determinarea gradului de concentrare pe pieţele administrate şi pe total sistem, OTS urmăreşte cel puţin următorii indicatori:
|
Nr. crt. |
Indicator |
Interval procesare |
Tip valori |
|
1 |
Puterea instalată a fiecărui producător |
anual |
anuale (finale) |
|
2 |
C1, C3, HHI pe capacităţi instalate |
anual |
anuale (finale) |
|
3 |
PSI pentru fiecare participant la PE (pe tipuri de reglaje) |
lunar/anual |
orare |
|
4 |
RSI pe PE (pe tipuri de reglaje) |
lunar/anual |
orare |
|
5 |
NPS pe PE (pe tipuri de reglaje) |
lunar/anual |
orare |
|
6 |
Cota fiecărui participant pe PE, pe tipuri de reglaje (ofertat/tranzacţionat) |
lunar/anual |
pe intervale orare relevante*/lunare/anuale |
|
7 |
C1, C3, HHI pe PE, pe tipuri de reglaje (ofertat/tranzacţionat) |
lunar/anual |
pe intervale orare relevante*/lunare/anuale |
|
8 |
C1, C3, HHI pentru componentele pieţei de servicii tehnologice de sistem |
lunar/anual |
lunare/anuale |
|
9 |
Cota fiecărui participant la piaţa de alocare a capacităţilor de interconexiune, pe graniţă şi direcţie |
lunar/anual |
pe intervale de alocare/lunare/anuale |
|
10 |
C1, C3, HHI pe piaţa de alocare a capacităţilor de interconexiune, pe graniţă şi direcţie |
lunar/anual |
pe intervale de alocare/lunare/anuale |
* Pe intervale orare de gol de noapte, ore de zi, ore de vârf, zile de lucru, zile de sărbătoare. B. Indicatori de eficienţă/performanţă a pieţei Articolul 67Indicatorii din această categorie au rolul de a aprecia efectele concurenţei asupra pieţei angro de energie electrică, reflectate în principal în nivelul preţurilor rezultate. Articolul 68Pentru evaluarea funcţionării pieţei angro de energie electrică şi a modului de integrare a componentelor sale, ANRE urmăreşte cel puţin următorii indicatori şi evoluţia acestora:
|
Nr. crt. |
Indicator |
Interval procesare |
Tip valori |
|
1 |
Cantităţile livrate în luna/an de raportare pe fiecare componentă a pieţei angro de energie electrică comparativ cu consumul intern |
lunar/anual |
lunare |
|
2 |
Preţurile medii aferente tranzacţiilor încheiate pe fiecare componentă a pieţei angro de energie electrică |
lunar/anual |
medii lunare |
|
3 |
Preţurile pe PZU, comparativ cu preţurile pe PE/preţurile dezechilibrelor |
lunar/anual |
medii lunare |
|
4 |
Cantităţile tranzacţionate la export şi import, cu evidenţierea cantităţilor tranzacţionate prin PZU cuplat |
lunar/anual |
lunare |
|
5 |
Costurile congestiilor raportate la costurile totale ale energiei de echilibrare |
lunar/anual |
lunare |
|
6 |
Diferenţa dintre preţul pe piaţa angro (PIP pe PZU) şi preţul la clienţii finali - categoria ID (exclusiv taxe, tarife de reţea, tarife de sistem, certificate verzi, cogenerare etc.) |
anual |
anuale |
|
7 |
Gradul de corelare dintre preţurile medii pe tranzacţiile încheiate pe contractele bilaterale (reglementate/negociate), PCC şi PIP mediu pe PZU |
lunar/anual |
medii lunare |
|
8 |
Cantitatea de energie electrică la care se aplică componentele tarifului de transport |
lunar/anual |
lunare |
|
9 |
Structura energiei electrice livrate în reţele pe tipuri de resurse |
lunar/anual |
lunare |
|
10 |
Structura consumului de combustibil în centralele termoelectrice ale producătorilor deţinători de unităţi dispecerizabile |
lunar/anual |
lunare |
|
11 |
Stocurile de combustibil ale centralelor termoelectrice ale producătorilor deţinători de unităţi dispecerizabile |
lunar/anual |
lunare |
|
Nr. crt. |
Indicator |
Interval procesare |
Tip valori |
|
12 |
Rezerva totală de energie hidro din marile lacuri de acumulare/gradul mediu de umplere |
lunar/anual |
zilnice |
|
13 |
Preţuri medii pe cele 4 pieţe cuplate pentru ziua următoare (Opcom, HUPX, OKTE, OTE)* |
lunar/anual |
lunare |
|
14 |
Diferenţa dintre PIP PZU România şi PIP PZU Ungaria* |
lunar/anual |
orare |
|
15 |
Fluxurile transfrontaliere rezultate din PZU cuplat |
lunar/anual |
orare |
|
16 |
Evoluţia preţurilor medii spot pe alte burse europene de energie |
lunar/anual |
orare |
|
17 |
Preţuri medii orare de deficit şi excedent şi comparaţia cu PIP mediu pe PZU |
lunar/anual |
orare/zilnice/lunare |
* Şi alte pieţe spot vecine, în funcţie de etapele integrării României în pieţele regionale conform reglementărilor UE. Articolul 69Pentru evaluarea funcţionării pieţelor administrate, OPEE urmăreşte cel puţin următorii indicatori şi evoluţia acestora:
|
Nr. crt. |
Indicator |
Interval procesare |
Tip valori |
|
1 |
PIP pe PZU |
zilnic/lunar/anual |
orare/zilnice/lunare |
|
2 |
Volumele ofertate la vânzare/la cumpărare, tranzacţionate, medii/maxime/minime pe PZU |
zilnic/lunar/anual |
orare/zilnice/lunare |
|
3 |
Gradul de corelare între PIP şi volumele tranzacţionate pe PZU |
lunar/anual |
orare/medii lunare pe intervale/medii zilnice |
|
4 |
Gradul de corelare între PIP şi consumul intern |
lunar/anual |
orare/medii lunare pe intervale/medii zilnice |
|
5 |
Volatilitatea PIP |
lunar/anual |
orare |
|
6 |
Rezilienţa* PZU |
lunar |
orare |
|
7 |
Preţurile pe contractele încheiate pe piaţa centralizată (PCC) |
zilnic/lunar |
medii lunare |
|
8 |
Volumele ofertate pe PCC, pe tipuri de oferte, produse, instrumente |
zilnic/lunar/anual |
lunare |
|
9 |
Volumele tranzacţionate pe PCC, pe tipuri de oferte, produse, instrumente |
zilnic/lunar/anual |
lunare |
|
10 |
Gradul de corelare între preţurile PCC şi volumele tranzacţionate pe PCC |
lunar/anual |
lunare |
|
11 |
Volatilitatea preţurilor pe PCC |
lunar/anual |
lunare |
|
12 |
ATC disponibil pe PZU, pe graniţe şi direcţie |
săpt./lunar/anual |
orare |
|
13 |
Fluxurile pe PZU în regim cuplat, pe graniţe şi direcţie |
zilnic/lunar/anual |
orare |
|
14 |
Gradul de utilizare al ATC disponibil pe PZU, pe graniţe şi direcţie |
zilnic/lunar/anual |
orare |
|
15 |
Preţurile orare minime/maxime în regim cuplat pe PZU |
zilnic/lunar/anual |
orare |
|
16 |
Distribuţia preţurilor orare PIP pe PZU în regim cuplat în cele 4 ţări membre 4M MC |
zilnic/lunar/anual |
orare |
|
17 |
Convergenţa PIP pe PZU în regim cuplat |
zilnic/lunar/anual |
orare |
|
18 |
Volumul tranzacţiilor în regim cuplat în cele 4 ţări membre 4M MC, cota zilnică a tranzacţiilor din consumul intern, valori extreme ale cotelor zilnice |
zilnic/lunar/anual |
orare |
|
19 |
Preţurile spot medii orare şi volumele medii orare tranzacţionate pe pieţe europene |
zilnic/lunar |
orare |
|
20 |
Volumele tranzacţionate, medii, maxime şi minime orare pe PI |
zilnic/lunar |
orare |
|
21 |
Preţurile medii ponderate la nivel orar pe PI |
zilnic/lunar |
orare |
* Rezilienţa se defineşte ca sensibilitatea preţului de închidere la creşterea cererii, fiind o măsură a lichidităţii pe piaţă; în funcţie de lichiditatea pieţei, treptele de creştere a cererii se stabilesc la propunerea OPEE. Articolul 70Pentru evaluarea funcţionării pieţelor administrate, OTS urmăreşte cel puţin următorii indicatori şi evoluţia acestora:
|
Nr. crt. |
Indicator |
Interval procesare |
Tip valori |
|
1 |
Consumul intern |
zilnic/lunar/anual |
orare/zilnice/lunare |
|
2 |
Preţurile ofertate/tranzacţionate pe PE (pe tipuri de energie de echilibrare) |
zilnic/lunar/anual |
orare/lunare |
|
3 |
Volume ofertate/tranzacţionate pe PE (pe tipuri de energie de echilibrare) |
zilnic/lunar/anual |
orare/lunare |
|
4 |
Gradul de corelare între preţurile pe PE şi volumele tranzacţionate |
lunar/anual |
orare/lunare |
|
5 |
Gradul de corelare între preţurile pe PE/deficit/excedent şi consumul intern |
lunar/anual |
orare/lunare |
|
6 |
Volatilitatea preţurilor de deficit şi excedent |
lunar/anual |
orare/lunare |
|
7 |
Preţurile pe contractele de servicii tehnologice de sistem (pe tipuri de rezerve şi participanţi) |
lunar/anual |
orare/lunare |
|
8 |
Volumele ofertate/tranzacţionate pe piaţa de servicii tehnologice de sistem (pe tipuri de rezerve) |
lunar/anual |
orare/lunare |
|
9 |
Capacitatea de interconexiune determinată pe destinaţii (import/export) şi graniţe: TTC/NTC/ATC |
zilnic/lunar/anual |
orare/medii pe intervale relevante/lunare |
|
10 |
Capacitatea de interconexiune alocată, pe destinaţii (import/export) şi graniţe: TTC/NTC/ATC |
zilnic/lunar/anual |
orare/medii pe intervale relevante/lunare |
|
11 |
Preţurile pentru capacităţile de interconexiune alocate, pe destinaţii (import/export) şi graniţe |
zilnic/lunar/anual |
orare/medii pe intervale relevante/lunare |
|
12 |
Gradul de utilizare a capacităţii de transfer pe liniile de interconexiune pe destinaţii (import/export) şi graniţe |
anual |
medii anuale |
|
13 |
Volatilitatea preţului capacităţilor de interconexiune alocate, pe destinaţii şi graniţe |
lunar/anual |
orare (intervale relevante) |
|
14 |
Energia importată/exportată, totală şi pe graniţe (schimburi comerciale, tehnice, fizice) |
lunar/anual |
orare (intervale relevante) |
|
15 |
Rezerva de putere disponibilă la vârful de sarcină al sistemului |
anual |
orare |
|
16 |
Capacitate de producere disponibilă/indisponibilă în sistem |
zilnic/lunar/anual |
orare/ medii lunare la vârf |
|
17 |
Capacitate de producere nou-instalată în cursul anului de raportare |
anual |
anual |
|
18 |
Capacitate de producere scoasă din funcţiune în cursul anului de raportare |
anual |
anual |
Articolul 71Constituie elemente de maxim interes care trebuie supravegheate şi analizate de compartimentul de monitorizare din ANRE şi entităţile de monitorizare din OPEE şi OTS, după caz, următoarele: – valorile neobişnuite ale preţurilor ofertate şi/sau tranzacţionate pe fiecare din componentele pieţei angro; – influenţa activităţii participanţilor pe alte pieţe conexe asupra preţurilor şi cantităţilor tranzacţionate în piaţa angro de energie electrică; – impactul asupra pieţei a schimbărilor intervenite în reglementări (în special în ceea ce priveşte regulile de piaţă, tarifare, licenţiere, tehnice).C. Indicatori de comportament al participanţilor la piaţă Articolul 72ANRE, OPEE şi OTS urmăresc comportamentul participanţilor la pieţele componente ale pieţei angro, având în vedere în principal: a)evoluţia modului de ofertare al fiecărui participant pe pieţele componente ale pieţei angro de energie electrică şi schimbările importante în modul de ofertare al participanţilor, în special:– ofertele la preţuri excesive ale participanţilor la piaţă, care pot avea ca scop restrângerea în acest fel a ofertei reale de vânzare pe piaţa respectivă; – volumele neobişnuite ofertate/tranzacţionate de un participant pe orice piaţă componentă a pieţei angro; – ofertele fixe pentru pornire pe PE ale participanţilor; b)cazurile de indisponibilitate neprogramată a unităţilor de producere dispecerizabile - necesită o analiză a cauzelor care le-au determinat pentru a detecta dacă se datorează unor condiţii tehnice sau reprezintă o restrângere deliberată a capacităţilor de producţie puse la dispoziţia sistemului în scopul influenţării preţurilor; c)schimbările intervenite în programele de funcţionare ale unităţilor de producere dispecerizabile; d)puterea disponibilă pentru echilibrare pentru fiecare unitate de producţie dispecerizabilă şi în fiecare interval de dispecerizare, în special cea pentru reglajul secundar şi cel terţiar rapid comparativ cu cele contractate ca servicii tehnologice de sistem; e)notificările în dezechilibru; f)greşelile frecvente în întocmirea ofertelor/notificărilor; g)curba clasată anuală a valorilor orare ale PSI. Articolul 73Elementele precizate constituie obiectul de analiză permanentă al OTS şi OPEE, care îşi dezvoltă permanent sistemele proprii de prelucrare şi analiză adecvate (inclusiv cele informatice), în conformitate cu gradul de dezvoltare a pieţei administrate. Capitolul IV Secţiunea 1Rezultatele monitorizării Articolul 74În conformitate cu prezenta metodologie, rezultatele activităţii de monitorizare fac obiectul rapoartelor publice, informărilor/analizelor interne întocmite de compartimentul de monitorizare din ANRE şi de entităţile organizatorice de monitorizare din OPEE şi OTS. Articolul 75Modul în care sunt obţinute rezultatele activităţii de monitorizare, fluxurile de date/informaţii şi detalierea indicatorilor utilizaţi sunt dezvoltate prin proceduri proprii. Articolul 76Informările/Analizele interne sunt aduse la cunoştinţa conducerilor instituţiilor respective ori de câte ori se consideră necesar, conform regulamentelor proprii de organizare şi funcţionare şi procedurilor specifice, în vederea analizării şi luării măsurilor care se impun. Articolul 77Din punctul de vedere al conţinutului, informările/analizele interne includ, după caz: a)aprecieri cu privire la structura şi performanţele pieţelor supravegheate, bazate pe analizarea seturilor de indicatori stabiliţi; b)identificarea cazurilor de disfuncţionalitate a pieţelor cu determinarea posibilelor cauze; c)analiza cazurilor de comportament de piaţă anormal, inadecvat sau posibil anticoncurenţial (susceptibil a constitui o încălcare a legislaţiei din domeniul concurenţei) al participanţilor la piaţă, împreună cu acţiunile întreprinse/informaţiile culese în scopul analizării situaţiei semnalate; d)analiza cazurilor suspectate de posibil abuz de piaţă conform REMIT; e)analize pe probleme specifice componentelor pieţei angro de energie electrică; f)soluţii propuse pentru remedierea abaterilor şi încălcărilor constatate, cu posibilitatea comunicării acestora către ANRE. Articolul 78
(1) Soluţiile de remediere a abaterilor şi încălcărilor constatate pot fi înaintate de entităţile de monitorizare din OPEE şi OTS către conducerile proprii şi pot cuprinde propuneri privind:a)modificarea cadrului de reglementare aplicabil în vigoare privind organizarea pieţelor centralizate administrate şi a procedurilor interne conexe acestora, în scopul eliminării cauzelor care au determinat evenimente/evoluţii negative pe piaţă; b)solicitarea de informaţii suplimentare de la participanţii la pieţele administrate şi eventuale explicaţii privind comportamentul acestora pe piaţă; c)comunicarea către ANRE a cazurilor de funcţionare inadecvată a pieţelor centralizate administrate, a cazurilor susceptibile a constitui încălcări ale legislaţiei din domeniul concurenţei şi a celor de posibil abuz de piaţă conform REMIT.
(2) În cazul ANRE, propunerile înaintate conducerii proprii pot cuprinde:a)modificarea cadrului de reglementare aplicabil privind organizarea şi funcţionarea diferitelor componente ale pieţei de energie electrică; b)demararea unor acţiuni de control; c)demararea acţiunilor de investigaţie în conformitate cu procedura proprie ANRE. Articolul 79Entităţile de monitorizare din OPEE şi OTS elaborează şi transmit către ANRE: a)raportări de date/informaţii - frecvenţă zilnică, săptămânală, lunară, anuală; b)rapoarte de monitorizare/supraveghere privind funcţionarea pieţelor administrate - frecvenţă săptămânală şi lunară (documente de sinteză destinate informării ANRE asupra performanţelor pieţelor şi evoluţiilor indicatorilor pe pieţele administrate, precum şi a comportamentului participanţilor, recomandări/propuneri de eliminare a cauzelor care au determinat evenimente/evoluţii negative). Articolul 80Prin derogare de la prevederile art. 79 lit. a), în etapa a III-a de culegere a datelor, entităţile de monitorizare din OPEE şi OTS nu transmit datele/informaţiile pe care ANRE le primeşte partajat de la ACER, cu condiţia ca acestea să aibă acelaşi nivel de detaliere ca cel din etapele I şi a II-a. Articolul 81Rapoartele de monitorizare/supraveghere cu frecvenţă săptămânală sunt transmise de entităţile de monitorizare de la nivelul OPEE şi OTS în cea de-a doua zi lucrătoare a săptămânii curente pentru săptămâna anterioară de raportare. Acestea cuprind informaţii privind: a)evenimentele deosebite care au avut loc pe pieţele supravegheate în săptămâna anterioară; b)evoluţia preţurilor pe respectivele pieţe, cu precizarea motivelor pe baza datelor deţinute; c)alte elemente considerate importante privind funcţionarea pieţelor supravegheate. Articolul 82Rapoartele de monitorizare/supraveghere cu frecvenţă lunară sunt transmise de entităţile de monitorizare de la nivelul OPEE şi OTS, în format electronic şi letric, până la sfârşitul lunii curente pentru luna precedentă de raportare, conţinând în principal: a)indicatori de apreciere a funcţionării pieţei, de structură/concentrare şi de comportament, conform prezentei metodologii şi procedurilor proprii; b)situaţiile de funcţionare deficitară/disfuncţionalitate a pieţei şi cauzele acestora; c)eventualele comportamente anormale, inadecvate sau acţiuni cu posibil caracter anticoncurenţial ale participanţilor la piaţă; d)prezentarea în sinteză a cazurilor suspectate de manipulare de piaţă sau tentativă de manipulare de piaţă; e)aprecieri privind situaţiile de neconformitate identificate în cursul monitorizării, observaţii privind modul de ofertare, greşelile frecvente ale participanţilor, situaţiile de neîndeplinire a obligaţiilor aferente tranzacţiilor încheiate; f)acţiunile întreprinse de operator în vederea depistării, analizării şi eventual remedierii acestor situaţii, şi dacă situaţia o cere, cu informarea altor instituţii naţionale (de exemplu, Consiliul Concurenţei) şi/sau europene (de exemplu, ACER); g)propuneri privind modificarea cadrului de reglementare aplicabil. Articolul 83Raportul de monitorizare elaborat de OTS în luna curentă pentru luna precedentă, conform prevederilor art. 82, va fi transmis doar în format electronic şi nu va cuprinde aspectele/analizele specifice PE pentru luna de raportare, urmând ca acestea să fie cuprinse în forma completă a raportului de monitorizare pentru luna de raportare, având în vedere decalarea prevăzută în cadrul de reglementare aplicabil pentru finalizarea decontărilor pe PE. Forma completă a raportului de monitorizare OTS se transmite către ANRE atât în format electronic, cât şi letric. Articolul 84Toate tipurile de rapoarte de sinteză elaborate de entităţile de monitorizare din cadrul OPEE şi OTS destinate informării ANRE conţin atât date/informaţii publice, cât şi confidenţiale, transmiterea electronică făcându-se pe adresa electronică instituită de ANRE în scopul primirii raportărilor de piaţă. Conţinutul acestora şi gradul de detaliere a informaţiei sunt stabilite pe baza procedurilor proprii ale OPEE şi OTS. Articolul 85Atunci când este cazul, entităţile de monitorizare de la OPEE şi OTS înştiinţează ANRE în cel mai scurt timp posibil, în afara rapoartelor periodice, în format letric sau electronic (e-mail), cu privire la: a)modificarea semnificativă a preţului pe una dintre pieţele centralizate supravegheate; b)orice suspiciune de comportament anormal, inadecvat sau practică anticoncurenţială a participanţilor la piaţă; c)orice comportament care se abate de la/încalcă reglementările în vigoare şi procedurile conexe. Articolul 86Orice suspiciune de manipulare sau tentativă de manipulare a pieţei de către unul sau mai mulţi participanţi şi orice suspiciune de tranzacţie efectuată în baza informaţiilor privilegiate sunt comunicate de OPEE şi OTS, în calitatea lor de persoane care efectuează tranzacţii cu titlu profesional, către ANRE, respectiv către ACER, conform cerinţelor REMIT. Articolul 87Pe lângă datele obţinute din propria activitate de monitorizare şi datele/informaţiile primite de la OPEE şi OTS, compartimentul de monitorizare din ANRE poate utiliza şi date/informaţii culese de alte compartimente din ANRE (de exemplu, referitoare la PAM, funcţionarea SEN, PSTS ş.a.). Articolul 88Compartimentul de monitorizare din ANRE, pe baza prezentei metodologii, identifică posibile cazuri de comportament de piaţă anormal, inadecvat, de posibile practici anticoncurenţiale (inclusiv cazuri de suspiciune de abuz de poziţie dominantă) sau cazuri de abuz de piaţă (manipulare sau tentativă de manipulare de piaţă, tranzacţionare pe bază de informaţii privilegiate nepublicate), pe baza: a)sesizărilor bazate pe analize şi/sau rapoartelor periodice, primite de la OPEE sau OTS; b)sesizărilor venite din partea altor persoane fizice/juridice, inclusiv cele în formate prestabilite conform prevederilor REMIT; c)solicitărilor de informaţii primite de la ACER; d)rezultatelor activităţii proprii de monitorizare; e)informaţiilor provenite din alte surse, de exemplu, presa. Articolul 89Atunci când un posibil caz de încălcare a prevederilor art. 3 şi/sau 5 din REMIT este adus la cunoştinţa ANRE sau reiese din activitatea de monitorizare desfăşurată, compartimentul de monitorizare din ANRE demarează etapa de analiză preliminară a datelor şi informaţiilor respective, utilizând toate rezultatele disponibile din activitatea de monitorizare proprie şi din cea a OPEE şi OTS, inclusiv cele puse la dispoziţie de ACER. ANRE poate solicita OPEE şi OTS date suplimentare, analize şi puncte de vedere, inclusiv simulări de tranzacţionare privind cazurile suspectate, în ipotezele stabilite de ANRE. Acestea sunt transmise ANRE în formatul, canalul de transmitere şi termenul solicitate, în scopul îndeplinirii obligaţiilor prevăzute de REMIT în cel mai scurt timp, cu o fundamentare corespunzătoare. Articolul 90Etapele de desfăşurare a analizei preliminare a unui caz de posibil abuz de piaţă şi principiile avute în vedere fac obiectul unei proceduri interne proprii elaborate de ANRE. Articolul 91Dacă din analiza preliminară realizată de compartimentul de monitorizare din ANRE conform prevederilor paragrafului precedent reiese faptul că există elemente rezonabile pentru a suspecta o încălcare a prevederilor art. 3 şi/sau 5 din REMIT, compartimentul de monitorizare din ANRE întocmeşte o notă de fundamentare către conducerea instituţiei, cu propunerea de informare a ACER asupra faptelor identificate şi eventual, de deschidere a unei investigaţii de către compartimentul de specialitate din ANRE. Secţiunea a 2-aAsigurarea transparenţei informaţiilor Articolul 92Raportul public lunar elaborat de compartimentul de monitorizare din ANRE se publică în format bilingv şi cuprinde sinteza indicatorilor care caracterizează componentele pieţei angro de energie electrică din punctul de vedere al funcţionării şi evoluţiei acestora pe diferite perioade de timp şi indicatori calculaţi pe categoriile de participanţi la piaţă monitorizaţi. Raportul public al lunii decembrie a fiecărui an cuprinde şi date de sinteză care caracterizează întregul an de analiză. Articolul 93Indicatorii sunt calculaţi pe baza datelor agregate, cu păstrarea confidenţialităţii informaţiilor sensibile din punct de vedere comercial (pe baza principiului neidentificării integrale a tranzacţiei, cu respectarea reglementărilor europene aplicabile), în măsura în care legislaţia naţională nu prevede altfel. Articolul 94Pentru primul raport public de monitorizare al fiecărui an calendaristic, compartimentul de monitorizare din ANRE analizează oportunitatea introducerii de noi indicatori de sinteză care să caracterizeze nivelul de dezvoltare a pieţei angro de energie electrică din România la acel moment, în corelare cu indicatorii urmăriţi de ACER şi CEER la nivel european. Articolul 95Compartimentul de monitorizare din ANRE contribuie la elaborarea raportului anual al ANRE cu indicatori de sinteză la nivelul anului analizat şi evoluţii pe diferite perioade de timp. Capitolul dedicat pieţei angro include aprecieri cu privire la modul de funcţionare a componentelor acesteia şi asupra comportamentului participanţilor la piaţă. Articolul 96Compartimentul de monitorizare din ANRE în colaborare cu entităţile de monitorizare din OPEE şi OTS asigură contribuţia României la Raportul anual privind rezultatele monitorizării pieţei interne de energie electrică elaborat de ACER şi CEER, pe baza solicitărilor privind indicatorii urmăriţi anual de instituţiile europene menţionate. Articolul 97Entităţile de monitorizare de la nivelul OPEE şi OTS publică pe site-urile proprii rapoarte de piaţă cu frecvenţă lunară şi/sau săptămânală, care conţin în sinteză principalii indicatori care caracterizează pieţele administrate, conform procedurilor proprii. Articolul 98OPEE şi OTS publică pe site-urile proprii informaţiile privind funcţionarea pieţei angro de energie electrică, în conformitate cu cadrul de reglementare aplicabil la nivel naţional şi european în vigoare, cu frecvenţa şi în formatul specificate în acestea şi detaliate în procedurile proprii. Articolul 99Compartimentul de monitorizare din ANRE supraveghează respectarea prevederilor privind tipul şi formatul informaţiilor publicate de OPEE şi OTS, momentul publicării şi durata de disponibilitate a acestora, în conformitate cu reglementările specifice fiecărei componente a pieţei angro de energie electrică şi procedurile conexe. OPEE şi OTS colaborează cu ANRE pentru identificarea şi eliminarea cât mai rapidă a eventualelor cauze care ar prejudicia informarea corectă, completă şi la timp a publicului. Articolul 100În conformitate cu prevederile legale în vigoare, ANRE, OPEE şi OTS păstrează secretul profesional asupra tuturor datelor transmise/primite/analizate în cadrul activităţii de monitorizare desfăşurate. Este interzisă, de asemenea, divulgarea oricăror informaţii confidenţiale legate de cazurile de suspiciune de abuz de piaţă/tentativă de abuz de piaţă, suspiciune de abuz de poziţie dominantă a unui participant/categorie de participanţi/grup de participanţi, aflate în curs de analiză sau pentru care ANRE derulează activitatea de investigaţie. Capitolul VDispoziţii finale Articolul 101Nerespectarea prevederilor prezentei metodologii atrage sancţionarea conform prevederilor legale în vigoare din domeniul energiei electrice. Articolul 102Prezenta metodologie va fi revizuită în funcţie de eventualele modificări care vor interveni în etapa a II-a de colectare a datelor şi informaţiilor şi/sau de modificările apărute în reglementările europene incidente (inclusiv în documentele adiacente). ANRE, OPEE şi OTS îşi actualizează procedurile proprii interne de desfăşurare a activităţii de monitorizare/supraveghere în funcţie de prevederile prezentei metodologii. Articolul 103Culegerea de date de la participanţii la piaţa de energie electrică pe machete de monitorizare dezvoltate în conformitate cu alte regulamente europene cu aplicare directă nu face obiectul prezentei metodologii. Articolul 104Anexele nr. 1-3 fac parte integrantă din prezenta metodologie. ANEXA Nr. 1la metodologie Machete de monitorizare destinate culegerii de date de la producătorii dispecerizabili
|
Macheta de monitorizare a contractelor |
|
Anexa |
Denumire machetă |
Conţinut |
|
A1-I |
Detaliere tranzacţii cu energie |
Detalii de tranzacţionare privind vânzările şi achiziţiile lunare pe toate contractele bilaterale de vânzare-cumpărare a energiei electrice încheiate de producătorul dispecerizabil cu partenerii contractuali, defalcate pe pieţe, produse, instrumente* - parteneri contractuali, cantităţi livrate lunar, preţuri medii lunare, valoarea cantităţii livrate, tip livrare, iar pentru contractele negociate şi numărul de identificare contract, data de intrare în vigoare şi de expirare a contractului; Macheta cuprinde cantităţile totale, preţuri medii şi valorile totale pentru energia electrică vândută/cumpărată pe PZU şi PI la nivel lunar. Se raportează consumul propriu tehnologic din producţia proprie şi decontarea internă la alte locuri de consum. |
|
A1-II |
Tranzacţii angro pe piaţa concurenţială de energie electrică, încheiate cu producători SRE nedispecerizabili, în conformitate cu legislaţia aplicabilă |
Detalii de tranzacţionare privind achiziţiile de energie electrică ale producătorilor dispecerizabili de la producătorii nedispecerizabili care îndeplinesc condiţiile de vânzare pe contracte negociate direct exceptate de la regula tranzacţionării centralizate conform legislaţiei aplicabile - parteneri contractuali, cantităţi livrate lunar, preţuri medii lunare, valoarea cantităţii livrate, tip livrare, număr identificare contract, data de intrare în vigoare şi de expirare a contractului |
|
A2-I |
Preţuri medii de revenire pentru categorii de clienţi finali noncasnici alimentaţi în regim concurenţial** |
Consumul lunar înregistrat pe fiecare tranşă de consum, bilanţul lunar al nr. de clienţi pe fiecare tranşă de consum, preţul mediu lunar detaliat pe componentele energie şi furnizare, tarife servicii de reţea, impozite/comisioane/taxe/alte tarife |
|
A2-II |
Preţuri medii de revenire pentru categorii de clienţi finali casnici alimentaţi în regim concurenţial** |
Consumul lunar înregistrat pe fiecare tranşă de consum, bilanţul lunar al nr. de clienţi pe fiecare tranşă de consum, preţul mediu lunar detaliat pe componentele energie şi furnizare, tarife servicii de reţea, impozite/comisioane/taxe/alte tarife |
* Raportarea se realizează la nivel de tranzacţie, indiferent dacă au fost încheiate mai multe tranzacţii cu acelaşi partener contractual, pe acelaşi instrument sau pe acelaşi produs. ** Tranşele de consum standard ale clienţilor finali sunt cele definite conform legislaţiei aplicabile.
|
Macheta de monitorizare a datelor tehnice |
|
Anexa |
Denumire machetă |
Conţinut |
|
Producători dispecerizabili de energie electrică din surse clasice de producere, inclusiv biomasă |
|
B1 |
Date privind energia produsă şi consumul de combustibil |
Detalierea pe fiecare centrală a energiei produse, livrate, din care cea vândută la barele centralelor, energia termică livrată la gardul centralei, inclusiv defalcarea pe tipuri de combustibil a consumului total de combustibil şi a consumului în surse de producere separată a energiei termice şi, respectiv, a energiei electrice |
|
B2 |
Situaţia stocurilor de combustibil din centrale |
Detalierea pe fiecare centrală a stocurilor disponibile la sfârşitul lunii de raportare, inclusiv capacităţile de stocare a combustibilului la dispoziţia centralei |
|
Producători dispecerizabili de energie electrică din surse hidro de producere |
|
C1 |
Date privind producţia de energie electrică |
Detalierea pe fiecare centrală a energiei produse şi livrate, inclusiv a energiei electrice utilizate pentru acoperirea CPT propriu al centralei |
|
C2 |
Date privind acumulările de apă în marile lacuri |
Date tehnice privind marile amenajări de lacuri |
|
C3 |
Date privind rezerva totală zilnică de energie în marile lacuri de acumulare |
Rezerva pe zile calendaristice de energie electrică din marile amenajări de lacuri |
|
Producători dispecerizabili de energie electrică din surse nucleare, eoliene, fotovoltaice de producere |
|
D1 |
Date privind energia electrică produsă şi livrată |
Detalierea pe fiecare centrală a energiei produse şi livrate; se raportează datele pentru toate grupurile aflate în proprietatea producătorului dispecerizabil raportor (inclusiv cele nedispecerizabile aflate în proprietatea sa) |
Macheta de monitorizare destinată culegerii de date de la furnizori concurenţiali şi traderi
|
Macheta de monitorizare a contractelor |
|
Anexa |
Denumire machetă |
Conţinut |
|
A1-I |
Tranzacţii angro pe piaţa concurenţială cu energie electrică |
Detalii de tranzacţionare privind vânzările şi achiziţiile lunare pe toate contractele bilaterale de energie electrică încheiate de furnizorul concurenţial/trader, defalcate pe pieţe, produse, instrumente* - parteneri contractuali, cantităţi livrate lunar, preţuri medii lunare, valoarea cantităţii livrate, tip livrare, iar pentru contractele negociate şi numărul de identificare contract, data de intrare în vigoare şi de expirare a contractului Macheta cuprinde cantităţi, preţuri medii şi valori pentru energia vândută/cumpărată lunar pe PZU şi PI. Se raportează şi producţia din surse proprii, în cazul în care furnizorul concurenţial deţine şi grupuri de producere nedispecerizabile de energie electrică. |
|
A1-II |
Tranzacţii angro pe piaţa concurenţială de energie electrică, încheiate cu producători SRE nedispecerizabili, în conformitate cu legislaţia aplicabilă |
Detalii de tranzacţionare privind achiziţiile furnizorului concurenţial de energie electrică de la producătorii nedispecerizabili care îndeplinesc condiţiile de vânzare pe contracte negociate direct, exceptate de la regula tranzacţionării centralizate, conform legislaţiei aplicabile - parteneri contractuali, cantităţi livrate lunar, preţuri medii lunare, valoarea cantităţii livrate, tip livrare, număr identificare contract, data de intrare în vigoare şi de expirare a contractului |
|
A1-III |
Tranzacţii angro pe piaţa concurenţială cu energie electrică încheiate cu producători nedispecerizabili, în conformitate cu legislaţia aplicabilă |
Detalii de tranzacţionare privind achiziţiile furnizorului concurenţial de energie electrică de la producătorii nedispecerizabili care nu îndeplinesc condiţiile de vânzare pe contracte negociate direct exceptate de la regula tranzacţionării centralizate, conform legislaţiei aplicabile (numai contracte încheiate înainte de intrarea în vigoare a Legii nr. 123/2012, cu modificările şi completările ulterioare) - parteneri contractuali, cantităţi livrate lunar, preţuri medii lunare, valoarea cantităţii livrate, tip livrare, număr identificare contract, data de intrare în vigoare şi de expirare a contractului |
|
A2-I*** |
Preţuri medii de revenire pentru categorii de clienţi finali noncasnici alimentaţi în regim concurenţial** |
Consumul lunar înregistrat pe fiecare tranşă de consum, bilanţul lunar nr. de clienţi pe fiecare tranşă de consum, nivelul preţului mediu lunar detaliat pe componentele energie şi furnizare, tarife servicii de reţea, impozite/comisioane/taxe/alte tarife |
|
A2-II*** |
Preţuri medii de revenire pentru categorii de clienţi finali casnici alimentaţi în regim concurenţial** |
Consumul lunar înregistrat pe fiecare tranşă de consum, bilanţul lunar al nr. de clienţi pe fiecare tranşă de consum, preţul mediu lunar detaliat pe componentele energie şi furnizare, tarife servicii de reţea, impozite/comisioane/taxe/alte tarife |
* Raportarea se realizează la nivel de tranzacţie, indiferent dacă au fost încheiate mai multe tranzacţii cu acelaşi partener contractual, pe acelaşi instrument sau produs. ** Tranşele de consum standard ale clienţilor finali sunt cele definite conform legislaţiei aplicabile. *** Macheta se va completa doar de furnizorii concurenţiali. Macheta de monitorizare destinată culegerii de date de la furnizorii de ultimă instanţă
|
Macheta de monitorizare a contractelor |
|
Anexa |
Denumire machetă |
Conţinut |
|
A1 |
Achiziţie energie electrică pentru clienţii finali alimentaţi în regim reglementat |
Detalii de tranzacţionare privind achiziţia reglementată destinată furnizării de energie electrică către clienţii finali alimentaţi în regim reglementat, inclusiv activitatea pe PZU şi PI - parteneri contractuali, cantităţi livrate lunar, preţuri medii lunare, valoarea cantităţii livrate, tip livrare |
|
A1-CPC |
Achiziţie energie electrică pentru CPC |
Detalii de tranzacţionare privind achiziţia aferentă componentei CPC - parteneri contractuali, cantităţi livrate lunar, preţuri medii lunare, valoarea cantităţii livrate, tip livrare |
|
A1-UI |
Achiziţie energie electrică pentru furnizare la clienţi finali în regim UI |
Detalii de tranzacţionare privind achiziţia de pe pieţele concurenţiale destinată furnizării de energie electrică către clienţii finali în regim de ultimă instanţă defalcate pe pieţe, produse, instrumente*, inclusiv parte din achiziţia negociată de la producătorii nedispecerizabili care îndeplinesc condiţiile de vânzare pe contracte negociate direct, |
|
Anexa |
Denumire machetă |
Conţinut |
|
|
|
exceptate de la regula tranzacţionării centralizate, conform legislaţiei aplicabile - parteneri contractuali, cantităţi livrate lunar, preţuri medii lunare, valoarea cantităţii livrate, tip livrare |
|
A2-I |
Tranzacţii angro pe piaţa concurenţială cu energie electrică pentru clienţii finali alimentaţi în regim concurenţial |
Detalii de tranzacţionare privind vânzările şi achiziţiile lunare concurenţiale pe toate contractele bilaterale de energie electrică încheiate de furnizorul de ultimă instanţă, defalcate pe pieţe, produse, instrumente* - parteneri contractuali, cantităţi livrate lunar, preţuri medii lunare, valoarea cantităţii livrate, tip livrare, iar pentru contractele negociate şi numărul de identificare contract, data de intrare în vigoare şi de expirare a contractului Macheta cuprinde cantităţi, preţuri medii şi valori pentru energia vândută/cumpărată lunar pe PZU şi PI. În cazul în care furnizorul respectiv deţine şi grupuri de producere nedispecerizabile de energie electrică, se raportează producţia din surse proprii. |
|
A2-II |
Tranzacţii angro pe piaţa concurenţială de energie electrică, încheiate cu producători SRE nedispecerizabili, în conformitate cu legislaţia aplicabilă |
Detalii de tranzacţionare privind achiziţiile de energie electrică de la producătorii nedispecerizabili care îndeplinesc condiţiile de vânzare pe contracte negociate direct exceptate de la regula tranzacţionării centralizate conform legislaţiei aplicabile - parteneri contractuali, cantităţi livrate lunar, preţuri medii lunare, valoarea cantităţii livrate, tip livrare, număr identificare contract, data de intrare în vigoare şi de expirare a contractului |
|
A2-III |
Tranzacţii angro pe piaţa concurenţială cu energie electrică încheiate cu producători nedispecerizabili, în conformitate cu legislaţia aplicabilă |
Detalii de tranzacţionare privind achiziţiile de energie electrică de la producătorii nedispecerizabili care nu îndeplinesc condiţiile de vânzare pe contracte negociate direct exceptate de la regula tranzacţionării centralizate conform legislaţiei aplicabile (numai contracte încheiate înainte de intrarea în vigoare a Legii nr. 123/2012, cu modificările şi completările ulterioare) - parteneri contractuali, cantităţi livrate lunar, preţuri medii lunare, valoarea cantităţii livrate, tip livrare, număr identificare contract, data de intrare în vigoare şi de expirare a contractului |
|
A3-I |
Preţuri medii de revenire pentru categorii de clienţi finali noncasnici alimentaţi în regim concurenţial** |
Consumul lunar înregistrat pe fiecare tranşă de consum, bilanţul lunar nr. de clienţi pe fiecare tranşă de consum, nivelul preţului mediu lunar detaliat pe componentele energie şi furnizare, tarife servicii de reţea, impozite/comisioane/taxe/alte tarife |
|
A3-II |
Preţuri medii de revenire pentru categorii de clienţi finali casnici alimentaţi în regim concurenţial** |
Consumul lunar înregistrat pe fiecare tranşă de consum, bilanţul lunar al nr. de clienţi pe fiecare tranşă de consum, preţul mediu lunar detaliat pe componentele energie şi furnizare, tarife servicii de reţea, impozite/comisioane/taxe/alte tarife |
|
A4 |
Date privind rezultatele contabile |
Venituri şi cheltuieli totale defalcate pe activitatea principală şi pe alte tipuri de activităţi |
* Raportarea se realizează la nivel de tranzacţie, indiferent dacă au fost încheiate mai multe tranzacţii cu acelaşi partener contractual, pe acelaşi instrument sau pe acelaşi produs. ** Tranşele de consum standard ale clienţilor finali sunt cele definite conform legislaţiei aplicabile. Macheta de monitorizare destinată culegerii de date de la operatorii de distribuţie
|
Macheta de monitorizare a contractelor |
|
Anexa |
Denumire machetă |
Conţinut |
|
A1 |
Achiziţie energie electrică pentru consumul propriu tehnologic în reţelele de distribuţie |
Detalii de tranzacţionare privind achiziţiile lunare pe toate contractele bilaterale de energie electrică încheiate pe piaţa concurenţială, defalcate pe pieţe, produse, instrumente* - parteneri contractuali, cantităţi livrate lunar, preţuri medii lunare, valoarea cantităţii livrate, tip livrare Macheta cuprinde cantităţi, preţuri medii şi valori pentru energia vândută/cumpărată lunar pe PZU şi PI. |
|
A2 |
Date privind rezultatele contabile |
Venituri şi cheltuieli totale defalcate pe activitatea principală şi pe alte tipuri de activităţi |
* Raportarea se realizează la nivel de tranzacţie, indiferent dacă au fost încheiate mai multe tranzacţii cu acelaşi partener contractual, pe acelaşi instrument sau pe acelaşi produs. Macheta de monitorizare destinată culegerii de date de la PRE
|
Anexa |
Denumire machetă |
Conţinut |
|
A1 |
Sinteza lunară a calculului de decontare a dezechilibrelor PRE pe fiecare participant |
Date privind alocarea internă pe fiecare participant din PRE a dezechilibrelor pozitive şi negative cantitative şi valorice şi a valorii rezultate din redistribuirea veniturilor/costurilor suplimentare provenite din echilibrarea sistemului |
ANEXA Nr. 2la metodologie Machete de monitorizare destinate culegerii lunare de date de la Operatorul Pieţei de Energie Electrică - Opcom - S.A.
|
Anexa |
Denumire machetă |
Conţinut |
|
A1 |
Situaţia cantităţilor şi valorilor energiei electrice tranzacţionate de fiecare participant pe PZU |
Date cu privire la rezultatele tranzacţionării pe PZU în luna analizată, cu detalii de cantitate tranzacţionată şi valoare rezultată, pentru vânzările şi cumpărările fiecărui participant, în ore RO şi ore CET |
|
A2 |
Situaţia cantităţilor şi valorilor energie electrice tranzacţionate de fiecare participant pe PI |
Date cu privire la rezultatele tranzacţionării pe PI în luna analizată, cu detalii de cantitate tranzacţionată şi valoare rezultată, pentru vânzările şi cumpărările fiecărui participant, în ore RO şi ore CET |
|
A3 |
Tranzacţii realizate pe PCCB-LE |
Date cu privire la tranzacţiile încheiate de participanţii la PCCB-LE în luna analizată, cu detalii referitoare la data încheierii tranzacţiei (cu marca de timp), caracteristicile ofertei depuse - participantul care a depus oferta, sensul şi tipul acesteia, puterea orară ofertată, tipul livrării şi cantitatea totală ofertată, preţul propus, data de început şi de sfârşit a livrării, starea ofertei în urma desfăşurării licitaţiei, preţul de închidere a licitaţiei, cantitatea orară şi cea totală atribuite în urma licitaţiei desfăşurate |
|
A4 |
Tranzacţii realizate pe PCCB-NC |
Date cu privire la tranzacţiile încheiate de participanţii la PCCB-NC în luna analizată, cu detalii referitoare la data încheierii tranzacţiei (cu marca de timp), instrumentul tranzacţionat, partenerii contractuali, preţul la care s-a încheiat tranzacţia, nr. de contracte şi cantitatea totală tranzacţionată |
|
A5 |
Tranzacţii realizate pe PC-OTC |
Date cu privire la tranzacţiile încheiate de participanţii pe PC-OTC în luna analizată, cu detalii referitoare la tipul intermedierii (dacă este cazul), data încheierii tranzacţiei (cu marca de timp), partenerii contractuali, instrumentul şi tipul de produs tranzacţionat, volumul tranzacţionat şi preţul la care s-a încheiat tranzacţia |
|
A6 |
Tranzacţii realizate pe PCCB-PC |
Date cu privire la tranzacţiile încheiate de participanţii pe PCCB-PC în luna analizată, cu detalii referitoare la data încheierii tranzacţiei (cu marca de timp), partenerii contractuali, volumul tranzacţionat şi preţul la care s-a încheiat tranzacţia |
|
A7 |
Tranzacţii realizate pe PMC |
Date cu privire la tranzacţiile încheiate de participanţii pe PMC în luna analizată, cu detalii referitoare la data încheierii tranzacţiei (cu marca de timp), partenerii contractuali, volumul tranzacţionat şi preţul la care s-a încheiat tranzacţia |
|
A8 |
Situaţia lunară a dezechilibrelor cantitative şi valorice ale PRE |
Date cu privire la decontarea lunară a dezechilibrelor fiecărei PRE - suma lunară a dezechilibrelor pozitive şi negative (cantitative şi valorice), soldul dezechilibrului (cantitativ şi valoric), valoarea rezultată din redistribuirea veniturilor sau costurilor suplimentare provenite din echilibrarea sistemului |
|
A9 |
Sinteza calculului pentru decontare pentru fiecare participant la PE |
Energia de echilibrare efectiv livrată şi contravaloarea acesteia pentru fiecare participant la PE, pe fiecare tip de reglaj şi sens, inclusiv soldul valoric |
|
A10 |
Sinteza penalizărilor pentru livrarea parţială a energiei de echilibrare pentru fiecare participant la PE |
Energia de echilibrare angajată, energia de echilibrare efectiv livrată şi penalizările pentru nelivrarea energiei angajate aferente fiecărui participant la PE pe fiecare tip de reglaj şi sens |
|
A11 |
Sinteza sumelor de plată pentru dezechilibrele de la notificare pentru fiecare participant la PE |
Detalii privind dezechilibrele de la notificare anunţate şi neanunţate, inclusiv sumele de plată aferente pentru fiecare participant la PE |
|
A12 |
Preţuri de decontare pe PE pentru deficit şi excedent de energie electrică |
Preţurile orare de deficit şi excedent pe fiecare interval orar pentru fiecare zi din lună |
Machete de monitorizare destinate culegerii zilnice* de date de la Operatorul Pieţei de Energie Electrică - Opcom - S.A.
|
Anexa |
Denumire machetă |
Conţinut |
|
B1 |
Ofertele de vânzare pe PZU |
Perechile preţ/cantitate la nivel orar conţinute în oferta de vânzare a fiecărui participant la PZU, ofertele bloc |
|
B2 |
Ofertele de cumpărare pe PZU |
Perechile preţ/cantitate la nivel orar conţinute în oferta de vânzare a fiecărui participant la PZU, ofertele bloc |
|
B3 |
Ordinea de merit pe PZU |
Detalii privind curbele agregate ale cererii şi ofertei pe fiecare interval de tranzacţionare - cantitatea şi preţul ofertate de fiecare participant pe fiecare tip de agregare (vânzare/cumpărare), preţul de închidere al pieţei pe intervalul de tranzacţionare respectiv |
|
B4 |
Tranzacţiile participanţilor la PZU |
Vânzările şi cumpărările la nivel orar ale fiecărui participant la PZU şi însumat pe zi, cu specificarea preţului de închidere al pieţei pe fiecare interval orar |
|
B5 |
Ordinele de tranzacţionare pe PI |
Detalii privind ordinele introduse - evenimentul şi tipul ordinului, instrumentul tranzacţionat, volumul şi preţul ofertate, starea ordinului, numele participantului care a introdus ordinul de tranzacţionare şi durata de păstrare a ordinului ş.a. |
|
B6 |
Tranzacţiile încheiate pe PI |
Detalii privind tranzacţiile încheiate - tipul tranzacţiei şi instrumentul tranzacţionat, volumul şi preţul de tranzacţie, data tranzacţiei, starea tranzacţiei, participantul, nr. ordinului de tranzacţionare ş.a. |
* Transmiterea către ANRE se face electronic (pe adresa de e-mail pusă la dispoziţie de ANRE în acest scop) în următoarea zi lucrătoare celei la care se referă raportarea. ANEXA Nr. 3la metodologie 1. Machete de monitorizare destinate culegerii lunare de date de la Operatorul de Transport şi Sistem - Compania Naţională de Transport al Energiei Electrice Transelectrica - S.A.
|
Macheta de monitorizare a contractelor |
|
Anexa |
Denumire machetă |
Conţinut |
|
A1 |
Tranzacţii cu energie electrică pentru acoperirea CPT în RET |
Detalii de tranzacţionare privind achiziţiile lunare pe toate contractele bilaterale de energie electrică încheiate pe piaţa concurenţială, defalcate pe pieţe, produse, instrumente* - parteneri contractuali, cantităţi livrate lunar, preţuri medii lunare, valoarea cantităţii livrate, tip livrare. Macheta cuprinde şi cantităţile, preţurile medii şi valorile aferente energiei vândute/cumpărate lunar pe PZU şi PI. |
* Raportarea se realizează la nivel de tranzacţie, indiferent dacă au fost încheiate mai multe cu acelaşi partener contractual, pe acelaşi instrument sau produs.
|
Macheta de monitorizare a serviciului de transport |
|
Anexa |
Denumire machetă |
Conţinut |
|
A2 |
Serviciul de transport |
Detalii privind energia electrică livrată în RET de producătorii cu care Transelectrica a încheiat contract de transport (indiferent dacă se facturează componenta de injecţie a tarifului de transport sau nu), inclusiv cantităţile importate comercial (fără tranzite) - cantitate lunară şi acolo unde este cazul, tarif şi valoare lunară. Detalii privind energie electrică extrasă din RET de operatorii economici cu care Transelectrica a încheiat contract de transport, inclusiv cantităţile exportate comercial (fără tranzite) - cantitate lunară, tarif şi valoare lunară (separat pentru furnizorii de ultimă instanţă pentru zona proprie de licenţă şi alte zone, operatorii de distribuţie, producători în cazul energiei extrase pentru alte locuri de consum, furnizori concurenţiali pentru energia destinată alimentării în regim concurenţial a clienţilor finali şi separat clienţii finali care încheie contracte directe de transport al energiei electrice) |
|
Macheta de monitorizare a alocării pe termen lung a capacităţii de interconexiune cu sistemele electroenergetice vecine |
|
Anexa |
Denumire machetă |
Conţinut |
|
A3 |
Alocarea capacităţii de interconexiune pe termen lung |
Detalierea capacităţilor alocate la licitaţia anuală şi lunară, pe intervale de alocare, pentru fiecare graniţă şi direcţie, cu precizarea participanţilor la piaţa de alocare care au câştigat capacităţile respective şi preţurile rezultate în urma licitaţiilor (în euro); se precizează transferurile de capacitate |
|
Machete de monitorizare PE |
|
Anexa |
Denumire machetă |
Conţinut |
|
A4 |
Sinteza lunară a energiei de echilibrare pentru fiecare participant la PE |
Detalii cantitative privind energia de echilibrare angajată şi, respectiv, efectiv livrată, pe fiecare tip de reglaj şi sens pentru fiecare participant la PE |
|
A5 |
Sinteza lunară a calculului contravalorii aferente managementului congestiilor interne defalcată pe participanţi la PE |
Energia electrică achiziţionată de OTS de pe piaţa de echilibrare pentru managementul congestiilor (marcată ca fiind utilizată pentru managementul congestiilor) şi contravaloarea aferentă, pe fiecare tip de reglaj şi sens pentru fiecare participant la PE |
2. Lista datelor zilnice transmise** de Operatorul de Transport şi Sistem - Compania Naţională de Transport al Energiei Electrice Transelectrica - S.A. 1. Notificările fizice transmise de PRE-uri pe fiecare interval de dispecerizare, cuprinzând următoarele: • producţia planificată agregată pentru toate unităţile de producţie; • producţia planificată pe fiecare unitate dispecerizabilă de producţie; • consumul prognozat agregat al consumatorilor de energie electrică; • schimburile bloc ale fiecărei PRE cu celelalte PRE-uri din zona naţională de tranzacţionare; • schimburile bloc ale fiecărei PRE cu partenerii săi din celelalte sisteme electroenergetice vecine, rezultate în urma alocărilor pe piaţa de alocare a capacităţilor de interconexiune; • exporturile şi importurile separat pentru fiecare graniţă. 2. Notificările în dezechilibru ale PRE-urilor 3. Declaraţiile de disponibilitate ale unităţilor dispecerizabile 4. Ofertele zilnice transmise de participanţii la piaţa de echilibrare pe fiecare interval de dispecerizare (la creştere/reducere de putere) 5. Ofertele fixe pentru pornire pe PE şi menţinerea în rezervă caldă transmise de participanţi 6. Energia disponibilă pentru echilibrare pentru fiecare unitate dispecerizabilă de producţie, în fiecare interval de dispecerizare, separat pentru reglajul secundar şi terţiar rapid/lent 7. Ofertele orare acceptate (dispoziţiile de dispecer) pe piaţa de echilibrare, pe tipuri de reglaje la creştere/reducere de putere pe fiecare interval de dispecerizare, cuprinzând următoarele informaţii: – preţuri marginale pentru energia de echilibrare corespunzătoare reglajului secundar; . – preţurile acceptate pentru energia de echilibrare corespunzătoare reglajului terţiar rapid/lent al fiecărei unităţi dispecerizabile de producţie; – cantităţile tranzacţionate pentru fiecare unitate dispecerizabilă de producţie.8. Ofertele fixe pentru pornire şi menţinere în rezervă caldă acceptate pe intervalele orare solicitate, pentru acoperirea necesarului de energie de echilibrare corespunzătoare reglajului terţiar lent de creştere/reducere de putere 9. Situaţia acumulărilor de apă în marile lacuri de acumulare, cote zilnice, cote de siguranţă, cote de atenţionare, volum util, grad de umplere, debit, rezerve de energie 10. Evenimente deosebite privind dispoziţiile de dispecer, pornirile/opririle, privind centralele dispecerizabile eoliene şi fotovoltaice, mărimea rezervei de putere la vârf de sarcină, pe tipuri de rezerve şi centrale. ** Transmiterea către ANRE se face electronic (pe adresa de e-mail pusă la dispoziţie de ANRE în acest scop) în următoarea zi lucrătoare celei la care se referă raportarea.
|