
Văzând Referatul Direcţiei transport naval nr. 30.242/1.509/CC din 14.08.2018 privind modificarea şi completarea Ordinului ministrului transporturilor nr. 181/2015 pentru publicarea unor linii directoare necesare punerii în aplicare a anexei VI la MARPOL, adoptate de Organizaţia Maritimă Internaţională prin rezoluţii ale Comitetului pentru protecţia mediului marin,ţinând seama de faptul că au fost adoptate noi modificări la liniile directoare publicate în anexele nr. 1, 2, 3 şi 5 la Ordinul ministrului transporturilor nr. 181/2015,în temeiul prevederilor art. 5 alin. (4) din Hotărârea Guvernului nr. 21/2015 privind organizarea şi funcţionarea Ministerului Transporturilor, cu modificările şi completările ulterioare,ministrul transporturilor emite următorul ordin: Articolul IOrdinul ministrului transporturilor nr. 181/2015 pentru publicarea unor linii directoare necesare punerii în aplicare a anexei VI la MARPOL, adoptate de Organizaţia Maritimă Internaţională prin rezoluţii ale Comitetului pentru protecţia mediului marin, publicat în Monitorul Oficial al României, Partea I, nr. 239 şi 239 bis din 8 aprilie 2015, se modifică şi se completează după cum urmează: 1. La articolul 1, literele a), b), c) şi e) se modifică şi vor avea următorul cuprins: a)Rezoluţia MEPC.245(66) adoptată la 4 aprilie 2014 - Liniile directoare din 2014 referitoare la metoda de calcul al indicelui nominal al randamentului energetic (EEDI) obţinut pentru nave noi, aşa cum au fost modificate prin Rezoluţia MEPC.263(68) adoptată la 15 mai 2015 - Amendamente la Liniile directoare din 2014 referitoare la metoda de calcul al indicelui nominal al randamentului energetic (EEDI) obţinut pentru nave noi [Rezoluţia MEPC.245(66)] şi prin Rezoluţia MEPC.281(70) adoptată la 28 octombrie 2016 - Amendamente la Liniile directoare din 2014 referitoare la metoda de calcul al indicelui nominal al randamentului energetic (EEDI) obţinut pentru nave noi [Rezoluţia MEPC.245(66) aşa cum a fost amendată prin Rezoluţia MEPC.263(68)], prevăzute în anexa nr. 1; b)Rezoluţia MEPC.282(70) adoptată la 28 octombrie 2016 - Liniile directoare din 2016 pentru elaborarea planului de management al randamentului energetic al navei (SEEMP), prevăzută în anexa nr. 2; c)Rezoluţia MEPC.254(67) adoptată la 17 octombrie 2014 - Liniile directoare din 2014 referitoare la inspecţia şi certificarea indicelui nominal al randamentului energetic (EEDI), aşa cum au fost modificate prin Rezoluţia MEPC.261(68) adoptată la 15 mai 2015 - Amendamente la Liniile directoare din 2014 referitoare la inspecţia şi certificarea indicelui nominal al randamentului energetic (EEDI) [Rezoluţia MEPC.254(67)], prevăzute în anexa nr. 3;........ ................ ................ ................ ................ ........ ......... e)Rezoluţia MEPC.232(65) adoptată la 17 mai 2013 - Liniile directoare interimare din 2013 pentru determinarea puterii minime de propulsie pentru menţinerea manevrabilităţii navelor în condiţii nefavorabile, aşa cum au fost modificate prin Rezoluţia MEPC.255(67) adoptată la 17 octombrie 2014 - Amendamente la Liniile directoare interimare din 2013 pentru determinarea puterii minime de propulsie pentru menţinerea manevrabilităţii navelor în condiţii nefavorabile [Rezoluţia MEPC.232(65)] şi prin Rezoluţia MEPC.262(68) adoptată la 15 mai 2015 - Amendamente la Liniile directoare interimare din 2013 pentru determinarea puterii minime de propulsie pentru menţinerea manevrabilităţii navelor în condiţii nefavorabile [Rezoluţia MEPC.232(65), aşa cum a fost amendată prin Rezoluţia MEPC.255(67)], prevăzute în anexa nr. 5. 2. La anexa nr. 1, după anexa la rezoluţia MEPC.245(66) se introduc două noi rezoluţii, Rezoluţia MEPC.263(68) şi Rezoluţia MEPC.281(70), al căror cuprins este prevăzut în anexa nr. 1 la prezentul ordin. 3. Anexa nr. 2 se modifică şi se înlocuieşte cu anexa nr. 2 la prezentul ordin. 4. La anexa nr. 3, după anexa la rezoluţia MEPC.254(67) se introduce o nouă rezoluţie, Rezoluţia MEPC.261(68), al cărei cuprins este prevăzut în anexa nr. 3 la prezentul ordin. 5. La anexa nr. 5, după anexa la rezoluţia MEPC.255(67) se introduce o nouă rezoluţie, Rezoluţia MEPC.262(68), al cărei cuprins este prevăzut în anexa nr. 4 la prezentul ordin. Articolul IIAnexele nr. 1-4 fac parte integrantă din prezentul ordin. Articolul IIIAutoritatea Navală Română va duce la îndeplinire prevederile prezentului ordin. Articolul IV Prezentul ordin se publică în Monitorul Oficial al României, Partea I.Ministrul transporturilor,Lucian ŞovaANEXA Nr. 1REZOLUŢIA MEPC.263(68) (adoptată la 15 mai 2015) Amendamente la Liniile directoare din 2014 referitoare la metoda de calcul al indicelui nominal al randamentului energetic (EEDI) obţinut pentru nave noi [Rezoluţia MEPC.245(66)] Comitetul pentru protecţia mediului marin, amintind articolul 38(a) al Convenţiei privind crearea Organizaţiei Maritime Internaţionale referitor la funcţiile Comitetului pentru protecţia mediului marin (Comitetul) conferite acestuia prin convenţiile internaţionale pentru prevenirea şi controlul poluării marine de la nave, amintind, de asemenea, că la cea de-a şaizeci şi doua sesiune a sa Comitetul a adoptat, prin Rezoluţia MEPC.203(62), Amendamente la anexa Protocolului din 1997 privind amendarea Convenţiei internaţionale din 1973 pentru prevenirea poluării de către nave, aşa cum a fost modificată prin Protocolul din 1978 referitor la aceasta (includerea regulilor referitoare la randamentul energetic al navelor în anexa VI la MARPOL), luând notă de faptul că amendamentele la anexa VI la MARPOL sus-menţionate au intrat în vigoare la 1 ianuarie 2013, luând notă, de asemenea, de faptul că regula 20 [Indicele nominal al randamentului energetic obţinut (EEDI obţinut)] din anexa VI la MARPOL, astfel cum a fost amendată, prevede că EEDI trebuie să fie calculat luând în considerare linii directoare elaborate de către Organizaţie, luând notă, în continuare, de Liniile directoare din 2012 referitoare la metoda de calcul al indicelui nominal al randamentului energetic (EEDI) obţinut pentru nave noi, adoptate la cea de-a şaizeci şi treia sesiune a sa prin Rezoluţia MEPC.212(63), şi de amendamentele la acestea, adoptate la cea de-a şaizeci şi patra sesiune a sa prin Rezoluţia MEPC.224(64), luând notă, în continuare, de faptul că la cea de-a şaizeci şi şasea sesiune a sa Comitetul a adoptat, prin Rezoluţia MEPC.245(66), Liniile directoare din 2014 referitoare la metoda de calcul al indicelui nominal al randamentului energetic (EEDI) obţinut pentru nave noi, recunoscând că amendamentele la anexa VI la MARPOL impun adoptarea de linii directoare relevante pentru implementarea uşoară şi uniformă a regulilor şi pentru a oferi timp suficient industriei să se pregătească, luând în considerare, la cea de-a şaizeci şi opta sesiune a sa, amendamentele propuse la Liniile directoare din 2014 referitoare la metoda de calcul al indicelui nominal al randamentului energetic (EEDI) obţinut pentru nave noi, 1 adoptă amendamentele la Liniile directoare din 2014 referitoare la metoda de calcul al indicelui nominal al randamentului energetic (EEDI) obţinut pentru nave noi, al căror text este prezentat în anexa la prezenta rezoluţie; 2 invită administraţiile să ia în considerare amendamentele sus-menţionate atunci când elaborează şi adoptă actele normative naţionale care dau forţă şi pun în aplicare dispoziţiile stabilite în regula 20 din anexa VI la MARPOL, astfel cum a fost amendată; 3 solicită părţilor la anexa VI la MARPOL şi altor guverne membre să aducă amendamentele în atenţia proprietarilor, operatorilor, constructorilor şi proiectanţilor de nave, precum şi oricăror alte părţi interesate; 4 este de acord să ţină aceste linii directoare, aşa cum au fost amendate, sub observaţie în lumina experienţei acumulate prin aplicarea lor. ANEXĂla Rezoluţia MEPC.263(68) Amendamente la Liniile directoare din 2014 referitoare la metoda de calcul al indicelui nominal al randamentului energetic (EEDI) obţinut pentru nave noi [Rezoluţia MEPC.245(66)] Paragraful 2.6 se înlocuieşte cu următorul: .6 Vref, Capacitate şi P ar trebui să fie în concordanţă unele cu altele. În privinţa transportoarelor de gaze naturale lichefiate LNG dotate cu sisteme de propulsie diesel-electrică sau cu turbine cu aburi, Vref este viteza relevantă la 83% din MPP Motor sau, respectiv, din MCRTurbină cu aburi. REZOLUŢIA MEPC.281(70) (adoptată la 28 octombrie 2016) Amendamente la liniile directoare din 2014 referitoare la metoda de calcul al indicelui nominal al randamentului energetic (EEDI) obţinut pentru nave noi [Rezoluţia MEPC.245(66), aşa cum a fost amendată prin rezoluţia MEPC.263(68)] Comitetul pentru protecţia mediului marin, amintind articolul 38(a) al Convenţiei privind crearea Organizaţiei Maritime Internaţionale referitor la funcţiile Comitetului pentru protecţia mediului marin (Comitetul) conferite acestuia prin convenţiile internaţionale pentru prevenirea şi controlul poluării marine de la nave, amintind, de asemenea, că a adoptat, prin Rezoluţia MEPC.203(62), Amendamente la anexa Protocolului din 1997 privind amendarea Convenţiei internaţionale din 1973 pentru prevenirea poluării de către nave, aşa cum a fost modificată prin Protocolul din 1978 referitor la aceasta (includerea regulilor referitoare la randamentul energetic al navelor în anexa VI la MARPOL), luând notă de faptul că amendamentele la anexa VI la MARPOL sus-menţionate au intrat în vigoare la 1 ianuarie 2013, luând notă, de asemenea, de faptul că regula 20 [Indicele nominal al randamentului energetic obţinut (EEDI obţinut)] din anexa VI la MARPOL, astfel cum a fost amendată, prevede că EEDI trebuie să fie calculat luând în considerare liniile directoare elaborate de către Organizaţie, luând notă de Liniile directoare din 2012 referitoare la metoda de calcul al indicelui nominal al randamentului energetic (EEDI) obţinut pentru nave noi, adoptate prin Rezoluţia MEPC.212(63), şi de amendamentele la acestea, adoptate prin Rezoluţia MEPC.224(64), luând notă, în continuare, de faptul că a adoptat, prin Rezoluţia MEPC.245(66), Liniile directoare din 2014 referitoare la metoda de calcul al indicelui nominal al randamentului energetic (EEDI) obţinut pentru nave noi şi, prin Rezoluţia MEPC.263(68), amendamente la acestea, recunoscând că amendamentele la anexa VI la MARPOL sus-menţionate impun adoptarea de linii directoare relevante pentru implementarea uşoară şi uniformă a regulilor, luând în considerare, la cea de-a şaptezecea sesiune a sa, amendamentele propuse la Liniile directoare din 2014 referitoare la metoda de calcul al indicelui nominal al randamentului energetic (EEDI) obţinut pentru nave noi, aşa cum au fost amendate, 1 adoptă amendamentele la Liniile directoare din 2014 referitoare la metoda de calcul al indicelui nominal al randamentului energetic (EEDI) obţinut pentru nave noi, aşa cum au fost amendate, al căror text este prezentat în anexa la prezenta rezoluţie; 2 invită administraţiile să ia în considerare amendamentele sus-menţionate atunci când elaborează şi adoptă actele normative naţionale care dau forţă şi pun în aplicare dispoziţiile stabilite în regula 20 din anexa VI la MARPOL, astfel cum a fost amendată; 3 solicită părţilor la anexa VI la MARPOL şi altor guverne membre să aducă amendamentele în atenţia proprietarilor, operatorilor, constructorilor şi proiectanţilor de nave, precum şi oricăror altor părţi interesate; 4 este de acord să ţină aceste linii directoare, aşa cum au fost amendate, sub observaţie în lumina experienţei acumulate prin aplicarea lor. ANEXĂla Rezoluţia MEPC.281(70) Amendamente la Liniile directoare din 2014 referitoare la metoda de calcul al indicelui nominal al randamentului energetic (EEDI) obţinut pentru nave noi [Rezoluţia MEPC.245(66), aşa cum a fost amendată prin Rezoluţia MEPC.263(68)] 1. La cuprins, după 2.12.3 se adaugă următorul text: 2.12.4 fc vrachiere proiectate să transporte mărfuri uşoare; transportoare de aşchii de lemn 2 Paragraful 2 din anexa rezoluţiei se înlocuieşte după cum urmează: Paragraful .1 se înlocuieşte cu următorul: .1 CF este un factor de conversie, adimensional, între consumul de combustibil, măsurat în g, şi emisia de CO2, măsurată de asemenea în g, pe baza conţinutului de carbon. Indicii ME(i) şi AE(i) se referă la motorul principal şi, respectiv, la motorul sau motoarele auxiliare. CF corespunde combustibilului utilizat atunci când se determină SFC care este indicat în raportul de încercare aplicabil, inclus în dosarul tehnic definit în paragraful 1.3.15 din Codul tehnic NOx (denumit în continuare «raport de încercare inclus în dosarul tehnic NOx»). Valoarea CF este stabilită după cum urmează:
|
Tipul combustibilului |
Referinţă |
Puterea calorifică inferioară (kJ/kg) |
Conţinutul în carbon |
CF (t-CO2/t - combustibil) |
|
1 Diesel/motorină |
ISO 8217 clasele DMX la DMB |
42.700 |
0,8744 |
3,206 |
|
2 Combustibil lichid uşor (LFO) |
ISO 8217 clasele RMA la RMD |
41.200 |
0,8594 |
3,151 |
|
3 Combustibil lichid greu (HFO) |
ISO 8217 clasele RME la RMK |
40.200 |
0,8493 |
3,114 |
|
4 Gaz petrolier lichefiat (LPG) |
Propan |
46.300 |
0,8182 |
3,000 |
|
Butan |
45.700 |
0,8264 |
3,030 |
|
5 Gaz natural lichefiat (LNG) |
|
48.000 |
0,7500 |
2,750 |
|
6 Metanol |
|
19.900 |
0,3750 |
1,375 |
|
7 Etanol |
|
26.800 |
0,5217 |
1,913 |
În cazul unei nave echipate cu un motor principal sau auxiliar alimentat cu combustibil mixt ar trebui să se aplice factorul CF pentru combustibil gazos şi factorul CF pentru combustibil lichid şi să fie multiplicat cu consumul specific de combustibil lichid al fiecărui tip de combustibil la punctul de sarcină relevant al EEDI. Între timp, ar trebui stabilit dacă combustibilul gazos este considerat «combustibil principal» în conformitate cu formula următoare:
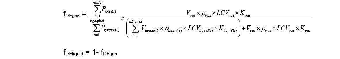
în care: fDFgas este raportul de disponibilitate al combustibilului gazos corijat ţinând cont de raportul de putere al motoarelor cu gaz faţă de totalul motoarelor; fDFgas ar trebui să nu fie mai mare de 1; Vgas este capacitatea netă totală a combustibilului gazos de la bord, exprimată în m3. Dacă sunt utilizate alte dispozitive, cum ar fi containere-cisternă LNG interschimbabile (specializate) şi/sau dispozitive permiţând frecvente reumpleri cu gaz, atunci capacitatea instalaţiei complete de alimentare cu LNG ar trebui folosită pentru Vgas. Rata de evaporare (BOR) a tancurilor de marfă cu gaz poate fi calculată şi inclusă în Vgas dacă ele sunt racordate la instalaţia de alimentare cu combustibil gazos (FGSS); Vliquid este capacitatea netă totală a combustibilului lichid de la bord, exprimată în m3, a rezervoarelor de combustibil lichid racordate în permanenţă la circuitul de combustibil al navei. Dacă un rezervor de combustibil este izolat cu valve de închidere permanente, Vliquid al rezervorului de combustibil poate fi neglijată; ρgas este densitatea combustibilului gazos, exprimată în kg/m3; ρliquid este densitatea fiecărui combustibil lichid, exprimată în kg/m3; LCVgas este puterea calorifică inferioară a combustibilului gazos, exprimată în kJ/kg; LCVliquid este puterea calorifică inferioară a combustibilului lichid, exprimată în kJ/kg; Kgas este rata de umplere a rezervoarelor de combustibil gazos; Kliquid este rata de umplere a rezervoarelor de combustibil lichid; Ptotal este puterea totală instalată a motoarelor, PME şi PAE, exprimată în kW; Pgasfuel este puterea instalată a motoarelor cu combustibil mixt, PME şi PAE, exprimată în kW; .1 dacă capacitatea totală a combustibilului gazos este egală cu cel puţin 50% din capacitatea de combustibil afectată motoarelor cu combustibil mixt, şi anume fDFgas ≥ 0,5, atunci combustibilul gazos este considerat «combustibil principal» şi fDFgas = 1 şi fDFliquid = 0 pentru fiecare motor cu combustibil mixt; .2 dacă fDFgas < 0,5, atunci combustibilul gazos nu este considerat «combustibil principal». CF şi SFC folosite pentru calcularea EEDI pentru fiecare motor cu combustibil mixt (atât motorul principal, cât şi motoarele auxiliare) ar trebui calculate ca fiind media ponderată a CF şi SFC pentru modurile lichid şi gazos, în funcţie de fDFgas şi fDFliquid, şi termenul original PME(i) CFME(i) SFCME(i) din formula de calcul al EEDI trebuie de aceea înlocuit cu formula următoare:
3 Următoarele propoziţii se adaugă la finalul paragrafului 2.7.1 existent: „Puterea calorifică inferioară de referinţă a combustibililor adiţionali este indicată în tabelul de la secţiunea 2.1 a prezentelor linii directoare. Puterea calorifică inferioară de referinţă ce corespunde factorului de conversie a combustibilului considerat ar trebui folosită pentru efectuarea calculului." 4 Un nou paragraf 2.12.4 se adaugă după paragraful 2.12.3 existent, după cum urmează: „.4 În cazul vrachierelor a căror R este mai mică de 0,55 (de exemplu, transportoarele de aşchii de lemn), factorul de corecţie pentru capacitatea volumetrică fc vrachiere proiectate să transporte mărfuri uşoare de mai jos ar trebui să se aplice: fc vrachiere proiectate să transporte mărfuri uşoare = R– 0,15 în care: R este rata capacităţii deadweightului navei (tone), astfel cum a fost determinat conform paragrafului 2.4 împărţit la capacitatea volumetrică totală a tancurilor de marfă ale navei (m3). 5 Apendicele 4 se înlocuieşte cu următorul: APENDICE 4 Exemple de calcul al EEDI pentru cazul utilizării motoarelor cu combustibil mixt Cazul 1: Navă convenţională de tip Kamsarmax, un motor principal (MDO), motoare auxiliare convenţionale (MDO), fără generator pe ax:
|
Nr. |
Parametru |
Formula sau sursa |
Unitate de măsură |
Valoare |
|
1 |
MCRME |
Puterea maximă continuă (MCR) a motorului principal |
kW |
9.930 |
|
2 |
Capacitate |
Deadweightul navei la pescajul la linia de încărcare de vară |
DWT |
81.200 |
|
3 |
Vref |
Viteza navei aşa cum este definită în regula privind EEDI |
noduri |
14 |
|
4 |
PME |
0,75 x MCRME |
kW |
7.447,5 |
|
5 |
PAE |
0,05 x MCRME |
kW |
496,5 |
|
6 |
CFME |
Factorul CF al motorului principal folosind MDO |
- |
3,206 |
|
7 |
CFAE |
Factorul CF al motorului auxiliar folosind MDO |
- |
3,206 |
|
8 |
SFCME |
Consumul specific de combustibil la PME |
g/kWh |
165 |
|
9 |
SFCAE |
Consumul specific de combustibil la PAE |
g/kWh |
210 |
|
10 |
EEDI |
( (PME x CFME x SFCME) + (PAE x CFAE x SFCAE) )/(Vref x Capacitate) |
g CO2/t. milă marină |
3,76 |
Cazul 2: LNG este considerat «combustibilul principal» dacă motorul principal cu combustibil mixt şi motorul auxiliar cu combustibil mixt (LNG, combustibil diesel marin pilot MDO; fără generator pe ax) sunt echipate cu cisterne cu LNG mai mari.
Cazul 3: LNG nu este considerat «combustibilul principal» dacă motorul principal cu combustibil mixt şi motorul auxiliar cu combustibil mixt (LNG, combustibil diesel marin pilot MDO; fără generator pe ax) sunt echipate cu cisterne cu LNG mai mici.
Cazul 4: Un motor principal cu combustibil mixt (LNG, combustibil diesel marin pilot MDO) şi un motor principal cu combustibil diesel marin (MDO) şi un motor auxiliar cu combustibil mixt (LNG, combustibil diesel marin pilot MDO, fără generator pe ax) în care LNG ar putea fi considerat «combustibil principal» numai pentru motorul principal cu combustibil mixt
Cazul 5: Un motor principal cu combustibil mixt (LNG, combustibil diesel marin pilot MDO) şi un motor principal cu combustibil diesel marin (MDO) şi un motor auxiliar cu combustibil mixt (LNG, combustibil diesel marin pilot MDO, fără generator pe ax) în care LNG nu ar putea fi considerat «combustibil principal» pentru motorul principal cu combustibil mixt
" ANEXA Nr. 2(Anexa nr. 2 la Ordinul nr. 181/2015) REZOLUŢIA MEPC.282(70) (adoptată la 28 octombrie 2016) Liniile directoare din 2016 pentru elaborarea planului de management al randamentului energetic al navei (SEEMP) Comitetul pentru protecţia mediului marin, reamintind articolul 38(a) al Convenţiei privind crearea Organizaţiei Maritime Internaţionale referitor la funcţiile Comitetului pentru protecţia mediului marin (Comitetul) conferite acestuia prin convenţiile internaţionale pentru prevenirea şi controlul poluării marine, reamintind, de asemenea, că prin Rezoluţia MEPC.203(62) a adoptat amendamente la anexa Protocolului din 1997 privind amendarea Convenţiei internaţionale din 1973 pentru prevenirea poluării de către nave, aşa cum a fost modificată prin Protocolul din 1978 referitor la aceasta (includerea regulilor referitoare la randamentul energetic al navelor în anexa VI la MARPOL), luând notă de faptul că amendamentele la anexa VI la MARPOL menţionate mai sus, care au inclus un nou capitol 4 privind regulile referitoare la randamentul energetic al navelor, au intrat în vigoare la 1 ianuarie 2013, luând notă, de asemenea, de faptul că regula 22 din anexa VI la MARPOL, astfel cum a fost modificată, cere ca fiecare navă să aibă la bord un plan de management al randamentului energetic al navei, specific acesteia, luând în considerare liniile directoare elaborate de către Organizaţie, luând notă, în plus, că prin Rezoluţia MEPC.278(70) a adoptat amendamente la anexa VI la MARPOL referitoare la sistemul de colectare a datelor privind consumul de combustibil, care se aşteaptă să intre în vigoare la 1 martie 2018, după ce vor fi considerate ca fiind acceptate la 1 septembrie 2017, recunoscând că amendamentele la anexa VI la MARPOL menţionate mai sus cer adoptarea de linii directoare relevante pentru a facilita aplicarea uniformă şi efectivă a regulilor şi pentru a oferi suficient timp sectorului pentru a se pregăti, luând în considerare, la cea de-a şaptezecea sesiune a sa, proiectul Liniilor directoare din 2016 pentru elaborarea planului de management al randamentului energetic al navei (SEEMP), 1. adoptă Liniile directoare din 2016 pentru elaborarea planului de management al randamentului energetic al navei (SEEMP) (Liniile directoare din 2016), astfel cum sunt prezentate în anexa la prezenta rezoluţie; 2. invită administraţiile să ia în considerare Liniile directoare din 2016 anexate atunci când elaborează şi adoptă legislaţia naţională prin care intră în vigoare şi se pun în aplicare prevederile stabilite în regulile 22 şi 22A din anexa VI la MARPOL, astfel cum este amendată; 3. solicită părţilor la anexa VI la MARPOL şi altor guverne membre să aducă Liniile directoare din 2016 din anexă în atenţia comandanţilor de nave, navigatorilor, proprietarilor de nave, operatorilor de nave şi oricăror altor grupuri interesate; 4. este de acord să ţină Liniile directoare din 2016 sub observaţie în lumina experienţei acumulate cu implementarea lor; şi 5. înlocuieşte Liniile directoare din 2012 referitoare la elaborarea planului de management al randamentului energetic al navei (SEEMP), adoptate prin Rezoluţia MEPC.213(63). ANEXĂla Rezoluţia MEPC.282(70) Liniile directoare din 2016 pentru elaborarea planului de management al randamentului energetic al navei (SEEMP) CONŢINUT 1 INTRODUCERE 2 DEFINIŢII PARTEA I A SEEMP: PLANUL DE MANAGEMENT AL NAVEI PENTRU ÎMBUNĂTĂŢIREA RANDAMENTULUI ENERGETIC3 GENERALITĂŢI 4 CADRUL ŞI STRUCTURA PĂRŢII I A SEEMP 5 GHID PRIVIND CELE MAI BUNE PRACTICI PENTRU OPERAREA EFICIENTĂ A NAVELOR ÎN CEEA CE PRIVEŞTE CONSUMUL DE COMBUSTIBIL PARTEA A II-A A SEEMP: PLAN DE COLECTARE A DATELOR PRIVIND CONSUMUL DE COMBUSTIBIL LICHID AL NAVEI6 GENERALITĂŢI 7 GHID PENTRU METODOLOGIA DE COLECTARE A DATELOR PRIVIND CONSUMUL DE COMBUSTIBIL LICHID, DISTANŢA PARCURSĂ ŞI ORELE ÎN CARE NAVA A FĂCUT PARCURSUL 8 MĂSURAREA DIRECTĂ A EMISIILOR DE CO2 APENDICE 1 - EXEMPLU DE MODEL PENTRU PLANUL DE MANAGEMENT AL NAVEI PENTRU ÎMBUNĂTĂŢIREA RANDAMENTULUI ENERGETIC (SEEMP) APENDICE 2 - EXEMPLU DE MODEL PENTRU PLANUL DE COLECTARE A DATELOR PRIVIND CONSUMUL DE COMBUSTIBIL LICHID AL NAVEI APENDICE 3 - MODELUL STANDARDIZAT DE RAPORTARE DE DATE PENTRU SISTEMUL DE COLECTARE A DATELOR 1 INTRODUCERE 1.1 Liniile directoare pentru elaborarea planului de management al randamentului energetic al navei au fost elaborate pentru a facilita pregătirea Planului de management al randamentului energetic al navei (SEEMP) care este cerut prin regula 22 din anexa VI la MARPOL. 1.2 SEEMP este alcătuit din două părţi. Partea I furnizează un posibil mod de abordare pentru monitorizarea eficienţei navei şi flotei în timp şi oferă câteva opţiuni pentru a fi luate în considerare atunci când se încearcă optimizarea performanţelor navei. Partea a II-a prevede metodologiile pe care navele cu un tonaj brut mai mare sau egal cu 5.000 ar trebui să le utilizeze pentru a colecta datele cerute în conformitate cu regula 22A din anexa VI la MARPOL, precum şi procesele pe care nava ar trebui să le utilizeze pentru a raporta datele către Administraţia sau orice organizaţie autorizată în mod corespunzător de aceasta. 1.3 Un model de SEEMP este prezentat în apendicele 1 şi 2, cu titlu de exemplu. Un model standardizat de raportare pentru sistemul de colectare a datelor este prezentat în apendicele 3. 2 DEFINIŢII 2.1 Pentru scopul prezentelor linii directoare se aplică definiţiile din anexa VI la MARPOL. 2.2 „Datele privind consumul de combustibil al navei" înseamnă datele care trebuie colectate anual şi raportate aşa cum se specifică în apendicele IX al anexei VI la MARPOL. 2.3 „Sistemul de management al siguranţei" înseamnă un sistem structurat şi bazat pe documentaţie care permite personalului companiei să implementeze eficient politica companiei în domeniul siguranţei şi protecţiei mediului, astfel cum este definit în paragraful 1.1 al Codului internaţional de management al siguranţei. PARTEA I A SEEMP: PLANUL DE MANAGEMENT AL NAVEI PENTRU ÎMBUNĂTĂŢIREA RANDAMENTULUI ENERGETIC3 GENERALITĂŢI 3.1 În termeni globali, ar trebui să fie recunoscut faptul că eficienţa operaţională realizată de un număr mare de operatori de nave va contribui în mod semnificativ la reducerea emisiilor mondiale de carbon. 3.2 Scopul părţii I a SEEMP este de a stabili un mecanism pentru o companie şi/sau o navă în vederea îmbunătăţirii randamentului energetic al operării navei. Acest aspect al SEEMP specific unei nave trebuie, de preferinţă, să fie legat de o politică mai vastă privind managementul energetic corporatist al companiei care posedă, operează sau controlează nava, recunoscând faptul că nu există două companii de navigaţie identice şi că navele sunt operate într-o gamă largă de condiţii diferite. 3.3 Multe companii au deja un sistem de management al mediului (EMS) implementat în conformitate cu standardul ISO 14001, care conţine proceduri pentru selectarea celor mai bune măsuri pentru fiecare navă şi pentru stabilirea ulterioară a obiectivelor care permit evaluarea parametrilor pertinenţi, precum şi elementele adecvate de control şi de „feedback". Monitorizarea randamentului operaţional de mediu ar trebui de aceea să fie tratată ca un element integral al sistemelor mai largi de management al companiei. 3.4 Suplimentar, multe companii deja dezvoltă, implementează şi menţin un sistem de management al siguranţei. În astfel de cazuri, partea I a SEEMP poate face parte din Sistemul de management al siguranţei navei. 3.5 Prezenta secţiune furnizează un ghid pentru elaborarea părţii I a SEEMP, care ar trebui să fie adaptat la caracteristicile şi nevoile individuale ale companiilor şi navelor. Partea I este destinată să fie un instrument de management pentru a asista compania în managementul performanţelor de mediu în derulare ale navelor lor şi, ca atare, se recomandă ca o companie să elaboreze proceduri pentru implementarea planului într-un mod care să limiteze la minimum necesar orice sarcină administrativă la bord. 3.6 Partea I a SEEMP ar trebui să fie elaborată de către companie ca un plan specific fiecărei nave şi trebuie să reflecte eforturile pentru ameliorarea randamentului energetic al navei în patru etape: planificarea, implementarea, monitorizarea, precum şi autoevaluarea şi îmbunătăţirea. Aceste componente joacă un rol esenţial în cadrul ciclului continuu de a îmbunătăţi managementul randamentului energetic al navei. La fiecare repetare a ciclului, unele elemente ale părţii I se vor schimba în mod necesar, în timp ce altele pot rămâne ca mai înainte. 3.7 Aspectele legate de siguranţă ar trebui să primeze întotdeauna. Serviciul comercial în care nava este angajată poate determina fezabilitatea măsurilor de eficientizare luate în considerare. De exemplu, navele care furnizează servicii pe mare (amplasarea de conducte, supravegherea seismică, aprovizionarea în larg, dragajul etc.) pot să aleagă metode diferite de îmbunătăţire a randamentului lor energetic în comparaţie cu cele adoptate de navele de transport marfă convenţionale. Natura operaţiunilor şi influenţa condiţiilor meteorologice predominante, a mareelor şi a curenţilor, combinate cu nevoia de menţinere a siguranţei în operaţiuni, pot necesita ajustări ale procedurilor generale pentru a menţine eficienţa operaţiunii, de exemplu în cazul navelor care sunt poziţionate dinamic. Lungimea voiajului poate, de asemenea, să fie un parametru important, aşa cum pot fi şi consideraţiile în materie de siguranţă specifice activităţii comerciale a navei. 4 CADRUL ŞI STRUCTURA PĂRŢII I A SEEMP 4.1 Planificarea 4.1.1 Planificarea este cea mai importantă etapă a părţii I a SEEMP, prin faptul că aceasta determină în primul rând atât stadiul curent al modului de folosire a energiei navei, cât şi îmbunătăţirea preconizată a randamentului energetic al navei. Prin urmare, se recomandă să se consacre suficient timp planificării, astfel încât să poată fi elaborat cel mai potrivit, eficient şi aplicabil plan posibil. Măsuri specifice navei 4.1.2 Recunoscând că există o varietate de opţiuni pentru a îmbunătăţi randamentul - de exemplu optimizarea vitezei, alegerea rutei după indicaţiile meteorologice şi întreţinerea corpului navei - şi că cel mai bun pachet de măsuri pentru o navă în vederea îmbunătăţirii randamentului diferă în mod considerabil în funcţie de tipul navei, mărfurile transportate, rutele de marş şi alţi factori, ar trebui să fie identificate, încă de la început, măsurile specifice navei pentru a-i îmbunătăţi randamentul energetic. Aceste măsuri ar trebui să fie listate ca un pachet de măsuri care trebuie puse în aplicare, fapt ce va furniza o vedere generală a acţiunilor care trebuie să fie întreprinse pentru acea navă. 4.1.3 Prin urmare, în timpul acestui proces este important să se determine şi să se înţeleagă situaţia actuală privind consumul de energie al navei. Partea I a SEEMP ar trebui să identifice măsurile de economisire a energiei care au fost luate deja şi ar trebui să determine cât de eficiente sunt aceste măsuri în ceea ce priveşte îmbunătăţirea randamentului energetic. De asemenea, partea I ar trebui să identifice ce măsuri pot fi luate pentru a îmbunătăţi în continuare randamentul energetic al navei. Totuşi, ar trebui remarcat că nu toate măsurile pot fi aplicate la toate navele sau chiar la aceeaşi navă, aflată în condiţii de operare diferite, şi că unele dintre aceste măsuri se exclud reciproc. În mod ideal, măsurile luate la stadiul iniţial ar putea antrena economii de energie (şi de cost) care apoi ar putea fi reinvestite în acţiuni de îmbunătăţire a eficienţei mai dificile sau mai costisitoare identificate în partea I. 4.1.4 Ghidul privind cele mai bune practici pentru operarea eficientă a navelor în ceea ce priveşte consumul de combustibil, care face obiectul capitolului 5, poate fi utilizat pentru a facilita această parte a fazei de planificare. De asemenea, în procesul de planificare, ar trebui să se acorde o atenţie deosebită reducerii la minimum a oricărei sarcini administrative la bordul navei. Măsuri specifice companiei 4.1.5 Îmbunătăţirea randamentului energetic al operării unei nave nu depinde în mod necesar de maniera în care acea singură navă este supusă managementului. Mai degrabă, aceasta poate depinde de multe părţi participante incluzând şantierele navale de reparaţii, proprietarii de nave, operatorii, navlositorii, proprietarii mărfii, porturile şi serviciile de management al traficului. De exemplu, „sincronizarea" - astfel cum este explicată la paragraful 5.2.4 - solicită o bună comunicare prealabilă între operatori, porturi şi serviciile de management al traficului. Cu cât este mai bună coordonarea între astfel de participanţi, cu atât este de aşteptat o mai mare îmbunătăţire. În cele mai multe cazuri, o astfel de coordonare sau managementul total este făcut mai bine de către o companie decât de către o navă. În acest sens, este recomandat ca o companie, de asemenea, să stabilească un plan de management al energiei pentru a gestiona flota sa (dacă un astfel de plan nu există încă) şi să facă coordonarea necesară între părţile participante. Dezvoltarea resurselor umane 4.1.6 Pentru implementarea eficientă şi fără conflicte a măsurilor adoptate este important să se asigure pregătirea necesară şi să se consolideze gradul de conştientizare a personalului atât de pe uscat, cât şi de la bordul navei. O astfel de dezvoltare a resursei umane este încurajată şi ar trebui să fie considerată o componentă importantă a planificării, precum şi un element determinant al implementării. Definirea obiectivului 4.1.7 Ultima parte a planificării constă în stabilirea obiectivului. Ar trebui subliniat că acest demers de a defini obiectivul este voluntar, că nu este necesar să se anunţe public obiectivul sau rezultatul şi faptul că nici compania şi nici nava nu vor face obiectul vreunei inspecţii externe. Scopul stabilirii obiectivului este de a servi ca un semnal de care oamenii implicaţi ar trebui să fie conştienţi, să creeze un bun stimulent pentru implementarea corespunzătoare şi apoi să crească angajamentul pentru îmbunătăţirea randamentului energetic. Obiectivul poate lua orice formă, precum: consumul anual de combustibil lichid sau o ţintă specifică a indicatorului operaţional al randamentului energetic (EEOI). Indiferent care este obiectivul, acesta ar trebui să fie măsurabil şi uşor de înţeles. 4.2 Implementarea Stabilirea unui sistem de implementare 4.2.1 După ce o navă şi o companie identifică măsurile care trebuie implementate, este esenţial să se stabilească un sistem pentru implementarea măsurilor identificate şi selectate, prin elaborarea de proceduri pentru managementul energiei, prin definirea sarcinilor şi prin atribuirea acestora personalului calificat. Astfel, partea I a SEEMP ar trebui să descrie modalităţile de aplicare a fiecărei măsuri şi să indice care este/sunt persoana/persoanele responsabilă/responsabile. Ar trebui să fie indicată perioada de implementare (data începerii şi data finalizării) a fiecărei măsuri selectate. Elaborarea unui astfel de sistem poate fi considerată o parte a planificării şi, prin urmare, aceasta poate fi finalizată în etapa de planificare. Implementarea şi ţinerea registrelor 4.2.2 Măsurile planificate ar trebui să fie puse în practică în conformitate cu sistemul predeterminat de implementare. Ţinerea registrelor privind implementarea fiecărei măsuri este folositoare pentru autoevaluarea într-o etapă ulterioară şi ar trebui să fie încurajată. Dacă vreo măsură identificată nu poate fi aplicată dintr-un motiv sau mai multe motive oarecare, atunci motivul(ele) ar trebui să fie înregistrat(e), pentru uzul intern. 4.3 Monitorizare Instrumente de monitorizare 4.3.1 Randamentul energetic al unei nave ar trebui să fie monitorizat cantitativ. Pentru aceasta ar trebui să se utilizeze o metodă bine stabilită, de preferinţă un standard internaţional. EEOI elaborat de către Organizaţie este unul dintre instrumentele stabilite pe plan internaţional pentru a obţine un indicator cantitativ al randamentului energetic al unei nave şi/sau al unei flote în serviciu şi poate fi utilizat în acest scop. În consecinţă, EEOI ar putea fi considerat ca fiind instrumentul principal de monitorizare, cu toate că şi alte măsuri cantitative pot fi, de asemenea, adecvate. 4.3.2 Dacă se utilizează EEOI, atunci se recomandă ca acesta să fie calculat în conformitate cu Liniile directoare pentru elaborarea planului de management al randamentului energetic al navei (MEPC.1/Circ.684), elaborate de către Organizaţie, ajustate, după cum este necesar, în funcţie de specificul navei şi activităţii comerciale. 4.3.3 Suplimentar EEOI, dacă este convenabil şi/sau benefic pentru o navă sau o companie, pot fi utilizate alte instrumente de măsură. În cazul în care se utilizează alte instrumente de monitorizare, instrumentul şi metoda de monitorizare pot fi stabilite în etapa de planificare. Stabilirea sistemului de monitorizare 4.3.4 Ar trebui notat faptul că, indiferent de instrumentele de măsurare care sunt utilizate, colectarea continuă şi sistematică a datelor constituie baza monitorizării. Pentru a obţine o monitorizare eficientă şi fiabilă ar trebui pus în aplicare un sistem de monitorizare care să includă proceduri pentru colectarea datelor şi desemnarea personalului responsabil. Elaborarea unui astfel de sistem poate fi considerată ca făcând parte din planificare şi ar trebui, prin urmare, să fie finalizată în etapa de planificare. 4.3.5 Ar trebui notat faptul că, pentru a evita sarcini administrative inutile asupra personalului navei, monitorizarea ar trebuie să fie efectuată în măsura în care este posibil de către personalul de la uscat, utilizând datele obţinute din registrele necesare, existente la bord, precum jurnalul de bord, jurnalul maşinilor şi registrul hidrocarburilor etc. Informaţii suplimentare ar putea fi obţinute, după caz. Căutare şi salvare 4.3.6 Atunci când o navă se abate de la drumul său planificat pentru a se angaja în operaţiuni de căutare şi salvare, se recomandă ca datele obţinute în timpul unor astfel de operaţiuni să nu fie utilizate în monitorizarea randamentului energetic al navei şi ca astfel de date să poată fi înregistrate separat. 4.4 Autoevaluare şi îmbunătăţire 4.4.1 Autoevaluarea şi îmbunătăţirea constituie faza finală a ciclului de management. Această fază ar trebui să genereze informaţii de răspuns (feedback) utile pentru prima etapă ce urmează, şi anume etapa de planificare a următorului ciclu de îmbunătăţire. 4.4.2 Scopul autoevaluării este acela de a evalua eficienţa măsurilor planificate şi a implementării lor, de a înţelege mai bine caracteristicile generale ale operării navei, de exemplu, ce tipuri de măsuri pot sau nu pot funcţiona eficient, precum şi cum şi/sau de ce, de a înţelege tendinţa de îmbunătăţire a eficienţei respectivei nave şi de a elabora un plan de management îmbunătăţit pentru următorul ciclu. 4.4.3 Pentru acest proces ar trebui să fie elaborate proceduri pentru autoevaluarea managementului energetic al navelor. Mai mult, autoevaluarea ar trebui să fie implementată periodic, utilizând datele colectate în cursul monitorizării. Suplimentar, este recomandat să se aloce timp pentru identificarea relaţiei cauză-efect a performanţei în timpul perioadei de evaluare în scopul îmbunătăţirii etapei următoare a planului de management. 5 GHID PRIVIND CELE MAI BUNE PRACTICI PENTRU OPERAREA EFICIENTĂ A NAVELOR ÎN CEEA CE PRIVEŞTE CONSUMUL DE COMBUSTIBIL 5.1 Cercetarea pentru eficienţă asupra întregului lanţ de transport angajează responsabilităţi care depăşesc capacităţile unui singur proprietar sau operator. Lista tuturor părţilor participante posibile în eficienţa unui singur voiaj este lungă: părţile evidente în ceea ce priveşte caracteristicile navei sunt proiectanţii, şantierele navale şi producătorii de motoare, iar în ceea ce priveşte voiajul propriu-zis sunt navlositorii, porturile şi serviciile de management al traficului navelor etc. Toate părţile implicate ar trebui să ia în considerare includerea măsurilor de eficientizare în operaţiunile lor, atât individual, cât şi colectiv. 5.2 Moduri de operare eficiente din punct de vedere al combustibilului Mai buna planificare a voiajelor 5.2.1 Itinerarul optim şi randamentul îmbunătăţit se pot obţine prin planificarea şi executarea cu grijă a voiajelor. O planificare minuţioasă a voiajului necesită timp, însă în scopul planificării sunt disponibile mai multe instrumente software diferite. 5.2.2 Liniile directoare pentru planificarea voiajului, adoptate prin Rezoluţia A.893(21), oferă orientarea esenţială pentru echipajul navei şi pentru persoanele însărcinate cu planificarea voiajului. Alegerea rutei după indicaţiile meteorologice 5.2.3 Alegerea rutei după indicaţiile meteorologice are un mare potenţial de creştere a eficienţei pe anumite rute. Este un serviciu disponibil pe piaţă pentru toate tipurile de nave şi pentru multe zone comerciale. Se pot realiza economii semnificative, dar, pe de altă parte, alegerea rutei după indicaţiile meteorologice poate duce la creşterea consumului de combustibil pentru un anumit voiaj. Sincronizarea 5.2.4 Comunicarea bună şi din timp cu portul următor de escală ar trebui să fie un obiectiv pentru a oferi cu cât mai mult timp în avans notificarea referitoare la disponibilitatea danei de operare şi pentru a facilita utilizarea vitezei optime, atunci când procedurile operaţionale ale portului permit o astfel de abordare. 5.2.5 Pentru a optimiza operaţiunile portuare ar putea fi necesară o modificare în procedurile care implică diferite dispozitive de manipulare în porturi. Autorităţile portuare ar trebui să fie încurajate să maximizeze eficienţa şi să minimizeze întârzierile. Optimizarea vitezei 5.2.6 Optimizarea vitezei poate produce economii importante. Oricum, viteza optimă înseamnă viteza la care combustibilul utilizat pe tona milă este la nivelul minim pentru acel voiaj. Aceasta nu înseamnă viteza minimă; în fapt, navigând la o viteză mai mică decât viteza optimă, se va consuma mai mult combustibil, nu mai puţin. Ar trebui consultată curba putere/consum emisă de producătorul motorului şi curba propulsorului navei. Posibilele efecte defavorabile ale exploatării navei la viteză redusă pot include o accentuare a vibraţiilor şi probleme cu depunerile de funingine în camerele de combustie şi în sistemul de evacuare a gazelor. Ar trebui să se ţină cont de aceste efecte posibile. 5.2.7 În cadrul procesului de optimizare a vitezei poate să fie necesar să se ţină cont în mod corespunzător de nevoia de a coordona ora de sosire cu disponibilitatea danelor de încărcare/descărcare etc. Atunci când se urmăreşte optimizarea vitezei, poate fi necesar să se ţină cont de numărul de nave angajate pe o anumită rută comercială. 5.2.8 O creştere graduală a vitezei la plecarea din port sau estuar în timp ce se ţine încărcarea motorului în cadrul anumitor limite poate contribui la reducerea consumului de combustibil. 5.2.9 Este recunoscut faptul că în multe contracte de navlosire viteza navei este determinată de către navlositor, şi nu de către operator. Ar trebui făcute eforturi atunci când se convin termenii de navlosire, pentru a încuraja să se opereze nava la viteza optimă în scopul de a maximiza randamentul energetic. Puterea la arbore optimizată 5.2.10 Operarea la turaţie constantă a arborelui poate fi mai eficientă decât ajustarea continuă a vitezei prin puterea motorului (a se vedea paragraful 5.7). Utilizarea sistemelor automate de management al motorului pentru a controla viteza poate fi mai benefică decât a se baza pe intervenţia umană. 5.3 Conducerea optimizată a navei Asieta optimă 5.3.1 Cele mai multe dintre nave sunt proiectate să transporte o anumită cantitate de marfă la o anumită viteză pentru un anumit consum de combustibil. Aceasta implică specificarea condiţiilor corespunzătoare unei asiete date. Fie că nava este încărcată, fie neîncărcată, asieta are o influenţă semnificativă asupra rezistenţei la înaintare a navei prin apă şi optimizarea asietei poate asigura economii de combustibil semnificative. Pentru orice pescaj dat există o configuraţie a asietei care asigură o rezistenţă minimă. Pentru anumite nave este posibil să se evalueze condiţiile optime de asietă pentru un randament energetic maxim pe toată durata voiajului. Unii factori de proiectare sau de siguranţă pot împiedica optimizarea deplină a asietei. Balastarea optimă 5.3.2 Balastul ar trebui ajustat luând în considerare cerinţele de a satisface condiţiile optime de asietă şi guvernare şi condiţiile de balastare optimă, obţinute printr-o mai bună planificare a încărcării. 5.3.3 Atunci când se determină condiţiile de balastare optimă trebuie să fie respectate limitele, condiţiile şi dispozitivele de management al balastului indicate în planul de management al apei de balast al navei respective. 5.3.4 Condiţiile de balastare au un impact semnificativ asupra condiţiilor de guvernare şi asupra reglajelor pilotului automat. Trebuie ştiut, printre altele, că o cantitate mai mică de balast nu înseamnă, în mod necesar, şi un randament maxim. Aspecte privind optimizarea elicei şi a fluxului acesteia 5.3.5 Alegerea elicei intervine în mod normal în stadiul de proiectare şi de construcţie a navei, dar noile progrese în proiectarea elicelor au făcut posibil să se poată moderniza ulterior o instalaţie, prin reproiectare, pentru a obţine un consum mai scăzut de combustibil. Cu toate că este sigur că trebuie luată în considerare, elicea este doar o parte a trenului de propulsie şi o schimbare numai a elicei poate să rămână fără efect asupra randamentului şi poate chiar să producă creşterea consumului de combustibil. 5.3.6 Îmbunătăţirile aduse fluxului de apă către elice cu ajutorul dispozitivelor, precum aripioare şi/sau duze, ar putea creşte raportul eficienţă - putere al propulsiei şi, prin urmare, să reducă consumul de combustibil. Utilizarea optimă a cârmei şi a sistemelor de control al direcţiei (pilot automat) 5.3.7 Sistemele automatizate de control al direcţiei şi de guvernare au evoluat foarte mult. Cu toate că iniţial au fost dezvoltate pentru a face mai eficientă echipa de comandă a navei, autopiloţii moderni pot realiza mult mai mult. Un sistem integrat de navigaţie şi comandă poate realiza economii de combustibil semnificative prin simpla reducere a distanţelor parcurse datorită devierii de la drum. Principiul este simplu: un control mai bun al cursului prin corecţii mai mici şi cu o frecvenţă mai redusă va reduce la minimum pierderile datorită rezistenţei cârmei. Se va putea lua în considerare retehnologizarea navelor existente cu instalaţii de pilot automat mai eficiente. 5.3.8 În timpul apropierii de un port sau de staţii pentru preluarea pilotului, sistemul de pilot automat nu poate fi utilizat întotdeauna în mod eficient, deoarece cârma trebuie să răspundă repede la comenzile date. Mai mult, în anumite etape ale voiajului, poate fi necesar ca acesta să fie dezactivat sau să fie reglat cu mare atenţie, de exemplu, în cazul condiţiilor meteorologice defavorabile sau la apropierea de port. 5.3.9 Se poate lua în considerare să se instaleze un safran de cârmă mai perfecţionat (flux elicoidal, de exemplu). Întreţinerea corpului navei 5.3.10 Intervalele de andocare ar trebui integrate cu evaluările privind performanţele navelor efectuate de către operatorii acestora. Rezistenţa la înaintare produsă de corpul navei poate fi optimizată prin sistemele de acoperire de nouă tehnologie, posibil în combinaţie cu intervalele de curăţare a corpului navei. Se recomandă efectuarea cu regularitate de inspecţii subacvatice pentru a stabili starea în care se prezintă corpul navei. 5.3.11 Curăţarea şi lustruirea elicei sau chiar aplicarea unei acoperiri corespunzătoare pot creşte semnificativ randamentul energetic. Nevoia navelor de a-şi menţine randamentul energetic prin curăţarea subacvatică a corpului ar trebui să fie recunoscută şi facilitată de către statele portului. 5.3.12 Ar putea fi luată în considerare posibilitatea îndepărtării şi înlocuirii la momentul oportun, în totalitate, a sistemelor subacvatice de vopsire pentru a evita creşterea rugozităţii corpului cauzate de repetatele sablări şi reparaţii din timpul multiplelor andocări. 5.3.13 În general, cu cât este mai neted corpul, cu atât este mai bun randamentul energetic. Sistemul de propulsie 5.3.14 Motoarele diesel navale au un randament termic foarte înalt (cca 50%). Această performanţă excelentă este depăşită numai de tehnologia celulelor de combustibil cu un randament termic mediu de 60%. Aceasta se datorează reducerii sistematice la minimum a pierderilor de căldură şi a celor mecanice. Noua generaţie de motoare cu comandă electronică, în special, poate oferi câştiguri privind randamentul. Totuşi, pentru a maximiza beneficiile, poate fi nevoie să se ia în considerare perfecţionarea specifică a personalului relevant. Întreţinerea sistemului de propulsie 5.3.15 Întreţinerea, în conformitate cu instrucţiunile producătorului, în cadrul programului companiei privind întreţinerea planificată, va garanta, de asemenea, menţinerea randamentului energetic. Utilizarea monitorizării stării motorului poate fi un instrument folositor pentru menţinerea unui randament înalt. 5.3.16 Mijloacele suplimentare pentru îmbunătăţirea randamentului motorului ar putea include: utilizarea aditivilor pentru combustibil; reglarea consumului de ulei de ungere a cilindrilor; îmbunătăţirea supapelor; analiza cuplului motor şi sistemele automate de monitorizare a motorului. 5.4 Recuperarea căldurii reziduale 5.4.1 Recuperarea căldurii reziduale este în prezent o tehnologie disponibilă în comerţ pentru anumite tipuri de nave. Sistemele de recuperare a căldurii utilizează pierderile termice de căldură din gazele arse evacuate fie pentru generarea de energie electrică, fie pentru o putere de propulsie adiţională cu ajutorul unui motor cuplat la arbore. 5.4.2 Este posibil ca astfel de dispozitive să nu poată fi instalate pe navele existente. Oricum, acestea pot fi o opţiune benefică pentru navele noi. Constructorii de nave ar trebui să fie încurajaţi să integreze această nouă tehnologie în proiectele lor. 5.5 Îmbunătăţirea managementului flotei 5.5.1 Mai buna utilizare a capacităţii flotei poate fi realizată adesea prin îmbunătăţirea planificării flotei. De exemplu, poate fi posibil să se evite sau să se reducă voiajele lungi în balast printr-o planificare îmbunătăţită a flotei. Navlositorii pot să profite de aceasta pentru promovarea eficienţei. Aceasta poate fi corelată strâns cu conceptul de sosiri „sincronizate". 5.5.2 Diseminarea datelor privind eficienţa, fiabilitatea şi întreţinerea în interiorul unei companii poate servi la promovarea celor mai bune practici în rândul navelor companiei şi acest fapt ar trebui încurajat în mod activ. 5.6 Manipularea mai eficientă a încărcăturilor Manipularea încărcăturii este, în cele mai multe dintre cazuri, sub controlul portului şi ar trebui să fie căutate soluţii optime, adaptate cerinţelor navei şi portului. 5.7 Managementul energiei 5.7.1 Prin trecerea în revistă a serviciilor electrice la bord pot fi descoperite posibilităţi de îmbunătăţire neaşteptată a eficienţei. Cu toate acestea, ar trebui să se aibă grijă să se evite crearea de noi riscuri pentru siguranţă atunci când sunt debranşate servicii electrice (iluminatul, de exemplu). O modalitate evidentă de economisire a energiei este izolarea termică. A se vedea şi observaţia de mai jos privind alimentarea electrică de la mal a navelor. 5.7.2 Optimizarea locurilor de stivuire a containerelor frigorifice poate fi benefică în privinţa reducerii efectului de transfer de căldură provenind de la unităţile de compresoare. Aceasta ar putea fi combinată în mod corespunzător cu încălzirea sau ventilarea tancurilor de marfă etc. Ar putea fi luată în considerare, de asemenea, utilizarea instalaţiilor frigorifice răcite cu apă care consumă mai puţină energie. 5.8 Tipul de combustibil Utilizarea noilor combustibili poate fi considerată ca fiind o metodă de reducere a emisiilor de CO2, dar aplicabilitatea este adesea condiţionată de disponibilitatea acestora. 5.9 Alte măsuri 5.9.1 Se poate lua în considerare elaborarea unui program pe computer pentru calcularea consumului de combustibil, pentru stabilirea unei „amprente" a emisiilor, pentru a optimiza operaţiunile, precum şi pentru stabilirea obiectivelor de îmbunătăţire şi urmărirea progreselor. 5.9.2 În ultimii ani, sursele regenerabile de energie, cum ar fi tehnologiile eoliene sau cu celule solare (fotovoltaice), s-au îmbunătăţit enorm şi ar trebui luată în considerare posibilitatea aplicării acestora la bord. 5.9.3 În unele porturi energia de la mal poate fi disponibilă pentru unele nave, dar aceasta are, în general, menirea să îmbunătăţească calitatea aerului în zona portului. Dacă sursa de energie de la mal produce puţin carbon, aceasta poate prezenta un câştig de eficienţă notabil. Navele pot lua în considerare utilizarea alimentării electrice de la mal, dacă aceasta este disponibilă. 5.9.4 Chiar şi propulsia asistată de energia eoliană poate fi demnă de luat în considerare. 5.9.5 Ar putea fi făcute eforturi pentru a găsi surse de combustibil de calitate mai bună cu scopul de a reduce la minimum cantitatea necesară pentru a asigura o putere de ieşire dată. 5.10 Compatibilitatea măsurilor 5.10.1 Prezentele linii directoare indică o varietate amplă de posibilităţi pentru a îmbunătăţi randamentul energetic al flotei existente. Deşi sunt numeroase opţiuni disponibile, acestea nu sunt în mod necesar cumulative; ele depind adesea de zona de operare a navei şi de activitatea comercială şi acestea necesită, probabil, asentimentul şi sprijinul unui anumit număr de părţi participante diferite, dacă se doreşte ca aceste opţiuni să fie utilizate cu cea mai mare eficienţă. Vârsta şi durata de viaţă operaţională a unei nave 5.10.2 Toate măsurile identificate în prezentul document sunt potenţial rentabile ca un rezultat al preţurilor ridicate ale hidrocarburilor. Măsurile considerate anterior ca fiind inabordabile sau neatractive din punct de vedere comercial acum pot fi fezabile şi merită o nouă atenţie. Este clar că această ecuaţie este influenţată semnificativ de durata de viaţă rămasă a navei şi de preţul combustibilului. Zona de operare şi de navigaţie 5.10.3 Fezabilitatea multor măsuri descrise în aceste linii directoare va depinde de zona de operare şi de navigaţie a navei. Câteodată, navele vor schimba zona de operare ca rezultat al modificării cerinţelor de navlosire, dar aceasta nu poate fi luată ca o prezumţie generală. De exemplu, utilizarea energiei eoliene ca o sursă complementară de energie ar putea să nu fie potrivită pentru traficul maritim pe distanţe scurte, deoarece aceste nave, în general, navighează în zone cu densităţi de trafic înalte sau pe căi navigabile cu restricţii. Un alt aspect este acela că oceanele şi mările lumii au fiecare condiţii caracteristice şi de aceea navele proiectate pentru anumite rute şi relaţii comerciale specifice nu pot să obţină acelaşi beneficiu prin adoptarea aceloraşi măsuri sau combinaţii de măsuri ca alte nave. Este, de asemenea, posibil ca unele măsuri să aibă un efect mai mare sau mai mic în zone de navigaţie diferite. 5.10.4 Serviciul comercial în care nava este angajată poate determina fezabilitatea măsurilor de eficientizare luate în considerare. De exemplu, navele care furnizează servicii pe mare [amplasarea de conducte, supravegherea seismică, aprovizionarea în larg (OSV), dragajul etc.] pot să aleagă metode diferite de îmbunătăţire a randamentului lor energetic în comparaţie cu cele adoptate de navele de transport marfă convenţionale. Lungimea voiajului poate, de asemenea, să fie un parametru important, aşa cum pot fi şi consideraţiile în materie de siguranţă specifice activităţii comerciale a navei. Calea de urmat pentru a obţine cea mai eficientă combinaţie de măsuri va fi unică pentru fiecare navă din cadrul fiecărei companii de transport maritim. PARTEA A II-A A SEEMP: PLANUL DE COLECTARE A DATELOR PRIVIND CONSUMUL DE COMBUSTIBIL LICHID AL NAVEI6 GENERALITĂŢI 6.1 Regula 22.2 din anexa VI la MARPOL prevede că: „La 31 decembrie 2018 sau înainte de această dată, în cazul unei nave cu tonajul brut de 5.000 sau mai mare, SEEMP trebuie să includă o descriere a metodologiei care va fi utilizată pentru colectarea datelor cerute de regula 22A.1 din această anexă şi procesele care vor fi utilizate pentru a raporta datele către Administraţia navei." Partea a II-a a SEEMP - Planul de colectare a datelor privind consumul de combustibil lichid al navei (denumit în continuare „Planul de colectare a datelor") conţine o astfel de metodologie şi astfel de procese. 6.2 În ceea ce priveşte partea a II-a SEEMP, prezentele linii directoare oferă îndrumări pentru elaborarea unei metode specifice navei, de colectare, agregare şi raportare a datelor referitoare la navă în ceea ce priveşte consumul anual de combustibil lichid, distanţa parcursă, orele în care nava a făcut parcursul şi alte date cerute de regula 22A din anexa VI la MARPOL care trebuie raportate Administraţiei. 6.3 În aplicarea regulii 5.4.4 din anexa VI la MARPOL, Administraţia ar trebui să se asigure că SEEMP al fiecărei nave respectă regula 22.2 din anexa VI la MARPOL, înainte de colectarea oricăror date. 7 GHID PENTRU METODOLOGIA DE COLECTARE A DATELOR PRIVIND CONSUMUL DE COMBUSTIBIL LICHID, DISTANŢA PARCURSĂ ŞI ORELE ÎN CARE NAVA A FĂCUT PARCURSUL Consumul de combustibil lichid11 Regula 2.9 din anexa VI la MARPOL defineşte „combustibilul lichid " astfel: „combustibil lichid înseamnă orice fel de combustibil livrat unei nave şi destinat combustiei pentru propulsia navei sau pentru operarea acesteia, incluzând combustibili gazoşi, distilaţi şi reziduali". 7.1 Consumul de combustibil lichid ar trebui să includă tot combustibilul consumat la bord, incluzând, dar fără a se limita la acesta, combustibilul consumat de motoarele principale, motoarele auxiliare, turbinele cu gaz, căldările şi generatorul de gaz inert, pentru fiecare tip de combustibil consumat, indiferent dacă nava este în marş sau nu. Metodele de colectare a datelor privind consumul anual de combustibil lichid în tone metrice includ (fără a fi prezentate într-o ordine anume): .1 metoda în care se utilizează notele de livrare a buncărului (BDN-uri) Această metodă determină cantitatea anuală totală de combustibil lichid utilizat pe baza BDN-urilor, care sunt obligatorii pentru combustibilul livrat şi utilizat pentru combustie la bordul navei, în conformitate cu regula 18 din anexa VI la MARPOL; BDN-urile trebuie să fie păstrate la bord timp de trei ani după livrarea combustibilului lichid. Planul de colectare a datelor ar trebui să stabilească modul în care nava va operaţionaliza sintetizarea informaţiilor din BDN şi modul în care se va efectua citirea nivelului în tanc. Principalele componente ale acestei abordări sunt următoarele: .1 consumul anual de combustibil va fi masa totală a combustibilului lichid utilizat la bordul navei, aşa cum se reflectă în BDN-uri. În această metodă, cantităţile de combustibil lichid care figurează în BDN-uri vor fi folosite pentru a determina masa totală anuală de combustibil lichid consumat, plus cantitatea de combustibil lichid rămas la sfârşitul ultimului an calendaristic, minus cantitatea de combustibil lichid raportată în anul calendaristic următor; .2 pentru a determina diferenţa dintre cantitatea de combustibil rămas în tanc înainte şi după această perioadă, citirea nivelului în tanc ar trebui să fie efectuată la începutul şi la sfârşitul perioadei; .3 în cazul unui voiaj care se întinde dincolo de perioada de raportare a datelor, citirea nivelului în tanc ar trebui să aibă loc prin monitorizarea tancului în porturile de plecare şi de sosire ale voiajului şi prin metode statistice, cum ar fi media mobilă pe zile de voiaj; .4 citirile nivelului de combustibil din tanc trebuie să fie efectuate prin metode adecvate, cum ar fi sistemele automatizate, sondele şi benzile de măsurare prin imersiune. Metoda utilizată pentru citirea nivelului tancului ar trebui specificată în Planul de colectare a datelor; .5 cantitatea de combustibil descărcat ar trebui să fie scăzută din consumul de combustibil din perioada de raportare. Această cantitate trebuie să se bazeze pe înregistrările din jurnalul de înregistrare a hidrocarburilor al navei; şi .6 orice date suplimentare utilizate pentru a explica diferenţa identificată în cantitatea din buncăr trebuie să fie susţinute cu documente justificative; .2 metoda în care se utilizează debitmetrele Această metodă determină cantitatea anuală totală de consum de combustibil lichid prin măsurarea debitului de combustibil la bord utilizând debitmetrele. În cazul defectării debitmetrelor vor fi efectuate citiri manuale ale nivelului din tanc sau alte metode alternative. Planul de colectare a datelor ar trebui să prezinte informaţii despre debitmetrele navei şi modul în care datele vor fi colectate şi sintetizate, precum şi modul în care trebuie efectuate citirile nivelului din tanc: .1 consumul anual de combustibil lichid poate fi suma cantităţilor de combustibil consumat zilnic ale tuturor proceselor consumatoare de combustibil de la bord relevante, măsurate cu ajutorul debitmetrelor; .2 debitmetrele utilizate pentru monitorizare ar trebui să fie amplasate astfel încât să se măsoare toate consumurile de combustibil de la bord. Debitmetrele şi conexiunea acestora cu consumatorii specifici de combustibili ar trebui să fie descrise în Planul de colectare a datelor; .3 reţineţi că nu este necesar să corectaţi această metodă de măsurare a combustibilului lichid pentru a ţine cont de nămol dacă debitmetrul este instalat după rezervorul zilnic, deoarece nămolurile vor fi îndepărtate din combustibil înainte de rezervorul zilnic; .4 debitmetrele utilizate pentru monitorizarea debitului de combustibil lichid ar trebui să fie identificate în Planul de colectare a datelor. Orice consumator care nu este monitorizat cu un debitmetru trebuie să fie clar identificat şi ar trebui să fie inclusă o metodă alternativă de măsurare a consumului de combustibil; şi .5 ar trebui să fie specificată calibrarea debitmetrelor. Înregistrările privind calibrarea şi întreţinerea ar trebui să fie disponibile la bord; .3 metoda în care se utilizează monitorizarea tancului de combustibil de la bord: .1 pentru a determina consumul anual de combustibil vor fi însumate cantităţile zilnice de consum de combustibil lichid, măsurate prin citirea nivelului în tanc, care se efectuează prin metode adecvate, cum ar fi sistemele automatizate, sondele şi benzile de măsurare prin imersiune. Citirile tancului vor fi efectuate în mod normal zilnic când nava navighează pe mare şi de fiecare dată când nava efectuează operaţiuni de buncherare sau descărcare de combustibil; şi .2 rezumatul datelor de monitorizare care conţin înregistrări privind consumul de combustibil măsurat ar trebui să fie disponibil la bord. 7.2 Orice corecţii, de exemplu, pentru densitate, temperatură, dacă sunt aplicate, ar trebui să fie documentate2.2 De exemplu, ISO 8217 oferă o metodă pentru combustibilul lichid. Factorul de conversie CF 7.3 În cazul în care se utilizează combustibili care nu se încadrează în una dintre categoriile descrise în Liniile directoare din 2014 referitoare la metoda de calcul al indicelui nominal al randamentului energetic (EEDI) obţinut pentru nave noi [Rezoluţia MEPC.245(66), aşa cum a fost modificată] şi care nu au un factor CF alocat (de exemplu, unii „combustibili lichizi hibrizi"), furnizorul de combustibil lichid ar trebui să indice un factor CF pentru produsul respectiv, susţinut de dovezi documentare. Distanţa parcursă 7.4 Apendicele IX al anexei VI la MARPOL specifică faptul că distanţa parcursă trebuie să fie raportată către Administraţie şi: .1 distanţa parcursă deasupra fundului mării, în mile marine, ar trebui să fie înregistrată în jurnalul de bord în conformitate cu regula V/28.1 din SOLAS3;3 Distanţa parcursă măsurată utilizând datele prin satelit este distanţa parcursă deasupra fundului mării. .2 distanţa parcursă în timp ce nava este în marş cu ajutorul propulsiei proprii ar trebui să fie inclusă în datele agregate privind distanţa parcursă pentru anul calendaristic; şi .3 pot fi aplicate alte metode de măsurare a distanţei parcurse care sunt acceptate de Administraţie. În orice caz, metoda aplicată trebuie să fie descrisă în detaliu în Planul de colectare a datelor. Orele în care nava a făcut parcursul 7.5 Apendicele IX al anexei VI la MARPOL specifică faptul că orele în care nava a făcut parcursul trebuie raportate către Administraţie. Orele în care nava a făcut parcursul ar trebui să fie o durată totală în care nava navighează cu propulsie proprie. Calitatea datelor 7.6 Planul de colectare a datelor ar trebui să includă măsuri de control al calităţii datelor care ar trebui să fie integrate în sistemul existent de management al siguranţei la bord. Măsurile suplimentare care trebuie luate în considerare ar putea include: .1 procedura de identificare a lacunelor de date şi de corectare a acestora; şi .2 procedura de remediere a lacunelor de date, dacă lipsesc datele de monitorizare, de exemplu, în cazul defectării debitmetrului. Un format standardizat de raportare a datelor 7.7 Regula 22A.3 din anexa VI la MARPOL stabileşte că datele specificate în apendicele IX al anexei trebuie să fie comunicate electronic utilizând un formular standardizat elaborat de către Organizaţie. Datele colectate trebuie să fie raportate Administraţiei în formatul standardizat prezentat în apendicele 3. 8 MĂSURAREA DIRECTĂ A EMISIILOR DE CO2 8.1 Măsurarea directă a emisiilor de CO2 nu este cerută de regula 22A din anexa VI la MARPOL. 8.2 Măsurarea directă a emisiilor de CO2, dacă este utilizată, ar trebui efectuată după cum urmează: .1 această metodă se bazează pe determinarea debitului de emisii de CO2 în coşul de evacuare a gazelor arse, prin înmulţirea concentraţiei de CO2 din gazul de eşapament cu debitul gazelor de eşapament. În cazul absenţei şi/sau defectării echipamentelor directe de măsurare a emisiilor de CO2, vor fi efectuate în schimb citiri manuale ale tancurilor; .2 echipamentul direct de măsurare a emisiilor de CO2 utilizat pentru monitorizare este localizat foarte bine, astfel încât să se măsoare toate emisiile de CO2 de pe navă. Locaţiile tuturor echipamentelor utilizate sunt descrise în acest plan de monitorizare; şi .3 ar trebui să fie specificată calibrarea echipamentului de măsurare a emisiilor de CO2. Înregistrările privind calibrarea şi întreţinerea ar trebui să fie disponibile la bord. APENDICE 1 EXEMPLU DE MODEL PENTRU PLANUL DE MANAGEMENT AL RANDAMENTULUI ENERGETIC AL NAVEI (PARTEA I A SEEMP)
|
Numele navei: |
|
Tonajul brut: |
|
|
Tipul navei: |
|
Capacitate: |
|
|
Data elaborării: |
|
Elaborat de: |
|
|
Perioada de implementare: |
De la: Până la: |
Implementat de: |
|
|
Data planificată pentru următoarea evaluare: |
|
|
|
1 Măsuri
|
Măsuri în favoarea randamentului energetic |
Punerea în aplicare (inclusiv data de începere) |
Personalul responsabil |
|
Alegerea rutei după indicaţiile meteorologice |
<Exemplu> Contract semnat cu (prestatorul de serviciu) pentru utilizarea sistemului lui de alegere a rutei după indicaţiile meteorologice cu titlu de încercare, cu începere de la 1 iulie 2012 |
<Exemplu> Comandantul este responsabil cu alegerea rutei optime în funcţie de informaţiile furnizate de (prestatorul de serviciu). |
|
Optimizarea vitezei |
În timp ce viteza nominală (85% din puterea maximă continuă) este de 19,0 noduri, viteza maximă este stabilită la 17,0 noduri cu începere de la 1 iulie 2012. |
Comandantul este responsabil cu menţinerea vitezei navei. Datele consemnate în jurnalul de bord ar trebui să fie verificate în fiecare zi. |
2 Monitorizare Descrierea instrumentelor pentru monitorizare 3 Obiectiv Obiectivele măsurabile 4 Evaluare Proceduri de evaluare APENDICE 2 EXEMPLU DE MODEL PENTRU PLANUL DE COLECTARE A DATELOR PRIVIND CONSUMUL DE COMBUSTIBIL LICHID AL NAVEI (PARTEA A II-A SEEMP) 1 Caracteristicile navei
|
Numele navei |
|
|
Numărul OMI |
|
|
Compania |
|
|
Pavilionul |
|
|
Tipul navei |
|
|
Tonajul brut |
|
|
NT |
|
|
DWT |
|
|
EEDI (dacă este cazul) |
|
|
Clasa de gheaţă |
|
2 Jurnalul privind revizuirea Planului de colectare a datelor privind consumul de combustibil
|
Data revizuirii |
Dispoziţia revizuită |
|
|
|
|
|
|
|
|
|
3 Motoarele şi alţi consumatori de combustibil de la bordul navei şi tipurile de combustibil utilizate
|
Motoarele şi alţi consumatori de combustibil |
Puterea |
Tipurile de combustibil |
|
1 Tipul/modelul motorului principal |
(kW) |
|
|
2 Tipul/modelul motorului auxiliar |
(kW) |
|
|
3 Căldare |
(...) |
|
|
4 Generatorul de gaz inert |
(...) |
|
4 Factorul de emisie CF este un factor de conversie adimensional între consumul de combustibil şi emisia de CO2, care este prevăzut în Liniile directoare din 2014 referitoare la metoda de calcul al indicelui nominal al randamentului energetic (EEDI) obţinut pentru nave noi [Rezoluţia MEPC.245(66), aşa cum a fost modificată]. Cantitatea anuală totală de CO2 se calculează prin înmulţirea consumului anual de combustibil cu CF pentru tipul de combustibil.
|
Tipul combustibilului |
CF (t-CO2/t-combustibil) |
|
Diesel/motorină (de exemplu ISO 8217 clasele DMX la DMB) |
3,206 |
|
Combustibil lichid uşor (LFO) (de exemplu ISO 8217 clasele RMA la RMD) |
3,151 |
|
Combustibil lichid greu (HFO) (de exemplu ISO 8217 clasele RME la RMK) |
3,114 |
|
Gaz petrolier lichefiat (LPG) (Propan) |
3,000 |
|
Gaz petrolier lichefiat (LPG) (Butan) |
3,030 |
|
Gaz natural lichefiat (LNG) |
2,750 |
|
Metanol |
1,375 |
|
Etanol |
1,913 |
|
Altele (.........) |
|
5 Metoda de măsurare a consumului de combustibil Metoda aplicată pentru măsurarea în cazul prezentei nave este dată mai jos. Descrierea explică procedura de măsurare a datelor şi calcularea valorilor anuale, echipamentele de măsurare implicate etc.
6 Metoda pentru măsurarea distanţei parcurse
7 Metoda pentru măsurarea orelor în care nava a făcut parcursul
8 Procesele care vor fi utilizate pentru raportarea datelor către Administraţie
9 Calitatea datelor
APENDICE 3 MODELUL STANDARDIZAT DE RAPORTARE DE DATE PENTRU SISTEMUL DE COLECTARE A DATELOR
|
Metoda utilizată pentru măsurarea consumului de combustibil9 |
Consumul de combustibil (t) |
Ore în care nava a făcut parcursul (h) |
Distanţa parcursă (mm) |
Puterea de ieşire (puterea nominală) (kW)8 |
Clasa de gheaţă7 (dacă este cazul) |
EEDI (dacă este cazul)6 (gCO2/t.mm) |
DWT5 |
NT4 |
Tonajul brut3 |
Tipul navei2 |
Numărul OMI1 |
Data de încheiere (zz/ll/aaaa) |
Data de începere (zz/ll/aaaa) |
|
(Cf;.....) |
Alte tipuri (..........) |
Etanol (Cf: 1,913) |
Metanol (Cf: 1,375) |
LNG (Cf: 2,750) |
LPG (Butan) (Cf: 3,030) |
LPG (Propan) (Cf: 3,000) |
HFO (Cf: 3,114) |
LFO (Cf: 3,151) |
Diesel/motorină (Cf: 3,206) |
Motor (motoare) auxiliar(e) |
Puterea motorului principal de propulsie |
|
|
|
|
|
|
|
|
|
|
|
|
|
|
|
|
|
|
|
|
|
|
|
|
|
1 În conformitate cu Schema privind numărul de identificare OMI al navelor, adoptată de Organizaţie prin Rezoluţia A.1078(28). 2 Aşa cum este definit în regula 2 din anexa VI la MARPOL sau în altă sursă (a se preciza). 3 Tonajul brut ar trebui să fie calculat în conformitate cu Convenţia internaţională din 1969 asupra măsurării tonajului navelor. 4 NT ar trebui să fie calculat în conformitate cu Convenţia internaţională din 1969 asupra măsurării tonajului navelor. Dacă nu este cazul, se scrie „N/A". 5 DWT înseamnă diferenţa, exprimată în tone, dintre deplasamentul unei nave în apă cu densitatea relativă de 1,025 kg/m3 la pescajul liniei de încărcare de vară şi deplasamentul navei goale. Pescajul liniei de încărcare de vară ar trebui să fie considerat ca fiind pescajul de vară maxim care este indicat în manualul de stabilitate aprobat de către Administraţie sau de către o organizaţie recunoscută de către aceasta. 6 EEDI ar trebui calculat în conformitate cu Liniile directoare din 2014 referitoare la metoda de calcul al indicelui nominal al randamentului energetic (EEDI) obţinut pentru nave noi, adoptate prin Rezoluţia MEPC.245(66). Dacă nu este cazul, se scrie „N/A". 7 Clasa de gheaţă trebuie să fie în concordanţă cu definiţia stabilită în Codul internaţional pentru nave care operează în ape polare (Codul polar), adoptat prin rezoluţiile MEPC.264(68) şi MSC.385(94). Dacă nu este cazul, se scrie „N/A". 8 Puterea de ieşire (puterea nominală) a motoarelor principale şi auxiliare cu ardere internă, cu piston, peste 130 kW (se precizează în kW). Puterea nominală reprezintă puterea nominală maximă continuă specificată pe plăcuţa de identificare a motorului. 9 Metoda utilizată pentru măsurarea consumului de combustibil: 1: metoda care utilizează BDN-urile, 2: metoda care utilizează debitmetrele, 3: metoda care utilizează monitorizarea tancului de combustibil. ANEXA Nr. 3REZOLUŢIA MEPC.261(68) (adoptată la 15 mai 2015) Amendamente la liniile directoare din 2014 referitoare la inspecţia şi certificarea indicelui nominal al randamentului energetic (EEDI) [Rezoluţia MEPC.254(67)] Comitetul pentru protecţia mediului marin, amintind articolul 38(a) al Convenţiei privind crearea Organizaţiei Maritime Internaţionale referitor la funcţiile Comitetului pentru protecţia mediului marin conferite acestuia prin convenţiile internaţionale pentru prevenirea şi controlul poluării marine de la nave, amintind, de asemenea, că la cea de-a şaizeci şi doua sesiune a sa Comitetul a adoptat, prin Rezoluţia MEPC.203(62), Amendamente la anexa Protocolului din 1997 privind amendarea Convenţiei internaţionale din 1973 pentru prevenirea poluării de către nave, aşa cum a fost modificată prin Protocolul din 1978 referitor la aceasta (includerea regulilor referitoare la randamentul energetic al navelor în anexa VI la MARPOL), luând notă de faptul că amendamentele la anexa VI la MARPOL sus-menţionate au intrat în vigoare la 1 ianuarie 2013, luând notă, de asemenea, de faptul că regula 5 (Inspecţii) din anexa VI la MARPOL, astfel cum a fost amendată, cere ca navele cărora li se aplică prevederile capitolului 4 să fie, de asemenea, supuse inspecţiilor şi să obţină certificatele luând în considerare liniile directoare elaborate de către Organizaţie, luând notă, în continuare, de faptul că la cea de-a şaizeci şi treia sesiune a sa Comitetul a adoptat, prin Rezoluţia MEPC.214(63), Liniile directoare din 2012 referitoare la inspecţia şi certificarea indicelui nominal al randamentului energetic (EEDI), care ulterior au fost amendate la cea de-a şaizeci şi cincea sesiune a sa, prin Rezoluţia MEPC.234(65), luând notă, în continuare, de faptul că la cea de-a şaizeci şi şaptea sesiune a sa Comitetul a adoptat, prin Rezoluţia MEPC.254(67), Liniile directoare din 2014 referitoare la inspecţia şi certificarea indicelui nominal al randamentului energetic (EEDI), recunoscând că amendamentele la anexa VI la MARPOL impun adoptarea de linii directoare relevante pentru implementarea uşoară şi uniformă a regulilor şi pentru a oferi timp suficient industriei să se pregătească, luând în considerare, la cea de-a şaizeci şi opta sesiune a sa, proiectul amendamentelor la Liniile directoare din 2014 referitoare la inspecţia şi certificarea indicelui nominal al randamentului energetic (EEDI), 1 adoptă amendamentele la Liniile directoare din 2014 referitoare la inspecţia şi certificarea indicelui nominal al randamentului energetic (EEDI), al căror text este prezentat în anexa la prezenta rezoluţie; 2 invită administraţiile să ia în considerare amendamentele sus-menţionate atunci când elaborează şi adoptă actele normative naţionale care dau forţă şi pun în aplicare dispoziţiile stabilite în regula 5 din anexa VI la MARPOL, astfel cum a fost amendată; 3 acceptă ca standardul ISO 15016:2015 să fie aplicat navelor pentru care proba de mare se efectuează la 1 septembrie 2015 sau după această dată şi încurajează aplicarea standardului înainte de această dată; 4 solicită părţilor la anexa VI la MARPOL şi altor guverne membre să aducă amendamentele în atenţia proprietarilor, operatorilor, constructorilor şi proiectanţilor de nave, precum şi oricăror altor grupuri interesate; 5 este de acord să ţină aceste linii directoare, aşa cum au fost amendate, sub observaţie în lumina experienţei acumulate prin aplicarea lor. ANEXĂla Rezoluţia MEPC.261(68) Amendamente la Liniile directoare din 2014 referitoare la inspecţia şi certificarea indicelui nominal al randamentului energetic (EEDI) [Rezoluţia MEPC.254(67)] 1 Paragrafele 4.3.5 şi 4.3.6 se înlocuiesc cu următoarele: 4.3.5 Condiţiile pentru probele de mare ar trebui să fie determinate în conformitate cu Procedura recomandată 7.5-04-01-01.1 a ITTC, intitulată: Încercări de viteză şi de putere, Partea 1, 2014, sau cu standardul ISO 15016:2015. 4.3.6 Viteza navei ar trebui să fie măsurată în conformitate cu Procedura recomandată 7.5-04-01-01.1 a ITTC, intitulată: Încercări de viteză şi de putere, Partea 1, 2014, sau cu standardul ISO 15016:2015 şi la mai mult de două puncte al căror interval include puterea motorului principal aşa cum este specificat în paragraful 2.5 al Liniilor directoare referitoare la calculul EEDI. 2 Paragrafele 4.3.8 şi 4.3.9 se înlocuiesc cu următoarele: 4.3.8 Deponentul ar trebui să stabilească curbele de putere pe baza vitezei măsurate a navei şi a puterii de ieşire măsurate a motorului principal în cadrul probelor de mare. Pentru elaborarea curbelor de putere, deponentul ar trebui să etaloneze viteza măsurată a navei, dacă este necesar, ţinând cont de efectele vântului, curentului, hulei, apei puţin adânci, deplasamentului, temperaturii apei şi densităţii apei, în conformitate cu Procedura recomandată 7.5-04-01-01.2 a ITTC, intitulată: Încercări de viteză şi de putere, Partea 2, 2014, sau cu standardul ISO 15016:2015. Cu acordul proprietarului navei, deponentul ar trebui să prezinte verificatorului un raport privind încercările de viteză, inclusiv detalii privind elaborarea curbei de putere, pentru a fi verificate. 4.3.9 Deponentul ar trebui să compare curbele de putere stabilite după probele de mare cu curbele de putere estimate în stadiul de proiectare. Dacă sunt constatate diferenţe, ar trebui să se recalculeze EEDI obţinut, dacă este necesar, în conformitate cu următoarele indicaţii: .1 pentru navele pentru care proba de mare este efectuată în conformitate cu condiţia specificată în paragraful 2.2 al Liniilor directoare referitoare la calculul EEDI: EEDI obţinut ar trebui să fie recalculat folosind viteza navei măsurată în timpul probelor de mare la puterea motorului principal astfel cum este specificat în paragraful 2.5 al Liniilor directoare referitoare la calculul EEDI; şi .2 pentru navele pentru care proba de mare nu poate fi efectuată în conformitate cu condiţia specificată în paragraful 2.2 al Liniilor directoare referitoare la calculul EEDI: dacă viteza navei măsurată la puterea motorului principal, astfel cum este specificată în paragraful 2.5 al Liniilor directoare referitoare la calculul EEDI în condiţiile probei de mare, este diferită faţă de viteza navei estimată conform curbei de putere în condiţii corespondente, atunci constructorul navei ar trebui să recalculeze EEDI obţinut prin ajustarea vitezei navei în condiţia indicată la paragraful 2.2 al Liniilor directoare referitoare la calculul EEDI, printr-o metodă de corecţie adecvată, care este agreată de către verificator. Un exemplu de plan de conversie de la condiţia de efectuare a probei la condiţia indicelui EEDI la puterea corespunzând lui EEDI este prezentat după cum urmează: Valoarea Vref se obţine pornind de la rezultatele probelor de mare la condiţia de efectuare a probei, utilizând curbele viteză-putere prezise de probele în bazin. Probele în bazin trebuie efectuate pentru cele două pescaje: condiţia de efectuare a probei corespunzând aceleia a probelor de viteză şi de putere şi condiţia indicelui EEDI. Pentru condiţiile de efectuare a probei, raportul de putere αP între predicţia probei pe model şi rezultatul probei de mare este calculat pentru o viteză a navei constantă. Vref este viteza navei din predicţia probei pe model pentru condiţia indicelui EEDI la puterea corespunzând lui EEDI multiplicată cu αP.
unde: PTrial,P: puterea în condiţia de efectuare a probei prezisă de probele în bazin PTrial,S: puterea în condiţia de efectuare a probei obţinută de probele de viteză şi de putere αP: raportul de putere Fig. 2 arată un exemplu de sistem de conversie ce permite obţinerea vitezei navei în condiţia de efectuare a probei (Vref ) la puterea corespunzând indicelui EEDI.
Figura 2 - Exemplu de plan de conversie de la condiţia de efectuare a probei la condiţia indicelui EEDI la puterea corespunzând lui EEDI NOTĂ: AR FI NECESARĂ EXAMINAREA ÎN CONTINUARE A METODOLOGIEI DE AJUSTARE A VITEZEI MENŢIONATE ÎN PARAGRAFUL 4.3.9.2 DIN PREZENTELE LINII DIRECTOARE. UNA DINTRE PREOCUPĂRI SE REFERĂ LA O SITUAŢIE POSIBILĂ ÎN CARE CURBA DE PUTERE PENTRU CONDIŢIA PROBEI DE MARE ESTE ESTIMATĂ ÎNTR-O MANIERĂ EXCESIV DE PRUDENTĂ (DE EXEMPLU, CURBA PUTERII ESTE DEPLASATĂ ÎNSPRE STÂNGA) CU INTENŢIA DE A DA O AJUSTARE CRESCĂTOARE A VITEZEI NAVEI, FĂCÂND CA VITEZA MĂSURATĂ A NAVEI ÎN TIMPUL PROBEI DE MARE SĂ DEPĂŞEASCĂ UŞOR VITEZA SUBESTIMATĂ PENTRU CONDIŢIA PROBEI DE MARE, LA STADIUL DE PROIECTARE. ANEXA Nr. 4REZOLUŢIA MEPC.262(68) (adoptată la 15 mai 2015) Amendamente la Liniile directoare interimare din 2013 pentru determinarea puterii minime de propulsie pentru menţinerea manevrabilităţii navelor în condiţii nefavorabile [Rezoluţia MEPC.232(65), aşa cum a fost amendată prin Rezoluţia MEPC.255(67)] Comitetul pentru protecţia mediului marin, amintind articolul 38(a) al Convenţiei privind crearea Organizaţiei Maritime Internaţionale referitor la funcţiile Comitetului pentru protecţia mediului marin conferite acestuia prin convenţiile internaţionale pentru prevenirea şi controlul poluării marine de la nave, amintind, de asemenea, că la cea de-a şaizeci şi doua sesiune a sa Comitetul a adoptat, prin Rezoluţia MEPC.203(62), Amendamente la anexa Protocolului din 1997 privind amendarea Convenţiei internaţionale din 1973 pentru prevenirea poluării de către nave, aşa cum a fost modificată prin Protocolul din 1978 referitor la aceasta (includerea regulilor referitoare la randamentul energetic al navelor în anexa VI la MARPOL), luând notă de faptul că amendamentele la anexa VI la MARPOL sus-menţionate au intrat în vigoare la 1 ianuarie 2013, luând notă, de asemenea, de faptul că regula 21.5 din anexa VI la MARPOL, aşa cum a fost amendată, prevede că puterea de propulsie instalată nu trebuie să fie mai mică decât puterea de propulsie necesară pentru menţinerea manevrabilităţii navei în condiţii nefavorabile, aşa cum sunt ele definite în liniile directoare care urmează să fie elaborate de către Organizaţie, luând notă, în continuare, de faptul că la cea de-a şaizeci şi cincea sesiune a sa Comitetul a adoptat, prin Rezoluţia MEPC.232(65), Liniile directoare interimare din 2013 pentru determinarea puterii minime de propulsie pentru menţinerea manevrabilităţii navelor în condiţii nefavorabile (liniile directoare interimare) şi, la cea de-a şaizeci şi şaptea sesiune a sa, prin Rezoluţia MEPC.255(67), amendamente referitoare la acestea, recunoscând că amendamentele la anexa VI la MARPOL impun adoptarea de linii directoare relevante pentru implementarea uşoară şi uniformă a regulilor şi pentru a oferi timp suficient industriei să se pregătească, luând în considerare, la cea de-a şaizeci şi opta sesiune a sa, propunerile de amendamente la liniile directoare interimare, 1 adoptă amendamentele la Liniile directoare interimare din 2013 pentru determinarea puterii minime de propulsie pentru menţinerea manevrabilităţii navelor în condiţii nefavorabile, aşa cum au fost amendate, al căror text este prezentat în anexa la prezenta rezoluţie; 2 invită administraţiile să ia în considerare amendamentele sus-menţionate atunci când elaborează şi adoptă actele normative naţionale care dau forţă şi pun în aplicare dispoziţiile stabilite în regula 21.5 din anexa VI la MARPOL, astfel cum a fost amendată; 3 solicită părţilor la anexa VI la MARPOL şi altor guverne membre să aducă amendamentele în atenţia proprietarilor, operatorilor, constructorilor şi proiectanţilor de nave, precum şi oricăror altor grupuri interesate; 4 este de acord să ţină aceste linii directoare, aşa cum au fost amendate, sub observaţie în lumina experienţei acumulate prin aplicarea lor. ANEXĂla Rezoluţia MEPC.262(68) Amendamente la Liniile directoare interimare din 2013 pentru determinarea puterii minime de propulsie pentru menţinerea manevrabilităţii navelor în condiţii nefavorabile [Rezoluţia MEPC.232(65), aşa cum a fost amendată prin Rezoluţia MEPC.255(67)] Apendice - Proceduri de evaluare pentru menţinerea manevrabilităţii în condiţii nefavorabile, aplicabile în faza 0 şi faza 1 a punerii în aplicare a EEDI Tabelul 1 de la paragraful 2 se înlocuieşte după cum urmează: Tabelul 1: Parametrii a şi b pentru determinarea valorilor liniei de putere minimă pentru diferite tipuri de nave
|
Tipul navei |
a |
b |
|
Vrachier al cărui DWT este mai mic de 145.000 |
0,0763 |
3374,3 |
|
Vrachier al cărui DWT este 145.000 şi mai mare |
0,0490 |
7329,0 |
|
Navă-cisternă |
0,0652 |
5960,2 |
|
Transportor mixt |
a se vedea nava-cisternă de mai sus |