HOTARARE Nr.
16 din 19 mai 2009
pentru aprobarea Normei nr.
12/2009 privind transferul participantilor între fondurile de pensii
administrate privat
ACT EMIS DE:
COMISIA DE SUPRAVEGHERE A SISTEMULUI DE PENSII PRIVATE
ACT PUBLICAT IN:
MONITORUL OFICIAL NR. 375 din 3 iunie 2009
Având în vedere prevederile art. 41 lit. b) din Legea
nr. 411/2004 privind fondurile de pensii administrate privat, republicată, cu
modificările şi completările ulterioare,
în baza hotărârii luate în şedinţa Consiliului Comisiei
de Supraveghere a Sistemului de Pensii Private din data de 19 mai 2009,
în temeiul dispoziţiilor art. 16 şi art. 23 lit. f) din
Ordonanţa de urgenţă a Guvernului nr. 50/2005 privind înfiinţarea, organizarea
şi funcţionarea Comisiei de Supraveghere a Sistemului de Pensii Private,
aprobată cu modificări şi completări prin Legea nr. 313/2005,
Comisia de Supraveghere a Sistemului de Pensii
Private emite următoarea hotărâre:
Art. 1. - Se aprobă Norma nr. 12/2009 privind
transferul participanţilor între fondurile de pensii administrate privat,
prevăzută în anexa care face parte integrantă din prezenta hotărâre.
Art. 2. - Prezenta hotărâre se publică în Monitorul
Oficial al României, Partea I, şi pe site-ul Comisiei de Supraveghere a
Sistemului de Pensii Private (www.csspp.ro).
Art. 3. - Direcţia secretariat, directorul general şi
Direcţia reglementare vor urmări ducerea la îndeplinire a prevederilor
prezentei hotărâri.
Preşedintele Comisiei de Supraveghere a Sistemului de
Pensii Private,
Mircea Oancea
ANEXA
NORMA Nr. 12/2009
privind transferul participanţilor între fondurile
de pensii administrate privat
Având în vedere prevederile art. 41 lit. b) din Legea
nr. 411/2004 privind fondurile de pensii administrate privat, republicată, cu
modificările şi completările ulterioare,
în temeiul dispoziţiilor art. 16 şi art. 23 lit. f) din
Ordonanţa de urgenţă a Guvernului nr. 50/2005 privind înfiinţarea, organizarea
şi funcţionarea Comisiei de Supraveghere a Sistemului de Pensii Private,
aprobată cu modificări şi completări prin Legea nr. 313/2005,
Comisia de Supraveghere a Sistemului de Pensii Private,
denumită în continuare Comisie, emite prezenta normă.
CAPITOLUL I
Dispoziţii generale
Art. 1. - Prezenta normă reglementează procedura care
trebuie îndeplinită de către administratorii de fonduri de pensii administrate
privat şi de către participantul la un fond de pensii administrat privat în
vederea realizării transferului activului său personal de la un fond de pensii
administrat privat la un alt fond de pensii administrat privat.
Art. 2. - (1) Termenii şi expresiile utilizate în
prezenta normă au semnificaţia prevăzută la art. 2 din Legea nr. 411/2004
privind fondurile de pensii administrate privat, republicată, cu modificările
şi completările ulterioare, denumită în continuare Lege.
(2) In înţelesul prezentei norme, prin notificare se
înţelege documentul prin care participantul înştiinţează administratorul
fondului de pensii administrat privat al cărui participant este cu privire la
transferul său la un alt fond de pensii administrat privat.
Art. 3. - (1) Transferul participantului între fonduri
de pensii administrate privat este o opţiune individuală a acestuia şi se
realizează cu îndeplinirea procedurii de transfer prevăzute la art. 39 şi 40
din Lege şi de prezenta normă.
(2) Până la plata primei contribuţii la un fond de
pensii administrat privat, persoanei care a aderat sau care a fost repartizată
aleatoriu de către Casa Naţională de Pensii şi Alte Drepturi de Asigurări
Sociale (CNPAS) la un fond de pensii administrat privat îi este interzis
să solicite transferul la un alt fond de pensii administrat privat.
CAPITOLUL II
Transferul participanţilor între fonduri de pensii administrate privat
Art. 4. - (1) Obţinerea acordului de aderare la
un fond de pensii administrat privat în vederea transferului de la un alt fond
de pensii administrat privat se face exclusiv de administratorul fondului la
care participantul doreşte să se transfere.
(2) Este interzisă implicarea agenţilor de marketing,
aşa cum sunt definiţi prin Norma nr. 25/2007 privind marketingul fondului de
pensii administrat privat, aprobată prin Hotărârea Comisiei de Supraveghere a
Sistemului de Pensii Private nr. 56/2007, cu modificările şi completările
ulterioare, în operaţiunile de transfer.
Art. 5. - (1) Un participant se poate transfera de la
un fond de pensii administrat privat la un alt fond de pensii administrat
privat dacă îndeplineşte cumulativ următoarele condiţii:
a) a semnat actul individual de aderare la fondul de
pensii administrat privat la care doreşte să se transfere, marcând opţiunea
referitoare la transfer;
b) a notificat administratorul de la care se transferă,
conform modelului prevăzut în anexa nr. 1, în termenul prevăzut la art. 39
alin. (1) din Lege.
(2) Administratorul fondului de pensii administrat
privat la care doreşte să se transfere participantul pune la dispoziţia
solicitantului formularul de act individual de aderare şi formularul de
notificare conform anexei nr. 1.
(3) Formularul de notificare poate fi procurat de
participant şi prin descărcarea acestui document de pe pagina de internet a
Comisiei (www.csspp.ro).
(4) Notificarea va fi întocmită în două exemplare
originale, din care:
a) un exemplar va fi păstrat de către participant;
b) un exemplar va fi transmis administratorului
fondului de la care participantul doreşte să se transfere.
(5) După semnarea actului individual de aderare la
fondul la care doreşte să se transfere, participantul transmite notificarea la
administratorul fondului de pensii administrat privat de la care doreşte să se
transfere, la care anexează o copie a actului individual de aderare prevăzut la
alin. (1) lit. a) şi o copie a actului de identitate valabil la data depunerii
documentaţiei, cu semnătura în original, pe aceeaşi pagină cu imaginea
reprodusă prin copiere.
(6) In cazul în care documentaţia prevăzută la alin.
(5) nu este întocmită în conformitate cu prezenta normă sau nu se poate
identifica participantul în baza de date, administratorul solicită
participantului completarea acesteia.
(7) Dacă documentaţia necesită completări care nu mai
permit procesarea acestora în termenul prevăzut de art. 39 din Lege,
notificarea se soluţionează la următorul termen de depunere a documentaţiei.
(8) In cazul în care documentaţia completă nu este
depusă până la data de 15 inclusiv a lunii în curs, termenul va fi prelungit
până la data de 15 a lunii următoare.
(9) Depunerea documentaţiei prevăzute la alin. (1) la
administratorul de la care se solicită transferul se face oricând până la data
de 15 inclusiv a lunii anterioare fiecărei luni stabilite conform prevederilor
art. 6.
Art. 6. - Informaţiile privind transferul
participanţilor de la un fond de pensii administrat privat la un alt fond de
pensii administrat privat sunt procesate şi validate lunar de către CNPAS, cu
respectarea procedurii prevăzute în prezenta normă.
Art. 7. - (1) Pe data de întâi a fiecărei luni,
administratorul fondului la care participantul doreşte să se transfere
transmite către Comisie, pentru fiecare participant care a solicitat
transferul, pe suport electronic, sub semnătură electronică extinsă, câte un
fişier care conţine imaginea scanată a documentului prevăzut la art. 5 alin. (1)
lit. a).
(2) Imaginea scanată a documentelor prevăzute la alin.
(1) este memorată în fişiere de tip TIF, denumite în formatul „xxx CNP",
unde xxx reprezintă seria unică alocată de Comisie administratorului la
momentul alocării seriilor şi numerelor cu care urmează a fi marcate actele
individuale de aderare, iar CNP reprezintă codul numeric personal al persoanei
ale cărei documente sunt înregistrate în fişier.
Art. 8. - (1) Pe data de întâi a fiecărei luni,
administratorul fondului de la care participantul doreşte să se transfere
transmite către CNPAS şi Comisie un raport pe suport electronic, sub semnătură
electronică extinsă.
(2) Raportul prevăzut la alin. (1) cuprinde datele
aferente tuturor participanţilor ale căror notificări şi acte individuale de
aderare au fost înregistrate până la data prevăzută la art. 5 alin. (9) şi
conţine următoarele informaţii:
a) numele şi prenumele persoanelor care au semnat un
nou act individual de aderare;
b) codul numeric personal al acestora;
c) seria şi numărul actului de identitate;
d) seria şi numărul unic ale noului act individual de
aderare;
e) data semnării noului act individual de aderare;
f) codul de înregistrare a noului administrator în
registrul Comisiei;
g) codul de înregistrare a noului fond de pensii
administrat privat în registrul Comisiei;
h) opţiunea de transfer;
i) seria şi numărul unic ale actului individual de
aderare cu care participantul era înregistrat în evidenţele fondului de la care
acesta se transferă.
(3) Informaţiile transmise către CNPAS şi Comisie vor
fi corecte, complete şi la termenele prevăzute de prezenta normă.
Art. 9. - (1) CNPAS procesează şi validează
informaţiile aferente noului act de aderare, înregistrează transferul
participantului către noul fond de pensii administrat privat şi actualizează
Registrul participanţilor pe baza raportului prevăzut la art. 8.
(2) In cazul în care nu sunt îndeplinite condiţiile
prevăzute la art. 8 alin. (3), CNPAS procedează la invalidarea înregistrărilor
eronate.
(3) In data de 10 a fiecărei luni, CNPAS comunică
administratorului de la care s-a solicitat transferul, administratorului la
care s-a solicitat transferul, precum şi Comisiei rezultatul procedurii de
validare.
(4) Pe baza rezultatului procedurii de validare,
administratorul fondului de la care se solicită transferul procedează la
virarea disponibilităţilor băneşti doar pentru participanţii al căror transfer
a fost validat.
Art. 10. - (1) Disponibilităţile băneşti transferate
reprezintă contravaloarea activului personal net al participantului care nu
poate fi mai mică decât valoarea garantată de lege, şi anume suma
contribuţiilor virate în numele acestuia de la momentul dobândirii calităţii de
participant la un fond pentru prima dată, diminuată cu comisioanele legale şi
penalităţile de transfer, după caz.
(2) Transferul disponibilităţilor băneşti
reprezentând contravaloarea activului personal net al participantului se face
din contul fondului de la care se transferă în contul fondului la care se
transferă participantul.
(3) In cazul în care contravaloarea activului personal
al participantului care se transferă este mai mică decât valoarea garantată,
diferenţa se acoperă din provizionul tehnic constituit de administratorul de la
care se transferă participantul.
(4) Pentru determinarea valorii garantate prevăzute
la alin. (1) şi (3) se va folosi formula prevăzută în anexa nr. 2.
(5) Transferul sumelor prevăzute la alin. (3) se face
din contul administratorului fondului de la care se transferă în contul
fondului la care se transferă, în aceeaşi zi în care se efectuează transferul
prevăzut la alin. (2).
(6) Transferul disponibilităţilor băneşti se efectuează
în data de 15 a lunii.
(7) Cuantumul disponibilităţilor băneşti transferate
se calculează având la bază valoarea unitară a activului net calculată şi
raportată de administrator şi de depozitar în data de 14 a lunii curente, iar
anularea unităţilor de fond aferente transferului disponibilităţilor băneşti
ale participantului se efectuează la aceeaşi dată.
(8) Administratorul fondului de pensii administrat
privat de la care se transferă participantul suportă comisioanele bancare
aferente transferului de disponibilităţi băneşti ale participantului.
Art. 11. - In termen de 5 zile calendaristice de la
data efectuării transferului disponibilităţilor băneşti, administratorul
fondului de pensii de la care se transferă participantul transmite către noul
administrator, pe suport hârtie, prin servicii poştale, şi în format
electronic, următoarele informaţii, valabile la data efectuării transferului:
a) informaţii despre contribuţiile participantului;
b) informaţii despre transferurile de disponibilităţi
efectuate în numele său;
c) informaţii despre contribuţiile participantului la
fondurile de pensii al căror participant a fost anterior, după caz;
d) istoricul operaţiunilor efectuate pentru participant
până la data transferului;
e) valoarea penalităţii de transfer, după caz;
f) valoarea disponibilităţilor băneşti transferate.
Art. 12. -In termen de 15 zile calendaristice de la
data efectuării transferului disponibilităţilor băneşti, noul administrator
transmite participantului prin serviciile poştale, pe suport hârtie, informarea
privind rezultatul procedurii de validare a transferului şi situaţia valorii
disponibilităţilor băneşti transferate, prevăzute la art. 11.
CAPITOLUL III
Penalitatea de transfer
Art. 13. - (1) Cuantumul penalităţii de transfer
se determină ca procent aplicat valorii de numerar ce urmează a fi transferată
în numele participantului, stabilită conform anexei nr. 3.
(2) Penalitatea de transfer se aplică conform
prospectului schemei de pensii autorizat de Comisie şi este de maximum 5%.
(3) Penalitatea de transfer este reţinută de către
administratorul fondului de la care se solicită transferul, din activul
personal net al participantului care solicită transferul mai devreme de 2 ani
de la data semnării actului individual de aderare la un fond de pensii
administrat privat sau de la data repartizării aleatorii.
Art. 14. - Penalitatea de transfer nu se aplică:
a) participanţilor care solicită transferul ca urmare
a modificării prospectului schemei de pensii, dacă solicitarea este făcută în
termen de două luni de la autorizarea modificării prospectului;
b) participanţilor care au fost angajaţi în misiuni
peste hotare ordonate de statul român şi care au făcut obiectul repartizării
aleatorii ca urmare a imposibilităţii de a adera la un fond de pensii
administrat privat în termenul prevăzut de lege şi de normele Comisiei. Dovada
o reprezintă adeverinţa eliberată în acest scop de către angajator;
c) participanţilor aflaţi în alte situaţii prevăzute în
actele emise de Comisie.
CAPITOLUL IV
Dispoziţii finale
Art. 15. - (1) In vederea procesării şi validării
transferului de către CNPAS, administratorul de la care se solicită transferul
va transmite în cadrul aceleiaşi raportări o singură solicitare de transfer
care vizează acelaşi participant.
(2) In perioada de transfer, cuprinsă între două
procesări consecutive, un participant la un fond de pensii administrat privat
va semna un singur act individual de aderare şi o singură notificare aferentă
acestuia.
(3) In cazul în care un participant transmite către
fonduri de pensii administrate privat diferite mai multe notificări de
transfer, în cadrul aceleiaşi perioade prevăzute la art. 5 alin. (9),
administratorul fondului de la care se solicită transferul înregistrează toate
notificările primite şi procesează numai prima notificare primită şi înregistrată.
(4) In situaţia prevăzută la alin. (3), administratorul
de la care s-a solicitat transferul va informa participantul care a transmis
mai multe notificări de transfer, cu privire la procesarea numai a primei
notificări de transfer primite şi înregistrate.
Art. 16. - CNPAS virează contribuţiile în contul
colector deschis la depozitarul fondului de pensii la care figurează
participantul la momentul efectuării viramentului.
Art. 17. - Termenele prevăzute de prezenta normă, care
expiră într-o zi de sărbătoare legală sau într-o zi nelucrătoare, se vor
prelungi până la sfârşitul următoarei zile lucrătoare.
Art. 18. - Nerespectarea dispoziţiilor cuprinse în
prezenta normă se sancţionează în conformitate cu prevederile legislaţiei în
vigoare, respectiv art. 140 alin. (1), art. 141 alin. (1) lit. g) şi alin. (2),
(3), (4), (5), (6), (7), (8), (9), (10) şi (11) din Lege.
Art. 19. -Anexele nr. 1-3 fac parte integrantă din
prezenta normă.
Art. 20. - Prezenta normă se aplică începând cu data de
1 iulie 2009.
Art. 21. - La data intrării în vigoare a prezentei
norme se abrogă Norma nr. 3/2008 privind transferul participanţilor între
fondurile de pensii administrate privat, publicată în Monitorul Oficial al
României, Partea I, nr. 66 din 29 ianuarie 2008, aprobată prin Hotărârea
Comisiei de Supraveghere a Sistemului de Pensii Private nr. 4/2008, precum şi
orice alte dispoziţii contrare.
ANEXA Nr. 1 la normă
NOTIFICARE
Subsemnatul(numele şi
prenumele),..........................................................................................................................................................,
posesor al BI/CI/paşaportului
seria..........nr........................................................,
eliberat/eliberată de....................................................................
la data
de..................................................................................................,
CNP.................................................................................................,
adresa de domiciliu..........................................................................................................................,
adresa de
corespondenţă..................................................................................................................,
număr de telefon........................................................,
adresa de
e-mail..................................................................................................................................,
având calitatea de participant la Fondul de pensii
administrat
privat.............................................................................................................
........................................................................................................................................................................ .......................................
administrat
de........................................................................................................................................................................ .................,
solicit transferul meu şi al disponibilităţilor mele
băneşti, calculate în conformitate cu dispoziţiile legale, către
Fondul de pensii administrat
privat............................................................................................................................................................,
administrat
de........................................................................................................................................................................ ...................
Am luat cunoştinţă de prevederile Legii nr. 411/2004
privind fondurile de pensii administrate privat, republicată, cu modificările
şi completările ulterioare, şi ale normelor emise de către Comisia de Supraveghere
a Sistemului de Pensii Private, potrivit cărora în cazul transferului la un alt
fond de pensii, mai devreme de 2 ani de la data aderării, se va aplica o
penalitate de transfer de maximum 5% asupra activului personal net care se va
transfera, conform prospectului schemei de pensii al fondului.
Anexat vă transmit următoarele:
1. copie de pe actul individual de aderare
seria.............nr.........din data de.....................;
2. copie de pe actul de identitate BI/CI
seria.............nr.................., valabil la data semnării prezentei
notificări, semnată în original pentru conformitate.
Data
........................................................................
Participant,
........................................................................
(numele şi prenumele)
........................................................................
(semnătura)
ANEXA Nr. 2 la normă
FORMULA DE CALCUL PENTRU VALOAREA GARANTATĂ

unde:
- GT(0) - valoarea garantată
calculată de administratorul anterior (diminuată cu penalitatea de transfer,
după caz), la momentul transferului participantului la noul fond. In cazul în
care nu au existat transferuri, GT(0) şi E(0) sunt egale
cu zero;
- C(h) - contribuţia lunară brută;
- e(h) - cuantumul comisionului
perceput din contribuţie, prevăzut în prospect;
- E(h) - valoarea taxei de audit,
repartizată pe participant, pe perioada cuprinsă între investirea a două
contribuţii consecutive;
- E(0) - valoarea taxei de audit,
repartizată pe participant, pe perioada cuprinsă între momentul transferului şi
cel al investirii primei contribuţii primite de respectivul participant la noul
fond;
- r c(j) - rata cheltuielilor cu
comisioanele din activ, pe perioada cuprinsă între momentul investirii a două
contribuţii consecutive;
- rc(0) - rata cheltuielilor cu
comisioanele din activ, pe perioada cuprinsă între momentul investirii sumei
provenite prin transfer şi cel al investirii primei contribuţii primite de
respectivul participant la noul fond.
1. Determinarea valorii taxei de audit, repartizată
pe participant, pe perioada cuprinsă între investirea a două contribuţii
consecutive:

unde:
- coef(h) - coeficientul pentru luna
h;
- coef(h+1) - coeficientul pentru
luna h+1;
- taxa_lunara_audit - taxa de audit anuală,
prevăzută în prospect pe perioada pentru care se calculează repartizarea
acestei taxe, împărţită la 12;
- nr_uf_participant(h) - numărul de
unităţi de fond existent în contul participantului în luna h, după investirea
contribuţiei aferente lunii h;
- nr_total_uf(h) - numărul total de
unităţi la nivelul fondului după investirea contribuţiilor aferente lunii h.
2. Determinarea valorii taxei de audit, repartizată
pe participant, pe perioada cuprinsă între momentul transferului şi cel al
investirii primei contribuţii primite de respectivul participant la noul fond:

unde:
- coef(0) - coeficientul pentru luna
0 (luna în care se investeşte suma provenită prin transfer de la vechiul fond);
- taxa_lunara_audit - taxa de audit anuală,
prevăzută în prospect pe perioada pentru care se calculează repartizarea
acestei taxe, împărţită la 12;
- nr_uf_participant(0) - numărul de
unităţi de fond existent în contul participantului în luna 0, după investirea
sumei provenite prin transfer aferente lunii 0;
- nr_total_uf(0) - numărul total de
unităţi la nivelul fondului după investirea sumelor provenite prin transfer,
aferente lunii 0. 3. Determinarea ratei cheltuielilor cu comisioanele din
activ, pe perioada cuprinsă între momentul investirii a două contribuţii
consecutive:

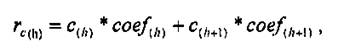
unde:
- c(h)= cuantumul comisionului lunar
perceput din activ pentru luna h;
- c(h+1)= cuantumul comisionului
lunar perceput din activ pentru luna h+1;
- coef(h) - coeficientul pentru luna
h;
- coef(h+1)= coeficientul pentru luna
h+1.
4. Determinarea ratei cheltuielilor cu comisioanele
din activ, pe perioada cuprinsă între momentul investirii sumei provenite prin
transfer şi cel al investirii primei contribuţii primite la noul fond:

unde:
- C(0) - cuantumul comisionului lunar
perceput pentru luna 0 (luna în care se investeşte suma provenită prin transfer
de la vechiul fond GT(0);
- coef(0)= coeficientul pentru luna
0.
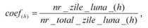
5. Determinarea coeficientului pentru luna h:

unde:
- nr_zile_luna_(h) - numărul de zile ale lunii
de plată a contribuţiei C(h), cuprinse între data investirii
contribuţiei C(h) şi sfârşitul lunii;
- nr_total_zile_luna_(h) - numărul total de zile
ale lunii de plată a contribuţiei C(h).
6. Determinarea coeficientului pentru luna h+1:

unde:
- nr_zile_luna_(h+1) - numărul de zile ale lunii
de plată a contribuţiei C(h+1), cuprinse între începutul
lunii şi data investirii contribuţiei C(h+1) (respectiv data
transferului către alt fond, pentru luna în care se efectuează transferul);
- nr_total_zile_luna_(h+1) - numărul total de
zile ale lunii de plată a contribuţiei C(h+1).
7. Determinarea coeficientului pentru luna 0:
nr_ zile_luna_(0)
coef (0)_____________________;
nr _ total _ zile _ luna _(0)
unde:
- nr_zile_luna_(0) - numărul de zile cuprinse
intre momentul investirii sumei GT(o) şi momentul investirii
primei contribuţii (momentul plăţii sumei, în cazul în care acest eveniment
apare primul) primite la noul fond;
- nr_total_zile_luna_(0)= numărul total de zile
ale lunilor din intervalul situat Între momentul investirii sumei provenite
prin transfer GT (o) şi momentul investirii primei
contribuţii (momentul plăţii sumei, în cazul în care acest eveniment apare
primul).
NOTE:
1. Comisioanele folosite în determinarea valorii
garantate G (t) sunt cele prevăzute de prospect. In cazul în care
prospectul prevede suportarea cheltuielilor aflate în sarcina fondului de către
administrator, aceste deduceri vor fi eliminate din formula de calcul a valorii
garantate pentru perioada de valabilitate a prevederii respective.
2. Pentru determinarea momentului investirii se va
aproxima prin adunarea a două zile datei de transmitere a sumelor (contribuţii,
active personale provenite prin transfer).
ANEXA Nr. 3 la normă
FORMULA DE CALCUL PENTRU VALOAREA
TRANSFERATĂ NETĂ
Penalitatea de transfer se aplică valorii de numerar ce
urmează a fi transferată în numele participantului. Valoarea ce urmează a fi
transferată reprezintă, pentru orice participant, maximul dintre valoarea
efectivă a contului S (t) (activul personal) şi valoarea garantată G
(t). Prin diminuarea valorii ce urmează a fi transferată cu
penalitatea de transfer se va obţine valoarea transferată netă:
Valoare transferată netă = max (S(t), G(t)
* (1 - penalitate transfer %)
Cazul I: Valoarea
activului personal este mai mare decât valoarea garantată S(t) >
G (t).
In acest caz, penalitatea de transfer se va aplica la
valoarea activului personal S (t).
Valoare transferată netă = S (t) * (1 -
penalitate transfer %)
Cazul II: Valoarea
activului personal este mai mică decât valoarea garantată S (t) <
G (t).
In acest caz, penalitatea de transfer se va aplica la
valoarea garantată G(t). Valoarea garantată va reprezenta
suma dintre valoarea activului personal S (t) şi o diferenţă D
suportată din provizion până la concurenţa cu valoarea garantată:
G(t) - S(t) + D
In această situaţie, penalitatea de transfer se va
aplica separat pentru fiecare componentă a valorii garantate G(t).
Astfel, penalitatea de transfer va fi percepută după cum urmează:
Valoare transferată netă = S(t) * (1
- penalitate transfer %) + D * (1 - penalitate transfer %)