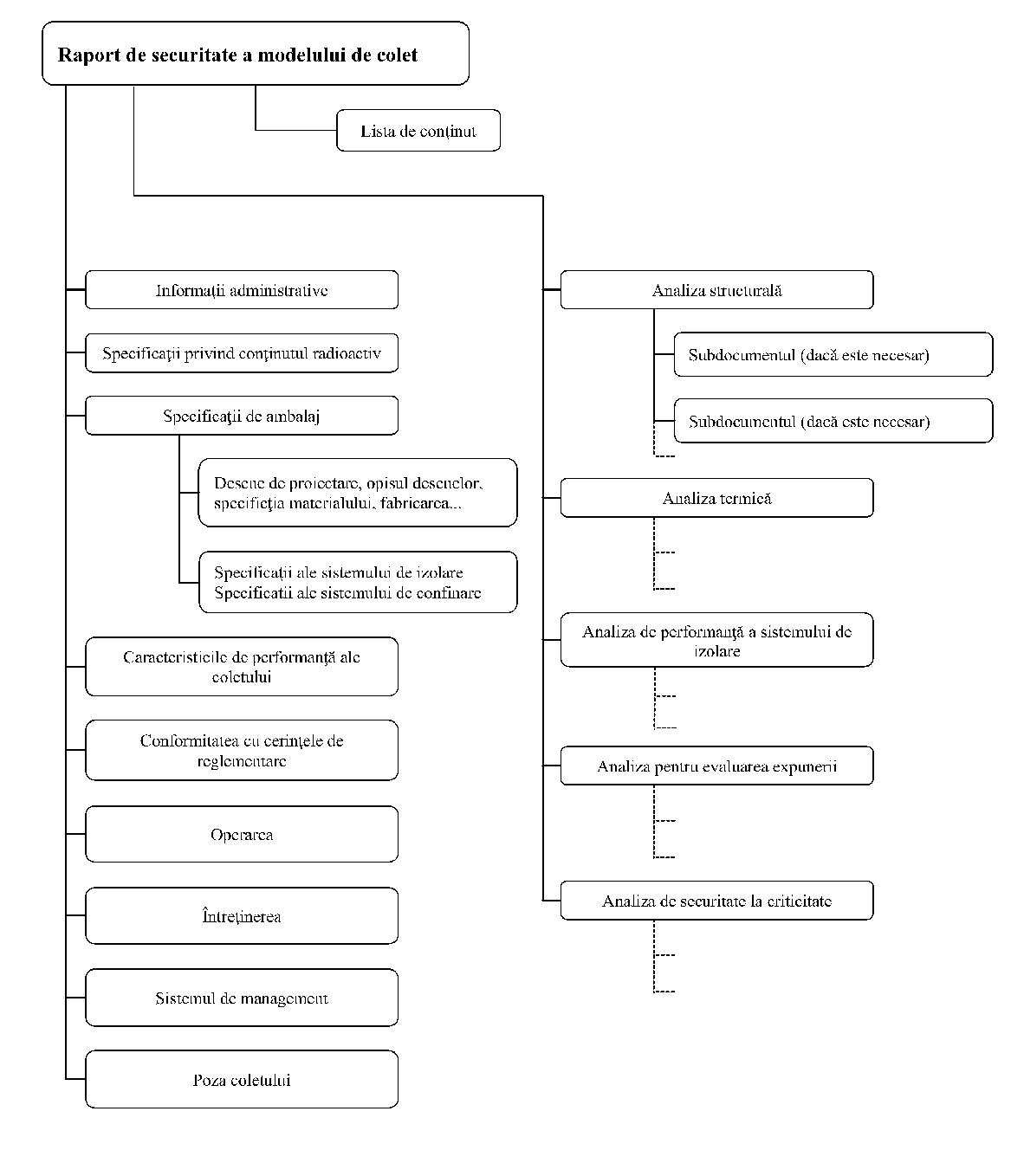
Ordinul Nr.223 din 09.10.2017pentru aprobarea Normei privind elaborarea raportului de securitate a unui model de colet de transport al materialelor radioactive ACT EMIS DE: Comisia Nationala pentru Controlul Activitatilor Nucleare ACT PUBLICAT ÎN MONITORUL OFICIAL NR. 871 din 06 noiembrie 2017
Luând în considerare Referatul de aprobare al Direcţiei ciclul combustibilului nuclear nr. 23.885 din 5.10.2017,în conformitate cu prevederile art. 7 alin. (7) din Regulamentul de organizare şi funcţionare a Comisiei Naţionale pentru Controlul Activităţilor Nucleare, aprobat prin Hotărârea Guvernului nr. 1.627/2003, cu modificările şi completările ulterioare,având în vedere art. 5 din Legea nr. 111/1996 privind desfăşurarea în siguranţă, reglementarea, autorizarea şi controlul activităţilor nucleare, republicată, cu modificările şi completările ulterioare, preşedintele Comisiei Naţionale pentru Controlul Activităţilor Nucleare emite următorul ordin: Articolul 1Se aprobă Norma privind elaborarea raportului de securitate a unui model de colet de transport al materialelor radioactive, prevăzută în anexa care face parte integrantă din prezentul ordin. Articolul 2 Prezentul ordin se publică în Monitorul Oficial al României, Partea I.Preşedintele Comisiei Naţionale pentru Controlul Activităţilor Nucleare,Rodin TraicuANEXĂNORMĂ privind elaborarea raportului de securitate a unui model de colet de transport al materialelor radioactive Capitolul IDomeniu de aplicare, scop şi definiţii Articolul 1(1) Prezenta normă detaliază cerinţele de elaborare a raportului de securitate a unui model de colet de transport al materialelor radioactive. (2) Prezenta normă se aplică la elaborarea raportului de securitate pentru următoarele colete de transport al materialelor radioactive: coletul exceptat, coletul industrial IP-1, IP-2, IP-3, coletul tip A, coletul tip B(U), coletul tip B(M), coletul tip C, coletul conţinând materiale fisile, coletul conţinând mai mult de 0,1 kg hexafluorură de uraniu.(3) Proiectantul unui model de colet elaborează orice altă analiză necesară asociată unui anumit tip specific de model.(4) Pentru elaborarea raportului de securitate a unui model de colet se utilizează orice altă metodologie, dacă se dovedeşte că este cel puţin echivalentă cu cea prevăzută în prezenta normă. Articolul 2Prezenta normă are la bază cerinţele din documentul AIEA SSR-6 incluse în reglementările internaţionale ADR (Acordul european referitor la transportul rutier internaţional al mărfurilor periculoase), RID (Regulamentul privind transportul internaţional feroviar al mărfurilor periculoase), IMDG (Codul Internaţional pentru transportul maritim de mărfuri periculoase), ADN (Acordul european privind transportul internaţional al mărfurilor periculoase pe căile navigabile interioare) şi ICAO (Organizaţia Aviaţiei Civile Internaţionale de la Montreal). Matricea cerinţelor din documentul AIEA SSR-6 şi ADR aplicabile pentru fiecare tip de colet este prezentată în anexa nr. 1. Articolul 3(1) Pentru orice model de colet de transport al materialelor radioactive producătorul coletului trebuie să elaboreze un raport de securitate a modelului de colet, care are ca scop demonstrarea conformităţii cu cerinţele naţionale şi internaţionale aplicabile, după caz. (2) Pentru modelele de colete care necesită aprobarea Comisiei Naţionale pentru Controlul Activităţilor Nucleare (CNCAN) raportul de securitate pentru modelul de colet constituie documentaţia tehnică obligatorie, suport la cererea de autorizare.(3) Pentru modelele de colete care nu necesită aprobarea CNCAN, expeditorul trebuie să deţină şi să facă disponibil pentru inspecţia CNCAN raportul de securitate pentru modelul de colet. Articolul 4În scopul aplicării prezentei norme, pe lângă termenii definiţi în Legea nr. 111/1996 privind desfăşurarea în siguranţă, reglementarea, autorizarea şi controlul activităţilor nucleare, republicată, cu modificările şi completările ulterioare, în reglementările internaţionale ADR, RID, IMDG, ADN şi ICAO, se utilizează şi definiţiile din anexa nr. 2 la prezenta normă. Capitolul IIConţinutul raportului de securitate. Prevederi generale Articolul 5Raportul de securitate a modelului de colet este un document controlat şi include o evidenţă a reviziilor şi ediţiilor, precum şi aprobarea acestuia de către proiectantul coletului. Articolul 6În cuprinsul raportului de securitate a modelului de colet se utilizează Sistemul internaţional de unităţi de măsură SI. Articolul 7(1) Raportul de securitate a modelului de colet conţine două părţi principale: partea 1 şi partea a 2-a.(2) Structura raportului de securitate este prezentată schematic în anexa nr. 3.(3) La elaborarea raportului de securitate a modelului de colet se ţine seama atât de instrucţiunile din textul prezentei norme, cât şi de cele din anexele acesteia. Articolul 8Orice document reprezentând partea 1 este un document controlat şi trebuie să fie aprobat pentru distribuţie de către autorul/proprietarul documentului şi de către proiectantul coletului. Articolul 9Orice document reprezentând partea a 2-a este un document controlat şi trebuie să fie aprobat pentru distribuţie de către responsabilul specialist în disciplina tehnică ce se evaluează. Capitolul IIIConţinutul raportului de securitate A. Partea I a raportului de securitate Articolul 10Partea 1 a raportului de securitate a modelului de colet include următoarele informaţii/capitole: 1.1. Lista de conţinut 1.2. Informaţii administrative 1.3. Specificaţii privind conţinutul radioactiv 1.4. Specificaţii de ambalaj 1.5. Caracteristici de performanţă ale coletului 1.6. Conformitatea cu cerinţele de reglementare 1.7. Exploatarea/Operarea 1.8. Întreţinere 1.9. Sistemul de management 1.10. Poza coletului Articolul 11Capitolul 1.1 „Lista de conţinut" este elaborat pentru fiecare parte, partea 1 şi partea a 2-a, a raportului de securitate a modelului de colet şi conţine lista documentelor incluse în fiecare parte, precum şi lista capitolelor fiecărui document inclus, cu menţionarea ediţiei/reviziei. Articolul 12Capitolul 1.2 „Informaţii administrative" include: a)numele comercial al coletului, după caz; b)identificarea proiectantului coletului: numele/denumirea, adresa, detaliile de contact; c)tipul coletului; d)identificarea ambalajului/modelului de colet şi, după caz, restricţiile numărului/numerelor de serie al/ale ambalajului; e)modurile de transport pentru care coletul este proiectat şi orice restricţie privind transportul; f)referinţele privind reglementările aplicabile, inclusiv ediţia Reglementărilor AIEA SSR-6 privind transportul în siguranţă al materialelor radioactive la care se referă modelul de colet. Articolul 13(1) Conţinutul radioactiv permis în modelul de colet trebuie descris în detaliu. (2) Capitolul 1.3 „Specificaţii privind conţinutul radioactiv" include cel puţin următoarele informaţii:a)nuclidul/compoziţia de nuclizi, radionuclizii descendenţi, după caz; b)limitele de activitate, masa şi concentraţie, neomogenităţi, după caz; c)forma fizică şi chimică, forma geometrică, aranjarea, parametrii de iradiere, conţinutul de umiditate, specificaţiile de material; d)materialul sub formă specială sau materialul cu dispersabilitate redusă, după caz; e)natura şi caracteristicile radiaţiei emise; f)modalitatea de disipare a căldurii generate de către conţinutul radioactiv; g)masa de material fisil şi menţionarea nuclizilor; h)alte proprietăţi periculoase; i)alte limitări ale conţinutului; limitele relevante de securitate pentru materialele neradioactive, cum ar fi: compoziţia materialului, densitatea, forma, localizarea în interiorul coletului, restricţiile de cantităţi relative la material. (3) Pentru situaţia în care în colet sunt transportaţi radionuclizi ale căror valori A1/A2 nu sunt listate în documentul AIEA SSR-6, capitolul trebuie să conţină valorile A1/A2 determinate conform paragrafelor 403-407 din AIEA SSR-6. Pentru situaţia în care coletul este destinat transportului internaţional determinarea valorilor A1/A2 necesită aprobare multilaterală. Articolul 14Capitolul 1.4 „Specificaţii de ambalaj" include următoarele informaţii: a)o listă a componentelor ambalajului şi toate desenele de proiectare; b)o listă a componentelor standard cum ar fi bolţuri, sigilii etc.; c)o listă a specificaţiilor de material ale tuturor componentelor ambalajului şi ale componentelor standard, metodele de fabricare a acestora inclusiv cerinţe de procurare material, suduri, alte procese speciale, evaluări şi testări nedistructive. Toate specificaţiile de material pentru fiecare componentă a ambalajului trebuie incluse; d)descrierea corpului ambalajului, capacului, a mecanismului de închidere şi a componentelor interne; e)descrierea componentelor ambalajului ca parte a sistemului de izolare şi reţinere; f)descrierea componentelor ambalajului care asigură ecranarea; g)descrierea componentelor ambalajului ca parte a sistemului de confinare; h)descrierea componentelor ambalajului care asigură protecţia termică; i)descrierea componentelor ambalajului care asigură disiparea căldurii; j)descrierea modului de protecţie împotriva corodării; k)descrierea modului de protecţie împotriva contaminării; l)descrierea componentelor limitatorilor de şoc; m)modul de transport, care include descrierea oricărui mecanism necesar pentru transport, manipulare în siguranţă, prindere, securizare, transferul dintr-un vehicul în altul şi securizarea în sau pe vehicul care pot afecta siguranţa coletului. Articolul 15(1) Capitolul 1.5 „Caracteristicile de performanţă ale coletului" descrie principalele principii de proiectare şi principalele caracteristici de performanţă ale modelului de colet, astfel încât modelul de colet să întrunească cerinţele de securitate, cum ar fi izolarea, reţinerea conţinutului radioactiv şi îndepărtarea căldurii, debitul de doză şi cerinţele de securitate la criticitate. (2) Capitolul 1.5 trebuie să descrie cum ipotezele analizei şi datele utilizate pentru analiza de securitate, în special cele referitoare la eliberarea de materiale radioactive, debitele de doză şi securitatea la criticitate, după caz, sunt derivate din proiect şi din comportarea coletului la condiţii de transport de rutină, normale şi de accident, luând în considerare şi numărul de cicluri de transport care se intenţionează pentru un ambalaj.(3) Aceasta trebuie să asigure că proiectul şi diferitele părţi ale demonstraţiei de securitate se potrivesc şi că orice decizie ulterioară luată privind modificările în modelul de colet datorită fabricaţiei, reparării, îmbunătăţirii exploatării etc. descriu în mod corespunzător posibila influenţă asupra criteriilor de performanţă şi asupra conformităţii cu cerinţele de reglementare. Articolul 16Capitolul 1.6 „Conformitatea cu cerinţele de reglementare" include o listă completă a cerinţelor din reglementările internaţionale şi din reglementările naţionale aplicabile pentru respectivul model de colet, modul cum se demonstrează conformitatea cu aceasta şi locul – capitolul şi pagina în document unde este descrisă demonstrarea conformităţii cu aceasta. Referirea la dispoziţiile din reglementări trebuie făcută în capitolul unde se demonstrează conformitatea cu acestea. Articolul 17Capitolul 1.7 „Exploatarea/Operarea" conţine cerinţele minime pentru ambalaje/colete, după caz: a)cerinţele de testare şi control înainte de prima utilizare; b)cerinţele de testare şi control înainte de fiecare expediţie; c)cerinţele de manipulare, de legare şi arimare în vehicul; d)cerinţele de încărcare şi descărcare a conţinutului în/din colete; e)cerinţele pentru asamblarea componentelor ambalajului; f)cerinţele pentru orice echipament suplimentar propus şi controalele operaţionale ce urmează să fie efectuate în timpul transportului, care sunt necesare pentru a asigura întrunirea de către colet a cerinţelor de reglementare pentru transport. De exemplu, pentru disiparea căldurii sunt definite cerinţe pentru barierele termice, limitările de timp, limitările de temperatură, inclusiv condiţiile de utilizare exclusivă şi de depozitare în tranzit. Articolul 18Capitolul 1.8 „Întreţinere" defineşte cerinţele minime pentru ambalaje/colete pentru următoarele activităţi, după caz: a)cerinţele de întreţinere şi inspecţie înainte de fiecare expediere; b)cerinţele de întreţinere şi inspecţie periodice, pe toată durata de utilizare a ambalajelor/coletelor. Articolul 19Capitolul 1.9 „Sistemul de management al calităţii" descrie programul de asigurare a calităţii necesar pentru a asigura conformitatea cu prevederile relevante referitoare la: a)proiect, raportul de securitate pentru modelul de colet, documentaţie, înregistrări; b)fabricare şi testare; c)exploatare/operare cum ar fi încărcarea, transportul, descărcarea, depozitarea în tranzit. d)întreţinere şi reparare; e)conformitatea cu orice activitate prevăzută în raport. Articolul 20(1) Partea 1 conţine o imagine reproductibilă, nu mai mare de 16/22 cm, care să arate coletul în ansamblu, inclusiv limitatoarele de şoc, dispozitivele de izolare termică şi furniturile ambalajului, după caz. Imaginea trebuie să indice, cel puţin, dimensiunile de gabarit, masa principalelor componente ale ambalajului şi masa brută a ambalajului gol şi a ambalajului încărcat (coletului).(2) Imaginea reproductibilă se află în capitolul 1.10 „Poza coletului".B. Partea a 2-a a raportului de securitate Articolul 21(1) Partea a 2-a conţine analize tehnice detaliate pentru demonstrarea conformităţii cu cerinţele prevăzute în partea 1 a raportului de securitate a modelului de colet.(2) Partea a 2-a conţine două secţiuni, şi anume:a)secţiunea 2.1: secţiunea conţine informaţii/prevederi care trebuie să fie conţinute în toate analizele tehnice incluse în partea a 2-a; b)secţiunea 2.2: secţiunea conţine lista analizelor tehnice care sunt necesare, precum şi conţinutul acestora. Mai multe informaţii privind conţinutul analizelor tehnice necesare pentru fiecare tip de colet sunt furnizate în anexele nr. 4-9. Articolul 22Secţiunea 2.1 conţine informaţii care trebuie să se regăsească în oricare analiză tehnică din cadrul secţiunii 2.2 structurate în capitole, şi anume: Capitolul 2.1.1 - Referirea la modelul de colet În fiecare analiză tehnică dintre cele prevăzute în secţiunea 2.2 modelul de colet care este evaluat trebuie precis referit prin menţionarea desenului de ansamblu al modelului de colet sau a listei de desene ale ambalajului şi prin documentul care specifică conţinutul radioactiv, cu precizarea reviziilor. Capitolul 2.1.2 - Criteriile de acceptare şi ipotezele modelului În fiecare analiză tehnică dintre cele prevăzute la art. 21 trebuie definite şi justificate, când este cazul, criteriile de acceptare pentru analizele tehnice şi ipotezele modelului de colet în termeni de geometrie şi caracteristici de performanţă. Capitolul 2.1.3 - Descrierea şi justificarea metodei de analiză Demonstrarea conformităţii cu cerinţele de securitate a unui model de colet se realizează printr-o combinaţie a următoarelor, după caz: a)prin rezultatele testărilor fizice a prototipurilor sau a modelelor la scară corespunzătoare; b)prin referire la demonstraţii satisfăcătoare de natură similară. Rezultatele testelor modelelor similare pentru modelul analizat este permisă numai dacă similaritatea poate fi demonstrată prin calcul sau prin validare; c)prin calcul sau prin judecăţi inginereşti, când procedurile de calcul sunt în general conservative şi este dovedit că sunt potrivite. Ipotezele făcute necesită justificare şi testare fizică.Metodele/Standardele utilizate în fiecare analiză trebuie să includă o descriere a tehnicii de analiză utilizate, limitările şi precizia acesteia, precum şi justificarea utilizării acesteia în analiza modelului de colet. Când se utilizează coduri de calcul în analiza de securitate la criticitate, sunt necesare informaţii suplimentare pentru verificarea/validarea codului în domeniul de aplicare al acestuia. Justificarea pentru aplicarea acestor coduri trebuie să includă declararea surselor posibile de eroare şi/sau incertitudinile, referitoare la efectele tehnicii de calcul utilizate, a ipotezelor şi simplificărilor utilizate în modelare, precum şi a celor referitoare la oricare parametru care influenţează rezultatele calculului. Capitolul 2.1.4 - Analizele modelului de colet Caracteristicile de performanţă ale modelului de colet trebuie evaluate cu o analiză de sensibilitate, trebuie identificate şi trebuia să fie corespunzătoare cu nivelurile de precizie stabilite. Este de preferat să fie considerate mai mult de un scenariu de accident şi o secvenţă de deteriorări pentru a asigura că funcţiile de securitate sunt îndeplinite de componente diferite ale modelului de colet, în conformitate cu cerinţele de reglementare. Trebuie analizate şi alte riscuri care pot avea un efect succesiv asupra funcţiilor de securitate. Acestea pot fi coroziunea, combustia, efectele piroforice sau alte reacţii chimice, radioliza, schimbarea stării de agregare. Capitolul 2.1.5 Compararea criteriilor de acceptare cu rezultatele analizelor Rezultatele analizelor efectuate conform cap. 2.1.4 se compară cu criteriile de acceptare, cu ipotezele modelului de colet şi trebuie justificată corespunzător conformitatea cu cerinţele de reglementare din RID/ARD/ADR şi IT-OACI. Articolul 23Secţiunea 2.2 a raportului de securitate pentru modelul de colet conţine următoarele analize tehnice: Capitolul 2.2.1 - Analiza structurală Comportarea mecanică în condiţii de transport de rutină, normale şi de accident, după caz, a modelului de colet de transport trebuie evaluată pentru: a)componentele coletului parte a sistemului de izolare şi reţinere; b)componentele coletului care asigură ecranarea radiaţiei; c)componentele coletului care asigură sistemul de confinare; d)componentele coletului pentru care performanţa lor are efect consecutiv asupra componentelor prevăzute la lit. a), b) şi c); e)echipamentele ataşate utilizate pentru ridicarea ambalajului/ coletului; f)echipamentele ataşate ambalajului utilizate pentru fixarea în mijlocul de transport. Capitolul 2.2.2 - Analiza termică Comportarea termică trebuie evaluată pentru condiţii de transport de rutină, normale şi de accident şi trebuie să includă o evaluare a stresului termic, temperatura la suprafaţa coletului şi comportarea termică sau, după caz, a tipului de colet pentru: a)componentele sistemului de izolare; b)componentele ecranului de protecţie; c)componentele sistemului de confinare; d)componentele coletului pentru care performanţa lor poate avea efect asupra componentelor prevăzute la lit. (a), (b) şi (c).Capitolul 2.2.3 - Analiza de performanţă a sistemului de izolare Analiza de performanţă a sistemului de izolare trebuie să evalueze măsurile pentru prevenirea pierderii sau dispersiei sau pentru limitarea eliberării de material radioactiv în condiţii de transport de rutină, normale şi de accident. Capitolul 2.2.4 - Analiza pentru evaluarea expunerii Analiza pentru evaluarea expunerii trebuie să evalueze debitele de doză şi raportul de creştere a debitelor de doză pentru condiţii de transport de rutină, normale şi de accident, după caz. Analiza trebuie efectuată pentru conţinutul radioactiv maxim sau pentru conţinutul care ar conduce la debite de doză maxime la suprafaţa coletelor, precum şi la alte distanţe faţă de suprafaţă, definite de reglementări. Capitolul 2.2.5 - Analiza de securitate la criticitate Pentru modelele de colete destinate pentru transportul materialelor fisile neexceptate trebuie evaluată securitatea la criticitate pentru condiţii de transport de rutină, normale şi de accident, atât pentru coletul în izolare, cât şi pentru aranjamentele de colete. Capitolul IVDispoziţii finale Articolul 24Următoarele anexe fac parte integrantă din prezenta normă: Anexa nr. 1 - Matricea cerinţelor din AIEA SSR-6 şi ADR aplicabile la toate tipurile de colet Anexa nr. 2 - Termeni, definiţii şi abrevieri Anexa nr. 3 - Structura raportului de securitate a modelului de colet Anexa nr. 4 - Coletul exceptat Anexa nr. 5 - Coletele industriale IP Anexa nr. 6 - Coletul tip A Anexa nr. 7 - Coletul tip B(U), B(M) şi C Anexa nr. 8 - Coletul pentru transportul materialelor fisile Anexa nr. 9 - Coletul care conţine mai mult de 0,1 kg de hexafluorură de uraniu ANEXA Nr. 1la normă Matricea cerinţelor din AIEA SSR-6 şi ADR aplicabile la toate tipurile de colet În acest document simbolurile înseamnă: „-" complet diferit de AIEA SSR-6 „M" - modificat faţă de AIEA SSR-6 ANEXA Nr. 2la normă Termeni, definiţii şi abrevieri AIEA SSG-26 - document AIEA Ghid pentru interpretarea reglementării pentru transportul în siguranţă al materialelor radioactive (IAEA - Advisory Material for the IAEA Regulations for the Safe Transport of Radioactive Material, 2012 Edition, Specific Safety Guide, SSG-26) AIEA SSR-6 - documentul AIEA Reglementare pentru transportul de materiale radiaoctive, Cerinţe de securitate, SSR-6, ediţia 2012 (Regulations for the Safe Transport of Radioactive Material, 2012 Edition, Specific Safety Requirements SSR-6) ADN - Acordul european privind transportul internaţional al mărfurilor periculoase pe căile navigabile interioare (ADN), adoptat la Geneva la 26 mai 2000, la care România a aderat prin Legea nr. 159/2008 ADR - Acordul european referitor la transportul rutier internaţional al mărfurilor periculoase (A.D.R.), adoptat şi semnat la Geneva la 30 septembrie 1957, la care România a aderat prin Legea nr. 31/1994, cu modificările şi completările ulterioare Desene de proiectare - desene inginereşti care exprimă componentele ambalajului şi geometria acestora. Desenele de proiectare sunt documente controlate. Document controlat - un document care este aprobat şi continuu actualizat. Documentul controlat trebuie să fie semnat, datat şi trebuie să i se atribuie un indicativ incluzând şi revizia, are menţionate numărul de pagini şi numărul de anexe. Modificările documentului între revizii trebuie clar marcate. IT-OACI - Instrucţiuni tehnice ale Organizaţiei Aviaţiei Civile Internaţionale pentru siguranţa transportului aerian al mărfurilor periculoase, în completarea anexei 18 a Convenţiei de la Chicago referitoare la aviaţia civilă internaţională (Chicago, 1944), publicate de Organizaţia Aviaţiei Civile Internaţionale (ITOACI) la Montréal IMDG - Codul pentru transportul internaţional maritim de mărfuri periculoase Modelul de colet - descrierea unui colet care permite deplina identificare a acestuia. Descrierea poate include specificaţii tehnice, desene de proiectare, rapoarte de conformitate cu cerinţele de reglementare, precum şi alte documente relevante solicitate de autoritatea competentă. Proiectantul coletului - persoana sau organizaţia care este responsabilă pentru proiectul coletului. Fiecare model de colet trebuie să aibă un singur proiectant. RID - Regulamentul privind transportul internaţional feroviar al mărfurilor periculoase, care figurează în anexa C la Convenţia privind transporturile internaţionale feroviare (COTIF), semnată la Berna la 9 mai 1980, ratificată prin Decretul Consiliului de Stat nr. 100/1983, astfel cum a fost modificată prin Protocolul de la Vilnius, încheiat la 3 iunie 1999, ratificat prin Ordonanţa Guvernului nr. 69/2001, aprobată prin Legea nr. 53/2002 Sistemul de confinare - ansamblul materialelor fisile şi componentelor ambalajului, specificat ca atare de către proiectant şi aprobat de către autoritatea competentă, care are scopul de a asigura securitatea la criticitate Sistemul de izolare - ansamblul componentelor unui ambalaj, specificat ca atare de către proiectant, care are scopul de a reţine materialul radioactiv în timpul transportului Tipul coletului - oricare dintre: coletul exceptat, coletul tip A, coletul tip B (U), coletul tip B (M), coletul tip C, coletul conţinând materiale fisile, coletul conţinând mai mult de 0,1 kg hexafluorură de uraniu. ANEXA Nr. 3*)la normă Structura raportului de securitate a modelului de colet *) Anexa nr. 3 este reprodusă în facsimil. ANEXA Nr. 4la normă Coletul exceptat Instrucţiuni suplimentare specifice pentru informaţiile solicitate în partea 1 şi în partea a 2-a a raportului de securitate pentru modelul de colet Instrucţiuni şi ghiduri suplimentare se găsesc în AIEA SSG-26. Pentru coletele conţinând materiale fisile neexceptate trebuie consultată şi anexa nr. 8 la normă. Pentru coletele conţinând mai mult de 0,1 kg hexafluorură de uraniu trebuie consultată şi anexa nr. 9 la normă.
|
Partea 1 |
|
Capitolul |
Indicaţii |
|
1.1 |
Trebuie inclus în raport. |
|
1.2 |
Trebuie inclus în raport În acest capitol la lit. c) trebuie specificate numerele ONU atribuite fiecărui fel de colet exceptat, după cum urmează: - ambalaj gol (UN 2908); sau - articole fabricate din uraniu natural sau uraniu sărăcit sau toriu natural (UN 2909); sau - cantitate limitată de material (UN 2910); sau - instrumente sau articole (UN 2911); sau - hexafluorură de uraniu, nefisilă, mai puţin de 0,1 kg per colet (UN 3507). La lit. e) trebuie luată în considerare şi conformitatea cu cerinţele suplimentare pentru transportul pe calea aerului (a se consulta anexa nr. 1 la normă), dacă este aplicabil. |
|
1.3 |
Capitolul 1.3 trebuie inclus în raport, cu excepţia lit. f). La lit. b) trebuie considerată conformitatea cu limitele de activitate pentru coletul exceptat conform tabelului 4 din AIEA SSR-6 şi cu paragrafele 423 şi 424 pentru transportul prin poştă şi cu paragraful 427 pentru ambalaje goale, dacă este aplicabil. La lit. d), dacă este utilizat un material radioactiv sub formă specială, trebuie să existe un certificat valabil pentru materialul radioactiv sub formă specială. La lit. g) materialul fisil este permis numai dacă este exceptat conform paragrafului 417 din AIEA SSR-6. La lit. h) trebuie să fie luate în considerare riscurile secundare ale conţinutului care pot conduce la cerinţe suplimentare de clasificare şi de proiectare. |
|
1.4 |
Capitolul 1.4 trebuie inclus în raport, cu excepţia lit. g)-i). Cerinţa de la lit. e) poate fi susţinută prin materialul radioactiv sub formă specială, dacă se aplică; de văzut, de asemenea, şi comentariul de la cap. 1.3 lit. d). |
|
1.5 |
Trebuie descrise principalele principii şi caracteristici de performanţă ale modelului de colet pentru a întruni cerinţele de integritate a sistemului de izolare şi a ecranării pentru coletul exceptat în condiţii de transport de rutină conform paragrafelor 607-618, paragrafelor 619-621 pentru colete transportate pe calea aerului, paragrafelor 515, 516 şi, dacă este aplicabil, paragrafelor 423 (a) şi (c), 424 (a) şi 426 din AIEA SSR-6; a se vedea, de asemenea, şi anexa nr. 1 la normă. |
|
1.6 |
Paragrafele corespunzătoare aşa cum sunt indicate în anexa nr. 1 la normă pentru coletul exceptat trebuie luate în considerare. |
|
1.7 |
Trebuie elaborate instrucţiuni corespunzătoare de utilizare a coletului care să acopere toate aspectele de la cap. 1.7. Conformitatea cu cerinţele din paragrafele 564 şi 607-609 din AIEA SSR-6 trebuie să fie justificată luând în considerare condiţiile anticipate de transport de rutină. Condiţiile de transport de rutină trebuie să fie identificate, şi anume: temperatura ambientală minimă şi maximă din timpul transportului, presiunea minimă ambientală, specificarea cerinţelor privind strângerea şuruburilor, numărul ciclurilor de transport (de utilizat în analiza fitingurilor) pentru fiecare mod de transport. Aceste instrucţiuni trebuie incluse în raport, dacă este aplicabil. |
|
1.8 |
Trebuie elaborate instrucţiuni corespunzătoare de întreţinere a coletului care să acopere toate aspectele de la cap. 1.8. |
|
1.9 |
Sistemul de management trebuie să fie corespunzător cu complexitatea modelului de colet, să asigure că modelul de colet este proiectat şi testat, după caz, să demonstreze îndeplinirea cerinţelor de reglementare. Acesta include un sistem adecvat de control al documentelor. Sistemul de management trebuie să asigure că cerinţele şi standardele pentru fabricare, inspecţie înainte de prima utilizare şi inspecţii ulterioare în timpul utilizării (pentru ambalaje cu utilizări repetate), întreţinerea, exploatarea, încărcarea, descărcarea sunt clar definite în raport. |
|
1.10 |
Capitolul trebuie inclus în raport. |
|
Partea a 2-a |
|
Capitolul |
Indicaţii |
|
Secţiunea 2.1 |
Secţiunea 2.1 trebuie inclusă în raport, cu un grad de detaliere corespunzător astfel încât să demonstreze conformitatea cu cerinţele pentru modelul de colet exceptat. |
|
2.2.1 |
Capitolul 2.2.1 trebuie să fie conform doar cu condiţiile de transport de rutină, dar nu şi pentru lit. c). Cerinţa de la lit. a) poate fi demonstrată prin forma specială, dacă este aplicabil. Analiza structurală ar trebui efectuată astfel încât să demonstreze că toate cerinţele aplicabile ale modelului sunt îndeplinite conform paragrafelor 607-618, 619-621 din AIEA SSR-6 pentru transportul pe calea aerului, 623 şi 636 pentru materialele fisile exceptate, dacă este aplicabil. Trebuie luate în considerare temperaturile şi presiunile ambientale care sunt posibile în condiţii de transport de rutină, precum şi cerinţele specifice de temperatură şi presiune pentru transportul pe calea aerului. În particular, trebuie acordată atenţie ca oricare piuliţă, şurub şi dispozitiv de reţinere să îşi păstreze funcţiile de securitate în condiţii de transport de rutină chiar şi după utilizări repetate. Instrucţiuni şi ghiduri suplimentare pot fi găsite în AIEA SSG-26, paragrafele 607.1-621.3. |
|
2.2.2 |
Capitolul 2.2.2 trebuie să fie conform doar cu condiţiile de transport de rutină, dar nu şi pentru lit. c). Analiza termică ar trebui să fie efectuată astfel încât să dovedească că toate cerinţele aplicabile de model conform paragrafelor 607-621 sunt îndeplinite, în particular paragrafele 613, 614, 616 şi 617-619 din AIEA SSR-6, dacă se aplică. Instrucţiuni şi ghiduri suplimentare pot fi găsite în AIEA SSG-26, paragrafele 607.1-621.3. |
|
2.2.3 |
Capitolul 2.2.3 trebuie să fie conform doar cu condiţiile de transport de rutină. Analiza trebuie efectuată astfel încât să fie demonstrată integritatea izolării pentru toate aspectele relevante conform paragrafelor 607-618 şi 619-621 din AIEA SSR-6, dacă se aplică. Pentru alte proprietăţi periculoase ale conţinutului a se vedea şi paragrafele 110 şi 507 din AIEA SSR-6. |
|
2.2.4 |
Capitolul 2.2.4 trebuie să fie conform doar cu condiţiile de transport de rutină; a se vedea paragrafele 508, 509 şi 516. Analiza de ecranare trebuie să fie efectuată astfel încât să dovedească faptul că toate cerinţele privind debitul dozei sunt îndeplinite, conform paragrafelor 516 şi 423(a), dacă este aplicabil. Dacă sunt utilizate metode de calcul, calculul termenului-sursă trebuie să ia în considerare interacţiile, emisiile secundare, factorii de multiplicare, acolo unde este relevant. Dacă sunt utilizate măsurători, măsurarea termenului-sursă trebuie să fie reprezentativă pentru conţinutul radioactiv al modelului de colet. |
|
2.2.5 |
Neaplicabil: materialele fisile neexceptate nu sunt permise în colete exceptate. |
ANEXA Nr. 5la normă Coletele industriale IP Instrucţiuni suplimentare specifice pentru informaţiile solicitate în partea 1 şi în partea a 2-a a raportului de securitate pentru modelul de colet Instrucţiuni şi ghiduri suplimentare se găsesc în AIEA SSG-26. Pentru coletele conţinând materiale fisile neexceptate trebuie consultată şi anexa nr. 8 la normă. Pentru coletele conţinând mai mult de 0,1 kg hexafluorură de uraniu trebuie consultată şi anexa nr. 9 la normă.
|
Partea 1 |
|
Capitolul |
Indicaţii |
|
1.1 |
Capitolul 1.1 trebuie inclus în raport. |
|
1.2 |
Capitolul 1.2 trebuie inclus în raport. La lit. c) ar trebui specificat tipul coletului industrial: - colet industrial tip 1 IP-1; - colet industrial tip 2 IP-2; - colet industrial tip 3 IP-3. La lit. e) trebuie luată în considerare şi conformitatea cu cerinţele suplimentare pentru transportul pe calea aerului; a se vedea şi anexa nr. 1 la normă, dacă este aplicabil. |
|
1.3 |
Capitolul 1.3 trebuie inclus în raport. La lit. b) se descriu limitările în ceea ce priveşte activitatea specifică (Bq/g) şi contaminarea de suprafaţă (Bq/cm2). Conţinutul radioactiv poate fi clasificat ca LSA-I, LSA-II sau LSA-III conform paragrafului 409 sau SCO-I sau SCO-II conform paragrafului 412 din AIEA SSR-6. Conform acestei clasificări, conţinutul coletului industrial trebuie justificat conform paragrafului 519 şi tabelului 6 din AIEA SSR-6. Trebuie demonstrată conformitatea cu limita debitului de doză la 3 metri de conţinutul neecranat conform paragrafului 516 din AIEA SSR-6. Trebuie să fie luate în considerare limitele de activitate pe vehicul conform tabelului nr. 7 din AIEA SSR-6 pentru a limita activitatea într-un singur colet, dacă este cazul. La lit. c) limitele de conţinut în coletul industrial IP depind de starea fizică. În cazul LSA-III, aplicabil pentru coletul industrial tip IP-2 sau IP-3 conform tabelului nr. 6 din AIEA SSR-6, trebuie justificată conformitatea cu paragraful 601. Trebuie inclusă cerinţa de la lit. f) dacă este aplicabil. |
|
Partea 1 |
|
Capitolul |
Indicaţii |
|
|
Pentru cerinţa de la lit. g), dacă coletul conţine materiale fisile exceptate, trebuie justificată conformitatea cu paragraful 417 din AIEA SSR-6. Dacă coletul conţine materiale fisile neexceptate, se aplică anexa nr. 8 la normă. |
|
1.4 |
Trebuie inclus în raport, cu excepţia lit. i). Cerinţa de la lit. g) dacă se aplică, vezi anexa nr. 8 la normă. Cerinţa de la lit. h) dacă se aplică în legătură cu anexa nr. 8 sau 9 la normă. |
|
1.5 |
Principalele principii de proiectare şi caracteristici de performanţă ale modelului de colet trebuie descrise astfel încât să fie întrunite cerinţele de integritate a sistemului de izolare şi a ecranului, astfel: - tipul IP-1 în condiţii de transport de rutină conform paragrafelor 606-619 şi 634 din AIEA SSR-6; - tipul IP-2 în condiţii de transport normale şi de rutină conform paragrafelor 606-619, 622 şi 634 din AIEA SSR-6 sau cerinţele alternative din paragrafele 624-628 pentru colete, containere-cisternă, cisterne, containere mari şi containere metalice intermediare; - tipul IP-3 în condiţii de transport normale şi de rutină conform paragrafelor 606-619, 634-647 sau cerinţele alternative din paragrafele 624-628 pentru colete, containere-cisternă, cisterne, containere mari şi containere metalice intermediare; - tipul IP-1, tipul IP-2 şi tipul IP-3 conform paragrafelor 524-526 din AIEA SSR-6; a se vedea şi anexa nr. 1 la normă. |
|
1.6 |
Paragrafele corespunzătoare aşa cum sunt indicate în anexa nr. 1 la normă pentru coletele industriale tip IP-1, tip IP-2, tip IP-3 trebuie luate în considerare. |
|
1.7 |
Trebuie elaborate instrucţiuni corespunzătoare de utilizare a coletului care să acopere toate aspectele de la cap. 1.7. Detalii privind operaţiile de manipulare a coletului pot fi incluse în mai multe proceduri scrise care trebuie referenţiate în această parte a raportului. La lit. a), în conformitate cu paragraful 501(a) din AIEA SSR-6, dacă presiunea de proiectare a sistemului de izolare depăşeşte 35 kPa, trebuie inclusă o procedură pentru testarea integrităţii sistemului de izolare în condiţiile acelei presiuni. La lit. b) procedurile de testare şi control trebuie incluse să asigure că: - toate cerinţele specificate în prevederile relevante din AIEA SSR-6 aplicabile la coletul industrial sunt îndeplinite, conform paragrafului 502(a) din AIEA SSR-6; - dispozitivele de ridicare ataşate care nu întrunesc cerinţele de la paragraful 607 din AIEA SSR-6 au fost îndepărtate sau făcute incapabile să fie utilizate la ridicarea coletului, conform paragrafului 502(a) din AIEA SSR-6. La lit. c) trebuie incluse specificaţiile privind cerinţele de înşurubare a bolţurilor, numărul de cicluri (utilizate în analiza fitingurilor) pentru fiecare mod de transport. Suplimentar faţă de proprietăţile radioactive, orice proprietate periculoasă a conţinutului coletului trebuie luată în considerare, conform paragrafului 506. |
|
1.8 |
Trebuie elaborate instrucţiuni corespunzătoare de întreţinere a coletului care să acopere toate aspectele de la cap. 1.8. |
|
1.9 |
Sistemul de management trebuie să fie corespunzător cu complexitatea modelului de colet, să asigure că modelul de colet este proiectat şi testat, după caz, să demonstreze îndeplinirea cerinţelor de reglementare. Acesta include un sistem adecvat de control al documentelor. Sistemul de management trebuie să asigure că cerinţele şi standardele pentru fabricare, inspecţie înainte de prima utilizare şi inspecţii ulterioare în timpul utilizării (pentru ambalaje cu utilizări repetate), întreţinerea, exploatarea, încărcarea, descărcarea sunt clar definite în raport. |
|
1.10 |
Capitolul 1.10 trebuie inclus în raport. |
|
Partea a 2-a |
|
Capitolul |
Indicaţii |
|
Secţiunea 2.1 |
Secţiunea 2.1 trebuie inclusă în raport, cu un grad de detaliere corespunzător astfel încât să demonstreze conformitatea cu cerinţele pentru modelul de colet industrial. |
|
2.2.1 |
Analiza structurală trebuie astfel efectuată încât să dovedească faptul că: (I) tipul de colet IP-1 este conform cu cerinţele de transport de rutină conform paragrafelor 606-619 din AIEA SSR-6; în particular, această analiză trebuie să ia în considerare: (i) dispozitivele ataşate utilizate pentru fixarea coletului conform paragrafului 606; (ii) dispozitivele ataşate utilizate pentru ridicarea coletului, conform paragrafelor 607 şi 608; (iii) componentele adăugate coletului în timpul transportului, conform paragrafului 611; (iv) comportarea coletului şi a componentelor acestuia faţă de efectele oricărei acceleraţii, vibraţii sau rezonanţe la vibraţii, conform paragrafului 612; (v) comportarea coletului faţă de temperatura şi presiunea ambientală posibile în condiţii de rutină conform paragrafului 615; (II) coletul tip IP-2 este conform cu cerinţele definite pentru condiţiile de transport de rutină şi normale conform paragrafelor 606-619 şi 622 din AIEA SSR-6 sau cu cerinţele alternative din paragrafele 624-628; în particular, această analiză trebuie să ia în considerare aceleaşi cerinţe prevăzute pentru tipul de colet IP-1 de mai sus şi, suplimentar, evaluarea conformităţii cu criteriile de acceptare definite în paragraful 622 pentru testele mecanice specificate în paragrafele 722 şi 723 din AIEA SSR-6; |
|
Partea a 2-a |
|
Capitolul |
Indicaţii |
|
|
(III) coletul tip IP-3 este conform cu cerinţele definite pentru condiţiile de transport de rutină şi normale conform paragrafelor 606-619, 634-647 din AIEA SSR-6 sau cerinţelor alternative din paragrafele 625-628; în particular, această analiză trebuie să ia în considerare aceleaşi cerinţe prevăzute pentru tipul de colet IP-1 de mai sus, şi suplimentar: - evaluarea conformităţii cu criteriile de acceptare definite în paragraful 646 pentru testele mecanice specificate în paragrafele 721-724 din AIEA SSR-6; - o analiză a dispozitivelor de ancorare a coletului, dacă este aplicabil conform paragrafului 636. Dacă evaluarea testului este făcută printr-un test real atunci raportul trebuie să precizeze că: - testele de cădere sunt realizate conform unui program de asigurare a calităţii; - specimenul, prototipul sau probele sunt reprezentative pentru colet; - testele de cădere sunt efectuate astfel încât să cauzeze deteriorarea maximă; demonstrarea că orientarea în testul de cădere asigură deteriorarea maximă asupra funcţiei testate este realizată conform unui program de asigurare a calităţii; - ţinta pentru testele de cădere este conformă cu cerinţele aplicabile. Acest raport de testare trebuie să conţină poze şi explicaţii privind condiţiile de efectuare a testelor şi rezultatele acestora. Mai mule instrucţiuni şi ghiduri se găsesc în paragrafele corespunzătoare ale AIEA SSG-26. |
|
2.2.2 |
Analiza termică trebuie efectuată astfel încât să demonstreze că toate cerinţele de proiectare aplicabile aspectelor termice sunt întrunite, în particular astfel: - pentru coletele tip IP-1 şi tip IP-2: (i) comportarea faţă de temperatura ambientală care poate fi atinsă în condiţii de transport de rutină conform paragrafului 615 din AIEA SSR-6; (ii) analiza temperaturilor de pe suprafeţele accesibile ale coletului, în cazul transportului pe calea aerului, conform paragrafului 617; (iii) comportarea faţă de temperatura ambientală din domeniul –40°C până la +55°C, în cazul transportului pe calea aerului, conform paragrafului 618; - pentru coletul tip IP-3: aceleaşi cerinţe ca în cazul coletului tip IP-1 şi coletului tip IP-2 de mai sus; în plus trebuie să includă o evaluare a comportării faţă de temperaturile din domeniul –40°C până la +70°C, conform paragrafelor 637 şi 647. Trebuie acordată atenţie pentru a se asigura că dispozitivele de închidere îşi păstrează funcţia de securitate în domeniul de temperatură indicat mai sus. Mai multe instrucţiuni şi ghiduri se găsesc în paragrafele corespunzătoare din AIEA SSG-26. |
|
2.2.3 |
Analiza de performanţă a sistemului de izolare trebuie efectuată astfel încât să demonstreze că toate cerinţele de proiectare aplicabile aspectelor de izolare sunt întrunite, în particular astfel: - pentru coletul tip IP-1: (i) protecţia valvelor prin care conţinutul ar putea scăpa, dacă este aplicabil, conform paragrafului 614 din AIEA SSR-6; (ii) comportarea coletului faţă de reducerea presiunii ambientale pentru transportul pe calea aerului conform paragrafului 619; - pentru coletul tip IP-2: aceleaşi cerinţe ca la tipul de colet IP-1, şi în plus: prevenirea pierderii sau dispersiei de conţinut radioactiv, conform paragrafelor 622(a), 624(c)(i), 627(c)(i), 628(b)(i) din AIEA SSR-6, dacă este aplicabil; - pentru coletul tip IP-3, aceleaşi cerinţe ca la tipurile de colet IP-1 şi IP-2, şi în plus: • dispozitivul de ancorare/prindere a sistemului de izolare, conform paragrafelor 639 şi 641 din AIEA SSR-6; • o analiză asupra faptului că presiunea internă din colet, dacă este aplicabil, nu va slăbi dispozitivul de ancorare a sistemului de izolare, conform paragrafului 639 din AIEA SSR-6; • comportarea sistemului de izolare faţă de radioliza datorată conţinutului, dacă este aplicabil, conform paragrafului 642 din AIEA SSR-6; • comportarea sistemului de izolare faţă de reducerea presiunii ambientale până la 60 kPa, conform paragrafului 643 din AIEA SSR-6; • sistemul de reţinere a scăpărilor din valve, altele decât cele de reducere a presiunii, dacă se aplică, conform paragrafului 644 din AIEA SSR-6; • modelul ecranului care include componente ale sistemului de izolare, conform paragrafului 645 din AIEA SSR-6. Evaluarea sistemului de izolare în toate condiţiile de operare trebuie efectuată considerând cel mai limitativ conţinut al coletului din punct de vedere chimic şi fizic şi luând în considerare presiunea internă maximă. Unde este cazul, trebuie efectuată o analiză şi justificate momentele de strângere utilizate pentru menţinerea izolării în condiţii de transport de rutină şi normale. Trebuie inclusă o descriere a testului de scăpări cerut pentru a demonstra că sunt îndeplinite cerinţele de izolare, cum ar fi testele efectuate în timpul şi după fabricarea ambalajului, testările periodice şi testele efectuate înaintea fiecărei operaţii de transport. Mai multe instrucţiuni şi ghiduri se găsesc în paragrafele corespunzătoare din AIEA SSG-26. |
|
Partea a 2-a |
|
Capitolul |
Indicaţii |
|
2.2.4 |
Analiza aspectelor referitoare la sistemul de ecranare a ambalajului trebuie să asigure că limitele debitelor de doză stabilite de reglementări sunt întrunite, în particular pentru: - coletul tip IP-1, limitele de debit de doză pentru condiţii de transport de rutină, conform paragrafelor 524-526 din AIEA SSR-6; - coletul tip IP-2, suplimentar faţă de limitele pentru transportul în condiţii de rutină, când coletul a fost supus la testele specificate, va preveni creşterea cu mai mult de 20% a nivelului maxim de radiaţii pe orice suprafaţă externă, conform paragrafelor 622(b), 624(c)(ii), 625(c), 626(c), 627(c)(ii) şi 628(b)(ii) din AIEA SSR-6, după caz; - coletul tip IP-3, suplimentar faţă de limitele pentru transportul în condiţii de rutină, când coletul a fost supus la testele specificate, va preveni creşterea cu mai mult de 20% a nivelului maxim de radiaţii pe orice suprafaţă externă, conform paragrafelor 625(c), 626(c), 627(c)(ii), 628(b)(ii) şi 646(b), după caz. Pentru coletele tip IP-2 şi tip IP-3 se va acorda atenţie pentru a defini precis sistemul de reţinere din interiorul coletului, dacă este cazul. Dacă sunt utilizate metode de calcul, calculul termenului-sursă trebuie să ia în considerare interacţiile, emisiile secundare, factorii de multiplicare, acolo unde este relevant. Dacă sunt utilizate măsurători, măsurarea termenului-sursă trebuie să fie reprezentativă pentru conţinutul radioactiv al modelului de colet. Mai multe instrucţiuni şi ghiduri se găsesc în paragrafele corespunzătoare din AIEA SSG-26. |
|
2.2.5 |
Dacă este aplicabil, a se vedea şi anexa nr. 8 la normă. |
ANEXA Nr. 6la normă Coletul tip A Instrucţiuni suplimentare specifice pentru informaţiile solicitate în partea 1 şi în partea a 2-a a raportului de securitate pentru modelul de colet. Instrucţiuni şi ghiduri suplimentare pot fi găsite în AIEA SSG-26. Pentru coletele conţinând materiale fisile neexceptate trebuie consultată şi anexa nr. 8 la normă. Pentru coletele conţinând mai mult de 0,1 kg hexafluorură de uraniu trebuie consultată şi anexa nr. 9 la normă.
|
Partea 1 |
|
Capitolul |
Indicaţii |
|
1.1 |
Capitolul 1.1 trebuie inclus în raport. |
|
1.2 |
Capitolul 1.2 trebuie inclus în raport. La lit. e) trebuie demonstrată conformitatea cu cerinţele suplimentare pentru transportul pe calea aerului, a se vedea anexa nr. 1 la normă. |
|
1.3 |
Capitolul 1.3 trebuie inclus în raport. La lit. b) trebuie demonstrată conformitatea cu limitele de activitate pentru coletul tip A, conform paragrafelor 428-429 din AIEA SSR-6. La lit. c) există cerinţe suplimentare pentru conţinutul de lichide şi gaze. La lit. d) trebuie să existe un certificat valabil pentru materialul radioactiv sub formă specială. Lit. f) se include, dacă este aplicabilă. La lit. g), dacă coletul conţine materiale fisile exceptate, trebuie justificată conformitatea cu paragraful 417 din AIEA SSR-6. Dacă coletul conţine materiale fisile neexceptate, se aplică şi anexa nr. 8 la normă. |
|
1.4 |
Capitolul 1.4 trebuie inclus în raport, cu excepţia lit. (i). Cerinţa de la lit. e) poate fi demonstrată prin materialul radioactiv sub formă specială, dacă este cazul; a se vedea de asemenea cap. 1.3 lit. d). Cerinţa de la lit. g) trebuie inclusă, dacă se aplică, a se vedea anexa nr. 8 la normă. Cerinţa de la lit. h) trebuie inclusă, dacă se aplică, în legătură cu anexa nr. 8 sau 9 la normă. |
|
1.5 |
În capitolul 1.5 trebuie descrise principalele principii de proiectare şi caracteristici de performanţă ale modelului de colet pentru a întruni cerinţele de integritate ale sistemului de izolare şi reţinere şi a ecranării pentru coletul tip A în condiţii de transport de rutină, conform paragrafelor 606-619, 634-646 şi 524-526 din AIEA SSR-6. A se vedea şi paragrafele 647-649 pentru conţinut de lichide şi gaze, a se vedea anexa nr. 1 la normă. |
|
1.6 |
Paragrafele corespunzătoare, aşa cum sunt indicate în anexa nr. 1 la normă pentru coletul tip A, trebuie luate în considerare. |
|
1.7 |
Trebuie elaborate instrucţiuni corespunzătoare de utilizare a coletului care să acopere toate aspectele de la cap. 1.7. În particular, ar trebui incluse specificaţiile privind cerinţele de înşurubare a bolţurilor, numărul de cicluri utilizate în analiza fitingurilor pentru fiecare mod de transport. Suplimentar faţă de proprietăţile radioactive, orice proprietate periculoasă a conţinutului coletului trebuie luată în considerare, conform paragrafului 506 din AIEA SSR-6. Trebuie demonstrată conformitatea cu paragraful 635 din AIEA SSR-6. |
|
Partea 1 |
|
Capitolul |
Indicaţii |
|
1.8 |
Trebuie elaborate instrucţiuni corespunzătoare de întreţinere a coletului care să acopere toate aspectele de la cap. 1.8. |
|
1.9 |
Sistemul de management trebuie să fie corespunzător cu complexitatea modelului de colet şi trebuie să asigure că modelul de colet este proiectat şi testat astfel încât cerinţele de reglementare să fie îndeplinite. Acesta include un sistem adecvat de control al documentelor. Sistemul de management trebuie să asigure că cerinţele şi standardele pentru fabricare, inspecţie înainte de prima utilizare şi inspecţii ulterioare în timpul utilizării, pentru ambalaje cu utilizări repetate, întreţinerea, exploatarea, încărcarea, descărcarea sunt clar definite în raport. |
|
1.10 |
Capitolul 1.10 trebuie inclus în raport. |
|
Partea a 2-a |
|
Capitolul |
Indicaţii |
|
Secţiunea 2.1 |
Secţiunea 2.1 trebuie inclusă în raport, la un grad de detaliere corespunzător astfel încât să demonstreze conformitatea cu cerinţele pentru modelul de colet tip A. |
|
2.1.2 |
În capitolul 2.1.2 trebuie definite toate caracteristicile mecanice, termice etc. ale fiecărei componente a coletului. De exemplu: Conformitatea cu paragraful 637 trebuie să includă criterii pentru unele aspecte, cum ar fi: - dilatarea/contracţia unor componente faţă de funcţia lor structurală şi funcţiile de închidere; - descompunerea sau schimbarea stării materialelor componentelor în condiţii extreme; - proprietăţile tensile/ductile şi rezistenţa coletului; - proiectul de ecranare. |
|
2.1.4 |
Pentru analizele structurale, conformitatea cu paragraful 648(a) trebuie să includă un criteriu care să asigure că în condiţii normale de transport conţinutul radioactiv al coletului nu poate scăpa în cantităţi care ar putea să creeze pericole radiologice sau contaminări. A se vedea şi AIEA SSG-26 paragrafele 648.1-648.6. Trebuie demonstrată conformitatea testelor de cădere cu cerinţele de reglementare. Următoarele aspecte trebuie luate în considerare: - testele de cădere sunt efectuate conform unui program de asigurare a calităţii; - specimenele, prototipurile sau probele sunt reprezentative pentru colet; - testele de cădere sunt efectuate astfel încât să cauzeze deteriorarea maximă. Demonstrarea că orientarea, la testele de cădere, cauzează deteriorarea maximă a funcţiei testate (izolare, ecranare sau securitatea la criticitate) trebuie stabilită printr-un program de asigurare a calităţii. - ţinta pentru testele de cădere trebuie să fie conformă cu cerinţele aplicabile. Aceasta trebuie să fie o suprafaţă plană şi rigidă, o placă de oţel suficient de groasă prinsă pe un bloc de beton, suficient de masivă să evite deplasarea; - elaborarea unui raport al testului de cădere conform unui program de asigurare a calităţii, care să conţină verificarea coletului înainte de testare, echipamentele de măsurare şi calibrare a acestora, rezultatele măsurătorilor şi declaraţia că acestea corespund criteriilor prestabilite. Acest raport trebuie să conţină o poză care să arate şi să explice condiţiile în care au fost efectuate testele şi rezultatele acestora. Riscurile secundare trebuie luate în considerare pentru demonstrarea conformităţii. |
|
2.2.1 |
Capitolul 2.2.1 trebuie să conţină demonstrarea conformităţii cu condiţiile de transport de rutină şi normale, dar nu şi cerinţa de la lit. c). Cerinţa de la lit. a) poate fi demonstrată prin materialul radioactiv sub formă specială, dacă se aplică, conform paragrafului 640 din AIEA SSR-6. Analiza structurală trebuie să fie efectuată astfel încât să demonstreze că toate cerinţele de proiectare aplicabile conform paragrafelor 606-619, 634-646 şi, dacă se aplică, 647-649 din AIEA SSR-6, sunt întrunite. Orice şurub, piuliţă sau orice dispozitiv de reţinere trebuie să îşi păstreze funcţia de securitate în timpul transportului în condiţii de rutină şi normale, chiar şi după utilizări repetate. Trebuie luate în considerare temperatura şi presiunea, conform paragrafelor 637 şi 643 din AIEA SSR-6. Mai multe instrucţiuni şi ghiduri se găsesc în paragrafele corespunzătore din AIEA SSG-26, şi anume paragrafele 606.1-619.3 şi 634.1-649.3. Procedurile de testare trebuie să ia în considerare paragrafele 701-702, 713-715, 716 şi 719-724 din AIEA SSR-6. A se vedea şi paragraful 725 pentru teste suplimentare pentru coletele tip A destinate transportului de lichide şi de gaze. |
|
2.2.2 |
Capitolul 2.2.2 trebuie inclus în raport şi trebuie să fie conform cu condiţiile de transport de rutină şi normale, dar nu şi cerinţa de la lit. c). Analiza termică trebuie efectuată astfel încât să demonstreze că toate cerinţele de proiectare aplicabile privind aspectele termice, conform paragrafelor 606-619 şi 634-649, sunt întrunite, în particular paragrafele 612, 613, 615, 637, 646 şi 616-617, 640, 642 din AIEA SSR-6, dacă se aplică. Mai multe instrucţiuni şi ghiduri se găsesc în paragrafele corespunzătore din AIEA SSG-26, şi anume 606.1-619.3 şi 634.1-649.3. |
|
Partea 1 |
|
Capitolul |
Indicaţii |
|
2.2.3 |
Capitolul 2.2.3 trebuie inclus în raport şi trebuie să conţină demonstrarea că modelul de colet este conform condiţiilor de transport de rutină şi normale. Analiza termică trebuie efectuată astfel încât să demonstreze că toate cerinţele de proiectare aplicabile privind aspectele de integritate ale sistemului de izolare, conform paragrafelor 606-619 şi 634-649 din AIEA SSR-6, pot fi demonstrate, în particular paragrafele 639-643. Trebuie acordată atenţie definirii precise a conţinutului. Ipotezele şi demonstraţiile diferă în funcţie de conţinut. Trebuie acordată atenţie demonstrării abilităţii de a rezista la reducerea presiunii ambientale datorată altitudinii în timpul transportului, conform paragrafelor 643 şi 619 din AIEA SSR-6, dacă se aplică. Când materialul radioactiv sub formă specială este parte a sistemului de izolare, trebuie luată în considerare performanţa materialului radioactiv sub formă specială în condiţii de transport de rutină şi normale. Mai multe instrucţiuni şi ghiduri pot fi găsite în paragrafele corespunzătoare din AIEA SSG-26. |
|
2.2.4 |
Capitolul 2.2.4 trebuie să includă demonstraţia că modelul de colet este conform condiţiilor de transport de rutină şi normale. De văzut şi paragrafele 645 şi 645.1-645.2 din AIEA SSG-26. Dacă sunt utilizate metode de calcul, calculul termenului-sursă trebuie să ia în considerare interacţiile, emisiile secundare, factorii de multiplicare, acolo unde este relevant. Dacă sunt utilizate măsurători, măsurarea termenului-sursă trebuie să fie reprezentativă pentru conţinutul radioactiv al modelului de colet. Mai multe instrucţiuni şi ghiduri se găsesc în paragrafele corespunzătoare din AIEA SSG-26. Condiţii de transport de rutină Analiza de ecranare trebuie efectuată astfel încât să dovedească că toate cerinţele aplicabile privind nivelul de radiaţii sunt întrunite conform paragrafelor 525-526 din AIEA SSR-6. Condiţii de transport normale Dacă un colet a fost supus testelor specificate în paragrafele 719-724 din AIEA SSR-6, acest fapt va preveni creşterea cu mai mult de 20% a nivelului maxim de radiaţii la suprafaţa exterioară a coletului, conform paragrafului 646. Trebuie acordată atenţie definirii precise a sistemului de ancorare din interiorul coletului, cum ar fi sistemele pentru ancorarea obiectelor contaminate astfel încât să prevină orice deplasare a conţinutului care ar conduce la creşterea cu mai mult de 20% a nivelului maxim de radiaţii. |
|
2.2.5 |
Dacă este aplicabil, a se vedea şi anexa nr. 8 la normă. |
ANEXA Nr. 7la nomă Coletul tip B(U), B(M) şi C Instrucţiuni suplimentare specifice pentru informaţiile solicitate în partea 1 şi în partea a 2-a a raportului de securitate pentru modelul de colet Instrucţiuni şi ghiduri suplimentare se găsesc în AIEA SSG-26. Pentru coletele conţinând materiale fisile neexceptate trebuie consultată şi anexa nr. 8 la normă. Pentru coletele conţinând mai mult de 0,1 kg hexafluorură de uraniu trebuie consultată şi anexa nr. 9 la normă.
|
Partea 1 |
|
Capitolul |
Instrucţiuni |
|
1.1 |
Capitolul 1.1 trebuie inclus în raport. |
|
1.2 |
Capitolul 1.2 trebuie inclus în raport. |
|
1.3 |
Capitolul 1.3 trebuie inclus în raport, inclusiv cerinţa de la lit. g) când conţinutul este material fisil sau fisile exceptate. La lit. d) trebuie să existe un certificat valabil pentru materialul radioactiv sub formă specială, dacă modelul de colet este destinat transportului de materiale radioactive sub formă specială. Trebuie să existe un certificat valabil pentru materialul radioactiv cu dispersabilitate redusă dacă modelul de colet este utilizat pentru transportul unui astfel de material. Cerinţa de la lit. g), dacă coletul conţine materiale fisile exceptate, trebuie justificată conformitatea cu paragraful 417 din AIEA SSR-6. Dacă coletul conţine materiale fisile neexceptate, se aplică anexa nr. 8 la normă. Descrierea conţinutului şi a formei lui fizice, chimice şi radiologice trebuie să fie precisă, să permită demonstrarea conformităţii cu cerinţele de izolare, protecţie la radiaţii, securitate la criticitate şi protecţie împotriva căldurii generate. Descrierea trebuie să includă toate mărimile, dimensiunile, desenele şi proprietăţile mecanice care sunt utilizate în demonstrarea performanţelor de securitate. Descrierea trebuie să includă: - valorile A2 sau A1 ale conţinutului radioactiv; - gradul maxim de ardere şi timpul minim de răcire, dacă se aplică; - compoziţia şi masa materialelor hidrogenate care pot interacţiona cu conţinutul. Proprietăţile materialelor trebuie prezentate pentru domeniul de temperatură de la –40°C la temperatura maximă în condiţii normale de transport. |
|
Partea 1 |
|
Capitolul |
Instrucţiuni |
|
1.4 |
Capitolul 1.4 trebuie să includă demonstrarea că modelul de colet este conform, cu excepţia cerinţei de la lit. i). Cerinţa de la lit. e) poate fi demonstrată prin materialul radioactiv sub formă specială, dacă este cazul; a se vedea de asemenea comentariul de la cap. 1.3. lit. d). Cerinţa de la lit. g) trebuie inclusă, dacă se aplică, a se vedea anexa nr. 8 la normă. |
|
1.5 |
Capitolul 1.5 trebuie inclus în raport. |
|
1.6 |
Paragrafele corespunzătoare, aşa cum sunt indicate în anexa nr. 1 la normă, pentru coletul tip B(U), B(M) sau coletul tip C trebuie luate în considerare. |
|
1.7 |
Capitolul 1.7 trebuie inclus în raport. Descrierea detaliată a metodelor utilizate pentru controalele şi testele operaţionale, în particular acele cerinţe din paragrafele 501 (a), 502, 507, 521, 525 şi 526 din AIEA SSR-6. Pentru operarea uscată, metodele utilizate trebuie să prevină formarea gheţii. Pentru testul de etanşeitate, când sunt acceptate metodele utilizând criterii de destindere, trebuie implementate metode calificate pentru detectarea defectelor, care pot crea, în condiţii de operare, scăpări cu debite mai mari decât cele permise; a se vedea şi cap. 2.2.3. Absenţa defectelor trebuie verificată prin proceduri specifice de inspecţie. Trebuie specificat modul de control al înşurubării bolţurilor, a poziţiei corecte a capacului şi a reglării atmosferei şi a presiunii interne. |
|
1.8 |
Capitolul 1.8 trebuie inclus în raport. Descrierea detaliată a activităţilor de întreţinere, în particular: - controalele periodice ale componentelor sistemului de izolare (şuruburi, piuliţe, bolţuri, suduri, garnituri etc.); - controalele periodice ale sistemului de ancorare şi de manipulare ataşate. Definirea periodicităţii înlocuirii componentelor ambalajului Trebuie luată în considerare orice reducere a eficienţei datorată uzurii, coroziunii, îmbătrânirii şi schimbărilor apărute în timp în etanşare etc. Se poate introduce în această secţiune justificarea periodicităţii controalelor. |
|
1.9 |
Capitolul 1.9 trebuie inclus în raport, de văzut paragraful 306 din AIEA SSR-6. Sistemul de management trebuie să fie corespunzător complexităţii modelului de colet, să asigure că modelul de colet este proiectat şi testat, după caz, să demonstreze îndeplinirea cerinţelor de reglementare. Acesta include un sistem adecvat de control al documentelor. Sistemul de management trebuie să asigure că cerinţele şi standardele pentru fabricare, inspecţie înainte de prima utilizare şi inspecţii ulterioare în timpul utilizării pentru ambalaje cu utilizări repetate, întreţinere, exploatare, încărcare, descărcare, transport sunt clar definite în raport. Acest capitol include: - descrierea principiilor şi a cerinţelor sistemului de management care au fost şi care vor fi aplicate la toate activităţile implicate în transportul de materiale radioactive şi/sau fisile. Aceasta trebuie să includă proiectul, inclusiv modificările de proiect, calificarea, studiile de securitate, fabricarea, punerea în funcţiune, pregătirea pentru transport, încărcarea, transportul, tranzitul, descărcarea, întreţinerea etc.; - definirea şi clasificarea fiecărei componente de securitate semnificativă, a fiecărei funcţii de securitate asociată, a parametrilor care garantează menţinerea acestor funcţii şi a nivelului de control din timpul fabricării; - justificarea alegerii şi calificarea codurilor de calcul utilizate pentru verificare. |
|
1.10 |
Capitolul 1.10 trebuie inclus în raport. |
|
Partea a 2-a |
|
Capitolul |
Indicaţii |
|
Secţiunea 2.1 |
Secţiunea 2.1 trebuie inclusă în raport, la un grad de detaliere corespunzător astfel încât să demonstreze conformitatea cu cerinţele pentru modelul de colet tip A. |
|
2.1.3 |
În capitolul 2.1.3 trebuie definite toate caracteristicile mecanice, termice etc. ale fiecărei componente a coletului. Conformitatea cu paragraful 637 trebuie să includă criterii pentru unele aspecte, cum ar fi: - dilatarea/contracţia componentelor cu funcţie structurală şi a celor care asigură închiderea; - descompunerea sau schimbarea stării materialelor componentelor în condiţii extreme; - proprietăţile tensile/ductile şi rezistenţa coletului; - proiectul de ecranare. |
|
2.1.4 |
Pentru analizele structurale, conformitatea cu paragraful 646(a) trebuie să includă un criteriu pentru a asigura că, în condiţii normale de transport, conţinutul radioactiv al coletului nu poate scăpa în cantităţi care ar putea să creeze pericole radiologice sau contaminări, a se vedea şi AIE ASSG-26 paragrafele 646.1 - 646.6. Trebuie demonstrată conformitatea testelor de cădere cu cerinţele de reglementarea, iar descrierea exhaustivă a testelor de cădere trebuie documentată. Următoarele aspecte trebuie luate în considerare: - testele de cădere sunt efectuate conform unui program de asigurare a calităţii; - specimenele, prototipurile sau probele sunt reprezentative pentru colet; - testele de cădere sunt efectuate astfel încât să cauzeze deteriorarea maximă. La testele de cădere demonstrarea că orientarea cauzează deteriorarea maximă a funcţiei testate, cum ar fi izolarea, ecranarea sau securitatea la criticitate, trebuie stabilită printr-un program de asigurare a calităţii; - ţinta pentru testele de cădere trebuie să fie conformă cu cerinţele aplicabile. Aceasta trebuie să fie o suprafaţă plană şi rigidă, şi anume o placă de oţel suficient de groasă prinsă pe un bloc de beton, suficient de masivă să evite deplasarea; |
|
Partea 2 |
|
Capitolul |
Instrucţiuni |
|
|
- elaborarea unui raport al testului de cădere conform unui program de asigurare a calităţii, care să conţină verificarea coletului înainte de testare, echipamentele de măsurare şi calibrare a acestora, rezultatele măsurătorilor şi declaraţia că acestea corespund criteriilor prestabilite. Acest raport trebuie să conţină o poză care să arate şi să explice condiţiile în care au fost efectuate testele, precum şi rezultatele acestora. Riscurile secundare trebuie luate în considerare în demonstrarea conformităţii. |
|
2.2.1 |
Capitolul 2.2.1 trebuie să conţină demonstrarea că modelul de colet este conform condiţiilor de transport de rutină şi normale, dar nu şi pentru cerinţa de la lit. c). Cerinţa de la lit. a) poate fi demonstrată prin materialul radioactiv sub formă specială, dacă este aplicabil conform paragrafului 640. Analiza structurală trebuie să fie efectuată astfel încât să demonstreze că toate cerinţele de proiectare aplicabile, conform paragrafelor 606-619, 634-646, şi, dacă se aplică, 647-649 din AIEA SSR-6, sunt întrunite. Trebuie acordată atenţie fiecărui şurub, fiecărei piuliţe sau oricărui dispozitiv de reţinere ca să îşi păstreze funcţia de securitate în timpul transportului în condiţii de rutină şi normale, chiar şi după utilizări repetate. Trebuie luate în considerare temperatura şi presiunea, conform paragrafelor 637 şi 643. Mai multe instrucţiuni şi ghiduri pot fi găsite în paragrafele corespunzătoare din AIEA SSG-26 paragrafele 606.1-619.3 şi paragrafele 634.1-649.3. Procedurile de testare trebuie să ia în considerare paragrafele 701-702, 713-715, 716 şi 719-724. De văzut şi paragraful 725 pentru teste suplimentare pentru coletele tip A destinate transportului de lichide şi de gaze. |
|
2.2.2 |
Capitolul 2.2.2 trebuie inclus în raport. Capitolul trebuie să includă demonstrarea că modelul de colet este conform cu condiţiile de transport de rutină şi normale, dar nu şi pentru cerinţa de la lit. c). Analiza termică trebuie efectuată astfel încât să demonstreze că toate cerinţele de proiectare aplicabile privind aspectele termice, conform paragrafelor 606-619 şi 634-649, sunt întrunite, în particular paragrafele 612, 613, 615, 637, 646 şi 616-617, 640, 642, dacă se aplică. Mai multe instrucţiuni şi ghiduri pot fi găsite în paragrafele corespunzătoare din AIEA SSG-26 paragrafele 606.1-619.3 şi paragrafele 634.1-649.3. |
|
2.2.3 |
Capitolul 2.2.3 trebuie inclus în raport. Capitolul trebuie să includă demonstrarea că modelul de colet este conform cu condiţiile de transport de rutină şi normale. Analiza termică trebuie efectuată astfel încât să demonstreze că toate cerinţele de proiectare aplicabile privind aspectele de integritate ale sistemului de izolare, conform paragrafelor 606-619 şi 634-649, pot fi demonstrate, în particular paragrafele 639-643. Trebuie acordată atenţie definirii precise a conţinutului. Ipotezele şi demonstraţiile diferă în funcţie de conţinut. Trebuie acordată atenţie pentru demonstrarea abilităţii de a rezista la reducerea presiunii ambientale datorată altitudinii în timpul transportului, a se vedea paragrafele 643 şi 619, dacă se aplică. Când materialul radioactiv sub formă specială este parte a sistemului de izolare, trebuie luată în considerare performanţa corespunzătoare a materialului radioactiv sub formă specială în condiţii de transport de rutină şi normale. Mai multe instrucţiuni şi ghiduri pot fi găsite în paragrafele corespunzătoare din AIEA SSG-26. |
|
2.2.4 |
Capitolul 2.2.4 trebuie inclus în raport. Capitolul trebuie să includă demonstrarea că modelul de colet este conform condiţiilor de transport de rutină şi normale. De văzut şi paragrafele 645 645.1-645.2 din AIEA SSG-26. Dacă sunt utilizate metode de calcul, calculul termenului-sursă trebuie să ia în considerare, acolo unde este relevant, interacţiile, emisiile secundare, factorii de multiplicare. Dacă sunt utilizate măsurători, măsurarea termenului-sursă trebuie să fie reprezentativă pentru conţinutul radioactiv al modelului de colet. Mai multe instrucţiuni şi ghiduri pot fi găsite în paragrafele corespunzătore din AIEA SSG-26. Condiţii de transport de rutină Analiza de ecranare trebuie efectuată astfel încât să dovedească că toate cerinţele aplicabile privind nivelul de radiaţii sunt întrunite conform paragrafelor 525-526 din AIEA SSR-6. Condiţii de transport normale Dacă un colet a fost supus testelor specificate în paragrafele 719-724 din AIEA SSR-6, va preveni creşterea cu mai mult de 20% a nivelului maxim de radiaţii la suprafaţa exterioară a coletului conform paragraful 646. Dacă este aplicabil, trebuie definit exact sistemul de ancorare din interiorul coletului, pentru a preveni orice deplasare a conţinutului care ar conduce la creşterea cu mai mult de 20% a nivelului maxim de radiaţii. |
|
2.2.5 |
Dacă este aplicabil, a se vedea şi anexa nr. 8 la normă. |
ANEXA Nr. 8la normă Coletul pentru transportul materialelor fisile Instrucţiuni suplimentare specifice pentru informaţiile solicitate în partea 1 şi în partea a 2-a a raportului de securitate pentru modelul de colet Acestea se aplică suplimentar faţă de acele paragrafe care aparţin coletelor definite prin conţinutul radioactiv, de văzut anexele nr. 4-7 la normă. Instrucţiuni şi ghiduri suplimentare pot fi găsite în AIEA SSG-26.
|
Partea 1 |
|
Capitolul |
Instrucţiuni |
|
1.2 |
Capitolul 1.2 trebuie inclus în raport. Cerinţa de la lit. e) trebuie demonstrată, dacă se transportă pe calea aerului, atunci se testează conform cerinţelor din AIEA SSR-6 - paragraful 680(a) şi (b) pentru un colet individual. |
|
1.3 |
Capitolul 1.3 trebuie inclus în raport. Cerinţele de la art. 13 alin. (2) lit. c) şi i) - Securitatea la criticitate poate varia sensibil la aranjamentul geometric, la prezenţa moderatorului şi a reflectorului. Acestea trebuie luate în considerare la descrierea conţinutului permis şi a celui nepermis. Cerinţa de la lit. g) trebuie inclusă în raport. Trebuie descrise cantităţile de nuclizi capabili să susţină reacţia, care nu sunt definiţi ca fisili, dacă anumite actinide sunt prezente în cantităţi suficiente sau concentraţii să mărească factorul de multiplicare la neutroni, concentraţia acestora şi/sau cantităţile trebuie definite. Toate variantele de conţinut trebuie definite. |
|
1.4 |
Capitolul 1.4 lit. g) trebuie inclus în raport. |
|
1.5 |
Capitolul 1.5 trebuie inclus în raport. Toate ipotezele privind starea coletului utilizat în evaluarea de criticitate pentru condiţii de transport normale şi de accident trebuie listate şi bine justificate. Condiţiile privind componentele sistemului de confinare în condiţii normale şi de accident trebuie să fie derivate din proiect. Pentru demonstrarea comportării coletului în condiţiile acestor teste trebuie luate în considerare ipoteze conservative, iar conservatorismul acestora să fie prezentat. Adesea condiţiile de testare conduc la deteriorarea maximă în termeni de activitate eliberată sau creşterea debitului de doză, şi nu de multiplicare maximă de neutroni. De aceea, pentru evaluarea securităţii la criticitate pot fi necesare teste suplimentare. Pentru orice parametru nejustificat trebuie identificată valoarea care conduce la multiplicare maximă de neutroni şi aceasta trebuie utilizată în evaluarea securităţii la criticitate. Pentru cazurile în care umplerea totală sau parţială cu apă este importantă pentru securitatea la criticitate, atunci starea de umplere luată în considerare, precum şi cele excluse din evaluare trebuie descrise şi justificate. |
|
1.6 |
Capitolul 1.6 trebuie inclus în raport. Paragrafele corespunzătoare, aşa cum sunt indicate în anexa nr. 1 la normă, pentru coletul tip B(U), B(M) sau coletul tip C trebuie luate în considerare. |
|
1.7 |
Capitolul 1.7 trebuie inclus în raport, în special cerinţa de la lit. b). De verificat prezenţa barelor de absorbţie sau selectarea structurilor interne cu un conţinut corect de absorbant de neutroni, dacă este aplicabil. |
|
Partea a 2-a |
|
Capitolul |
Instrucţiuni |
|
Secţiunea 2.1 |
Secţiunea 2.1 trebuie inclusă în raport. Informaţii şi ghiduri privind securitatea la criticitate sunt prevăzute în anexa VI a documentului AIEA SSG-26. |
|
2.2.1 |
Capitolul 2.2.1 trebuie să includă demonstrarea cerinţelor de la lit. c) şi d). Aceasta include stabilitatea mecanică a materialului fisil şi a oricărei structuri care este utilizată să îi menţină geometria, dacă este necesară pentru evaluarea securităţii la criticitate. Alte elemente importante pentru securitatea la criticitate care trebuie considerate ar fi, de exemplu, pătrunderea apei sau scurgerea apei parţial sau total din colet, rearanjarea materialului fisil şi degradarea absorbanţilor de neutron. Dacă coletul este destinat transportului pe calea aerului, se aplică cerinţele din AIEA SSR-6 paragraful 680 (a) şi (b) pentru un singur colet, iar paragraful 682 (b) pentru un aranjament de colete în condiţii de accident. Cerinţele din paragraful 634 se aplică şi trebuie demonstrate. A se vedea şi instrucţiunile de la capitolul 1.5. |
|
2.2.2 |
Trebuie incluse cerinţele de la lit. (c) şi (d). A se vedea şi instrucţiunile de la 2.2.1. |
|
Partea a 2-a |
|
Capitolul |
Instrucţiuni |
|
2.2.5 |
Capitolul 2.2.5 trebuie inclus în raport. A se vedea şi instrucţiunile de la 1.3, 1.5, 2.1 şi 2.2.1. Trebuie luate în considerare în analiza de criticitate următoarele aspecte, dacă este aplicabil, această listă nefiind exhaustivă: A) Conţinutul (i) Trebuie justificate toate configuraţiile posibile cu oricare geometrie sau caracteristici fizice, cum ar fi toleranţe, poziţia componentelor, densitate în condiţii normale şi de accident. (ii) Dacă sunt prezente în colet materiale a căror concentraţie în hidrogen este mai mare decât cea a apei, demonstrarea securităţii la criticitate trebuie să ia în considerare aceste materiale. (iii) Dacă ar putea exista în colet uraniu natural sau uraniu sărăcit trebuie luat în considerare în justificarea securităţii la criticitate cu ipoteze corespunzătoare faţă de cantităţi sau amplasare. B) Configuraţii analizate (i) Trebuie demonstrată menţinerea subcriticităţii coletelor în izolare în condiţii de transport normale, de rutină şi de accident, precum şi pentru aranjamente de colete în condiţii de transport normale şi de accident. (ii) Pentru coletele cu componente speciale care previn infiltrarea de apă trebuie considerate pentru analiza de securitate la criticitate pentru un colet individual în izolare, conform paragrafului 677 din AIEA SSR-6: - criteriul pentru etanşarea la apă trebuie definit şi justificat în raportul de securitate al modelului de colet de către proiectantul coletului şi acceptat de către CNCAN. Acest criteriu trebuie stabilit astfel încât să prevină infiltrarea unei anumite cantităţi de apă care ar influenţa evaluarea de securitate la criticitate. Trebuie luate în considerare condiţiile de testare definite în AIEA SSR-6 paragraful 677; - solicitantul trebuie să garanteze securitatea la criticitate a unui colet nedeteriorat, în izolare, cu o penetraţie de apă care să acopere evenimente ce pot apărea în timpul pregătirii coletului, inclusiv cele apărute din cauza erorilor umane. (iii) Referitor la transportul pe calea aerului, coletele deteriorate în izolare trebuie evaluate pentru deteriorarea rezultată pentru testele de la coletele tip C reflectate de un strat de 20 cm de apă, fără infiltrarea de apă. În cazul absenţei oricărei demonstraţii asupra conţinutului şi comportării mecanice a ambalajului, configuraţia tipică a ecranului trebuie considerată astfel: - materiale fisile, fără considerarea infiltrării de apă din exterior în colet, în formă sferică reflectată de un strat de apă de 20 cm; - materiale fisile în formă sferică, fără considerarea infiltrării de apă din exterior în colet, înconjurat de un material reflector, cum ar fi oţel, plumb etc., şi reflectat de 20 cm de apă; - materiale fisile amestecate cu materialul moderator al coletului, reflectat de 30 cm de apă. (iv) În modelare, toate elementele structurilor, cu excepţia oţelului sau altor materiale de tipul aluminiu, titan etc., care pot conduce la creşterea multiplicării de neutron trebuie luate în considerare. (v) Solicitantul trebuie să verifice calificarea instrumentelor de calcul al criticităţii şi trebuie să specifice configuraţiile critice ale transporturilor planificate. Trebuie acordată o atenţie deosebită mediilor, cum ar fi mediile puţin moderate, ansambluri de combustibil etc., pentru care calificarea de bază nu este suficient dezvoltată şi pentru care se impune utilizarea unor modele de calcul care sunt suficient de conservative şi care furnizează margini astfel încât să compenseze lipsa calificării, dacă este cazul. (vi) Când este cazul, justificarea trebuie să ia în considerare toate domeniile posibile de masă a moderatorului. Trebuie luate în considerare condiţii de transport credibile care pot conduce la grade diferite de scufundare a coletelor care să influenţeze multiplicarea neutronilor. (vii) Pentru anumite configuraţii pentru care interacţiile pot fi dominante, este recomandată studierea impactului diferitelor densităţi ale mediului fisil. (viii) considerarea formelor neomogene ale materialului fisil (ix) Pentru combustibilul uzat care conţine iniţial plutoniu trebuie luat în considerare un nivel de iradiere conservativ care consideră posibila evoluţie a reactivităţii în timpul iradierii. C) Deteriorări considerate (i) Absenţa sau mărimea deteriorării trebuie derivată din mărimea deteriorării materialului fisil în condiţii de transport normale sau din analizele termice şi structurale, după caz, a se vedea cap. 2.2.1 şi 2.2.2. (ii) Absenţa sau mărimea deteriorării structurii interioare a coletului în condiţii de transport normale şi de accident trebuie să fie derivată din analizele termice şi structurale, după caz, a se vedea şi cap. 2.2.1 şi 2.2.2. (iii) Trebuie luată în considerare orice deteriorare a materialelor moderatorului în condiţii de accident. |
ANEXA Nr. 9la normă Coletul care conţine mai mult de 0,1 kg de hexafluorură de uraniu Instrucţiuni suplimentare specifice pentru informaţiile solicitate în partea 1 şi în partea a 2-a a raportului de securitate pentru modelul de colet Acestea se aplică în plus faţă de acele articole identificate pentru coletele definite cu conţinut radioactiv sau fisil, de văzut şi anexele nr. 4-8 la normă. Instrucţiuni şi ghiduri suplimentare sunt în AIEA SSG-26.
|
Partea 1 |
|
Capitolul |
Instrucţiuni |
|
1.1 |
Capitolul 1.1 trebuie inclus în raport. |
|
1.2 |
Capitolul 1.2 trebuie inclus în raport. |
|
1.3 |
Capitolul 1.3 trebuie inclus în raport, cu excepţia lit. f). Capitolul trebuie să reflecte limitele derivate din toate analizele din partea a 2-a; unele dintre aceste paragrafe pot fi în conflict cu exemplele de temperatură şi conţinut radioactiv permis şi lanţul de dezintegrare. |
|
1.4 |
Trebuie luate în considerare anexele relevante pentru modelul de colet exceptat conform lit. g). |
|
1.5 |
Trebuie luate în considerare anexele relevante pentru modelul de colet. |
|
1.6 |
Trebuie luate în considerare anexele relevante pentru modelul de colet. |
|
1.7 |
Capitolul 1.7 trebuie să fie conform cu paragraful 420 din AIEA SSR-6. |
|
1.8 |
Capitolul 1.8 trebuie să fie conform cu standardul ISO 7195 şi cu paragraful 629 din AIEA SSR-6. |
|
1.9 |
Trebuie luate în considerare anexele relevante pentru modelul de colet. |
|
1.10 |
Capitolul 1.10 trebuie inclus în raport. |
|
Partea a 2-a |
|
Capitolul |
Instrucţiuni |
|
Secţiunea 2.1 |
Trebuie luate în considerare anexele relevante pentru modelul de colet. |
|
2.2.1 |
Coletul trebuie să fie conform cu paragraful 630 a) and b) din AIEA SSR-6. |
|
2.2.2 |
Coletul trebuie să fie conform cu paragraful 630 c) din AIEA SSR-6. |
|
2.2.3 |
Trebuie luate în considerare anexele relevante pentru modelul de colet. |
|
2.2.4 |
Trebuie luate în considerare anexele relevante pentru modelul de colet. |
|
2.2.5 |
Trebuie luate în considerare anexele relevante pentru modelul de colet. |
|