Anunţă-mă când se modifică Fişă act Comentarii (0) Trimite unui prieten Tipareste act

Decizia Nr.245 din 21.05.2013

referitoare la excepţia de neconstituţionalitate a dispoziţiilor art. 31 din Ordonanţa de urgenţă a Guvernului nr. 77/2011 privind stabilirea unei contribuţii pentru finanţarea unor cheltuieli în domeniul sănătăţii
ACT EMIS DE: Curtea Constitutionala
ACT PUBLICAT ÎN MONITORUL OFICIAL NR. 430 din 15 iulie 2013



SmartCity1


Augustin Zegrean - preşedinte
Aspazia Cojocaru - judecător
Acsinte Gaspar - judecător
Petre Lăzăroiu - judecător
Mircea Ştefan Minea - judecător
Iulia Antoanella Motoc - judecător
Ion Predescu - judecător
Puskás Valentin Zoltán - judecător
Tudorel Toader - judecător
Ioniţa Cochinţu - magistrat-asistent

Cu participarea reprezentantului Ministerului Public, procuror Carmen-Cătălina Gliga.Pe rol se află soluţionarea excepţiei de neconstituţionalitate a dispoziţiilor art. 31 din Ordonanţa de urgenţă a Guvernului nr. 77/2011 privind stabilirea unei contribuţii pentru finanţarea unor cheltuieli în domeniul sănătăţii, excepţie ridicată de Societatea Comercială „Terapia“ - S.A. cu sediul în ClujNapoca, în nume personal, precum şi în numele Societăţii Comerciale Ranbaxy UK LTD şi Societăţii Comerciale Daiichi Sankyo Europe GmbH, în calitate de reprezentant legal, în Dosarul nr. 5.492/2/2012 al Curţii de Apel Bucureşti - Secţia a VIII-a contencios administrativ şi fiscal şi care formează obiectul Dosarului Curţii Constituţionale nr. 111D/2013.La apelul nominal se prezintă, pentru autoarele excepţiei de neconstituţionalitate, avocat Răducanu Rareş, cu împuternicire avocaţială depusă la dosar, şi, pentru partea Casa Naţională de Asigurări de Sănătate, consilierii juridici Anca Raiciu şi Niculae Constantin Robert, cu delegaţie depusă la dosar.Procedura de citare este legal îndeplinită.Cauza fiind în stare de judecată, preşedintele acordă cuvântul reprezentanţilor părţilor. Reprezentantul autoarelor excepţiei de neconstituţionalitate arată că aceasta vizează, în principal, dispoziţiile art. 31 din Ordonanţa de urgenţă a Guvernului nr. 77/2011 şi, în subsidiar, întreg actul normativ.În susţinerea neconstituţionalităţii prevederilor criticate arată că există o discriminare între producători şi distribuitori, farmacii şi spitale. Astfel, se încalcă art. 56 alin. (2) din Constituţie, întrucât plătitorii taxei clawback suportă o sarcină fiscală care nu reprezintă doar o consecinţă a propriilor beneficii pe care le obţin din comercializarea de medicamente compensate, ci şi o consecinţă a beneficiilor obţinute de distribuitorii şi de farmaciile care se interpun în circuitul comercial al medicamentelor compensate. Ca atare, nu se aplică taxa clawback doar la preţul cu care medicamentul este pus pe piaţă, ci preţului final care include şi adaosurile. Astfel, se pune întrebarea cât de justă este această sarcină fiscală asupra căreia nu există nicio predictibilitate şi care, în final, duce la încălcarea dispoziţiilor art. 135 din Constituţie referitoare la economia de piaţă.În final, solicită admiterea excepţiei de neconstituţionalitate, având în vedere prevederile constituţionale privind justa aşezare a sarcinilor fiscale, nediscriminarea şi economia de piaţă, precum şi celelalte critici formulate în motivarea acesteia. De asemenea, depune concluzii scrise.Reprezentantul Casei Naţionale de Asigurări de Sănătate, domnul Niculae Constantin Robert, arată că modalitatea de stabilire a contribuţiei clawback a mai făcut obiectul excepţiei de neconstituţionalitate, sens în care invocă jurisprudenţa Curţii Constituţionale în materie.De asemenea, arată că, potrivit prevederilor constituţionale ale art. 34, dreptul la ocrotirea sănătăţii este garantat, statul fiind obligat să ia măsuri pentru asigurarea sănătăţii publice. Or, prin introducerea acestei noi surse de contribuţii, care se constituie venit la bugetul Fondului naţional unic de asigurări sociale de sănătate, s-a urmărit tocmai asigurarea unui acces neîntrerupt al populaţiei la medicamente.În continuare arată că dispoziţiile criticate impun în mod nediferenţiat tuturor contribuabililor vizaţi de acestea obligaţia de a plăti această taxă clawback. Totodată, explică modul de calcul al taxei potrivit normelor legale în vigoare, arătând că preţul de distribuţie al medicamentelor este însă limitat. Astfel, din coroborarea prevederilor legale în materie, reiese că între deţinătorii de autorizaţii de punere pe piaţă a medicamentelor şi distribuitor nu există identitate de cauză, deoarece, pe de o parte, preţul de producător este propus de deţinătorul de autorizaţie de punere pe piaţă (APP) sau de reprezentant, fără ca acesta să depăşească cel mai mic preţ sau să fie cel mult egal cu cel mai mic preţ al aceluiaşi medicament din ţările menţionate în Ordinul ministrului sănătăţii nr. 75/2009 pentru aprobarea Normelor privind modul de calcul al preţurilor la medicamentele de uz uman. Pe de altă parte, preţul de distribuţie al medicamentelor este limitat, potrivit art. 20 al ordinului menţionat anterior, la maximum 35 de lei, adaos ce include toate cheltuielile de distribuţie.În final, solicită respingerea excepţiei de neconstituţionalitate astfel cum a fost formulată, întrucât nu sunt încălcate prevederile constituţionale invocate în susţinerea acesteia.Reprezentantul Ministerului Public pune concluzii de admitere a excepţiei de neconstituţionalitate, sens în care arată că dispoziţiile criticate ridică o problemă de constituţionalitate din perspectiva art. 16 din Constituţie, prin omisiunea de a trata în mod egal situaţii juridice care, în funcţie de scopul urmărit, nu sunt diferite.În ceea ce priveşte celelalte critici, pune concluzii de respingere a excepţiei de neconstituţionalitate, sens în care apreciază că sunt valabile considerentele reţinute de Curtea Constituţională în jurisprudenţa sa în materie.CURTEA,având în vedere actele şi lucrările dosarului, constată următoarele:Prin Încheierea din 12 februarie 2013, pronunţată în Dosarul nr. 5.492/2/2012, Curtea de Apel Bucureşti - Secţia a VIII-a contencios administrativ şi fiscal a sesizat Curtea Constituţională cu excepţia de neconstituţionalitate a dispoziţiilor art. 31 din Ordonanţa de urgenţă a Guvernului nr. 77/2011 privind stabilirea unei contribuţii pentru finanţarea unor cheltuieli în domeniul sănătăţii, excepţie ridicată de Societatea Comercială „Terapia“ - S.A. cu sediul în Cluj-Napoca, în nume personal, precum şi în numele Societăţii Comerciale Ranbaxy UK LTD şi Societăţii Comerciale Daiichi Sankyo Europe GmbH, în calitate de reprezentant legal, într-o cauză având ca obiect soluţionarea cererii de anulare a unor notificări comunicate în temeiul Ordonanţei de urgenţă a Guvernului nr. 77/2011.În motivarea excepţiei de neconstituţionalitate autoarele acesteia susţin, în esenţă, următoarele:1. Dispoziţiile art. 1 şi 3 din Ordonanţa de urgenţă a Guvernului nr. 77/2011 impun în mod nediferenţiat tuturor contribuabililor vizaţi de acest act normativ - deţinătorii de autorizaţii de punere pe piaţă, respectiv reprezentanţii legali ai acestora - obligaţia de a plăti o taxă calculată asupra unei valori - consumul total de medicamente - care include între altele şi consumul de medicamente din cadrul unor programe naţionale la care respectivii contribuabili nu participă în nicio modalitate. Se mai susţine că obligarea unui anumit contribuabil la plata unei taxe calculate asupra bazei de calcul care include şi valori care nu pot fi ataşate în niciun fel activităţii debitorului taxei este în mod evident contrară art. 16 alin. (1) din Constituţie, precum şi principiului justei aşezări a sarcinilor fiscale.2. Taxa de clawback se constituie într-o taxă aplicabilă, între altele, asupra unei alte taxe, respectiv taxa pe valoarea adăugată. În speţă, în cazul medicamentelor care se comercializează pe bază de prescripţie medicală, contribuabilii taxei clawback suportă o sarcină fiscală care nu reprezintă doar o consecinţă a beneficiilor pe care ei înşişi le obţin din comercializarea medicamentelor compensate, ci şi o consecinţă a beneficiilor obţinute de distribuitorii şi de farmaciile care se interpun în circuitul comercial al acestor medicamente. Or, această împrejurare este contrară principiului justei aşezări a sarcinilor fiscale instituit de art. 56 alin. (2) din Constituţie, care trebuie interpretat în sensul că un contribuabil poate fi obligat să suporte numai sarcini fiscale aferente propriei activităţi ori unor beneficii proprii, producând consecinţe nefaste faţă de destinatarii acestei taxe, de natură să elimine distribuitorii de medicamente de pe piaţă, astfel blocându-se accesul pacienţilor la medicamente compensate.3. Ordonanţa de urgenţă a Guvernului nr. 77/2011 este contrară dispoziţiilor constituţionale referitoare la delegarea legislativă, deoarece, în cazul de faţă, situaţia extraordinară şi urgenţa sunt doar proclamate în preambulul ordonanţei de urgenţă, fără a fi motivate şi fără a fi precizat vreun element cuantificabil, obiectiv prin care să se demonstreze felul în care ar fi perturbată funcţionarea sistemului de sănătate prin neemiterea acestei ordonanţe de urgenţă, neprecizându-se nici de ce o asemenea reglementare este urgentă şi nu poate fi amânată.Totodată, se arată că prin obiectul de reglementare ordonanţa de urgenţă criticată contravine şi jurisprudenţei Curţii Constituţionale, care a statuat că urgenţa reglementării nu echivalează cu existenţa situaţiei extraordinare, reglementarea operativă putându-se realiza şi pe calea procedurii obişnuite de legiferare.Curtea de Apel Bucureşti - Secţia a VIII-a contencios administrativ şi fiscal, exprimându-şi opinia asupra excepţiei de neconstituţionalitate ridicate, arată următoarele:excepţia de neconstituţionalitate nu este întemeiată, având în vedere situaţiile de urgenţă care au determinat adoptarea actului normativ, astfel cum acestea sunt prevăzute în partea introductivă a ordonanţei criticate, precum şi faptul că modalitatea de reglementare a mecanismului de impunere şi colectare a contribuţiei şi consecinţele neexecutării obligaţiilor nu sunt de natură să aducă atingere prevederilor invocate în susţinerea excepţiei;

cu privire la pretinsa încălcare a prevederilor art. 115 alin. (4) şi (6) din Constituţie, se consideră că este neîntemeiată, întrucât intervenţia legislativă sub forma adoptării unei ordonanţe de urgenţă este justificată, fiind determinată de necesitatea satisfacerii unui interes public constând în asigurarea accesului neîntrerupt al populaţiei la medicamente, neadoptarea unor măsuri în procedură de urgenţă fiind de natură să conducă la imposibilitatea desfăşurării corespunzătoare a activităţilor din domeniul sanitar;

în ceea ce priveşte pretinsa încălcare a prevederilor art. 16 alin. (1) din Constituţie, se constată că în art. 3 din ordonanţa de urgenţă se menţionează faptul că această contribuţie trimestrială se calculează prin aplicarea unui procent „p“ asupra valorii consumului de medicamente suportate din Fondul naţional unic de asigurări sociale de sănătate şi din bugetul Ministerului Sănătăţii, consum aferent vânzărilor fiecărui plătitor de contribuţie. Prin urmare, se realizează o diferenţiere între plătitorii de taxă prin raportare la vânzările fiecărui plătitor. De altfel, în art. 31 din Ordonanţa de urgenţă a Guvernului nr. 77/2011 este menţionată formula prin care se calculează contribuţia trimestrială (Ctd) datorată de fiecare plătitor, fiind indicate criterii care diferenţiază plătitorii între ei. prevederile art. 3 nu contravin dispoziţiilor constituţionale ale art. 34, întrucât prin introducerea acestei noi surse de contribuţii s-a urmărit asigurarea unui acces neîntrerupt al populaţiei la medicamente cu şi fără contribuţie personală;

referitor la pretinsa încălcare a prevederilor art. 56 alin. (2) din Constituţie, se apreciază că formula de calcul al contribuţiei trimestriale (Ctd) datorate de fiecare plătitor este indicată în art. 31. Or, calculul contribuţiei trimestriale (Ctd) datorate de fiecare plătitor are în vedere valoarea vânzărilor individuale de medicamente aferente acestuia, şi nu valoarea consumului de medicamente comercializate de un plătitor. Prin urmare, ceea ce prezintă relevanţă la calcularea taxei este valoarea la care acesta a vândut medicamentele.Totodată, aşa cum rezultă din art. 31 alin. (5), prin valoarea vânzărilor, în sensul alin. (1)-(3) se înţelege valoarea medicamentelor suportate, potrivit legii, din Fondul naţional unic de asigurări sociale de sănătate şi din bugetul Ministerului Sănătăţii, care include şi taxa pe valoarea adăugată. Calcularea taxei prevăzute de ordonanţa de urgenţă prin raportare la valoarea vânzărilor cu includerea taxei pe valoarea adăugată are în vedere scopul diferit pentru care sunt încasate cele două contribuţii. Potrivit dispoziţiilor art. 30 alin. (1) din Legea nr. 47/1992, încheierea de sesizare a fost comunicată preşedinţilor celor două Camere ale Parlamentului, Guvernului şi Avocatului Poporului, pentru a-şi exprima punctele de vedere asupra excepţiei de neconstituţionalitate. Guvernul apreciază că excepţia de neconstituţionalitate este inadmisibilă, sens în care invocă jurisprudenţa Curţii Constituţionale în materie. Preşedinţii celor două Camere ale Parlamentului şi Avocatul Poporului nu au comunicat punctele lor de vedere cu privire la excepţia de neconstituţionalitate. CURTEA, examinând încheierea de sesizare, raportul întocmit de judecătorul-raportor, punctul de vedere al Guvernului, susţinerile părţilor prezente, concluziile procurorului, notele scrise depuse, dispoziţiile legale criticate, raportate la prevederile Constituţiei, precum şi Legea nr. 47/1992, reţine următoarele: Curtea Constituţională a fost legal sesizată şi este competentă, potrivit dispoziţiilor art. 146 lit. d) din Constituţie, precum şi ale art. 1 alin. (2), ale art. 2, 3, 10 şi 29 din Legea nr. 47/1992, să soluţioneze prezenta excepţie. Obiectul excepţiei de neconstituţionalitate astfel cum reiese din încheierea de sesizare îl constituie dispoziţiile art. 31 din Ordonanţa de urgenţă a Guvernului nr. 77/2011 privind stabilirea unei contribuţii pentru finanţarea unor cheltuieli în domeniul sănătăţii, publicată în Monitorul Oficial al României, Partea I, nr. 680 din 26 septembrie 2011, care au următorul cuprins:

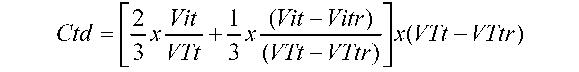
Art. 31 - „(1) Începând cu trimestrul I al anului 2012 contribuţia trimestrială, denumită în continuare Ctd, datorată de fiecare plătitor se calculează astfel: unde: Vit = valoarea vânzărilor individuale trimestriale de medicamente ale fiecărui plătitor de contribuţie, suportate din Fondul naţional unic de asigurări sociale de sănătate şi din bugetul Ministerului Sănătăţii; Vitr = valoarea vânzărilor de medicamente individuale trimestriale de referinţă ale fiecărui plătitor de contribuţie, suportate din Fondul naţional unic de asigurări sociale de sănătate şi din bugetul Ministerului Sănătăţii; VTt = valoarea vânzărilor totale trimestriale de medicamente suportate din Fondul naţional unic de asigurări sociale de sănătate şi din bugetul Ministerului Sănătăţii; VTtr = valoarea vânzărilor de medicamente totale trimestriale de referinţă suportate din Fondul naţional unic de asigurări sociale de sănătate şi din bugetul Ministerului Sănătăţii. (2) Valoarea vânzărilor de medicamente totale trimestriale de referinţă, suportate din Fondul naţional unic de asigurări sociale de sănătate şi din bugetul Ministerului Sănătăţii, este de 1.425 milioane lei. Această valoare poate fi majorată prin legile bugetare anuale.(3) Valoarea vânzărilor de medicamente individuale trimestriale de referinţă ale fiecărui plătitor de contribuţie, suportate din Fondul naţional unic de asigurări sociale de sănătate şi din bugetul Ministerului Sănătăţii (Vitr), se stabileşte de către Casa Naţională de Asigurări de Sănătate pe fiecare plătitor de contribuţie. Această valoare se calculează prin raportarea vânzărilor de medicamente ale fiecărui plătitor de contribuţie pe anul 2011 la totalul vânzărilor de medicamente, ce se suportă, potrivit legii, din Fondul naţional unic de asigurări sociale de sănătate şi din bugetul Ministerului Sănătăţii, aferente aceluiaşi an, şi înmulţirea rezultatului cu valoarea vânzărilor totale trimestriale de referinţă de 1.425 milioane lei.(4) Valoarea prevăzută la alin. (3) se comunică de către Casa Naţională de Asigurări de Sănătate fiecărui plătitor de contribuţie până la data de 15 martie 2012. Pentru plătitorii de contribuţie care nu au avut vânzări de medicamente suportate din Fondul naţional unic de asigurări sociale de sănătate şi din bugetul Ministerului Sănătăţii până la 31 decembrie 2011, valoarea vânzărilor individuale trimestriale de referinţă este egală cu zero.(5) Prin valoarea vânzărilor, în sensul alin. (1)-(3), se înţelege valoarea medicamentelor suportate, potrivit legii, din Fondul naţional unic de asigurări sociale de sănătate şi din bugetul Ministerului Sănătăţii, care include şi taxa pe valoarea adăugată.“*1În susţinerea neconstituţionalităţii acestor dispoziţii legale sunt invocate prevederile constituţionale ale art. 16 alin. (1) care dispun că „Cetăţenii sunt egali în faţa legii şi a autorităţilor publice, fără privilegii şi fără discriminări“, ale art. 34 privind dreptul la ocrotirea sănătăţii, ale art. 56 alin. (2) potrivit cărora „Sistemul legal de impuneri trebuie să asigure aşezarea justă a sarcinilor fiscale“, ale art. 115 alin. (4) şi (6) privind regimul ordonanţelor de urgenţă şi ale art. 135 privind economia. De asemenea, sunt menţionate dispoziţiile art. 14 din Convenţia pentru apărarea drepturilor omului şi a libertăţilor fundamentale, privind interzicerea discriminării. *1 Prin Decizia nr. 39 din 5 februarie 2013, publicată în Monitorul Oficial al României, Partea I, nr. 100 din 20 februarie 2013, Curtea a admis excepţia de neconstituţionalitate şi a constatat că sintagma „care include şi taxa pe valoarea adăugată“ din cuprinsul art. 31 alin. (5) al Ordonanţei de urgenţă a Guvernului nr. 77/2011, astfel cum a fost completată prin Ordonanţa de urgenţă a Guvernului nr. 110/2011, este neconstituţională. Examinând excepţia de neconstituţionalitate, Curtea reţine următoarele: I. Asupra dispoziţiilor Ordonanţei de urgenţă a Guvernului nr. 77/2011 privind stabilirea unei contribuţii pentru finanţarea unor cheltuieli în domeniul sănătăţii, în forma sa nemodificată, instanţa de contencios constituţional s-a mai pronunţat, raportat la critici şi prevederi constituţionale similare, prin Decizia nr. 1.007 din 27 noiembrie 2012, publicată în Monitorul Oficial al României, Partea I, nr. 878 din 21 decembrie 2012, Curtea respingând, ca inadmisibilă, excepţia de neconstituţionalitate. Considerentele avute în vedere la pronunţarea acestei decizii sunt valabile şi în prezenta cauză. Pentru a ajunge la această soluţie, Curtea a întreprins o analiză minuţioasă a Ordonanţei de urgenţă a Guvernului nr. 77/2011 în ansamblul său, precum şi asupra textelor contestate efectiv, respectiv art. 1 şi art. 3 din Ordonanţa de urgenţă a Guvernului nr. 77/2011 în forma sa nemodificată, reţinând în esenţă următoarele: 1. Subiecţii obligaţi la plata taxei de clawback sunt circumscrişi în sfera deţinătorilor de autorizaţii de punere pe piaţă a medicamentelor, care pot fi atât producătorii de medicamente (români sau străini), cât şi comercianţii de medicamente (români sau străini), dar numai pentru medicamentele comercializate care se plătesc din Fondul naţional unic de asigurări sociale de sănătate şi din bugetul Ministerului Sănătăţii, potrivit art. 1 din Ordonanţa de urgenţă a Guvernului nr. 77/2011, neavând relevanţă dacă medicamentele comercializate sunt incluse în programele naţionale de sănătate ori folosite în tratamentul ambulatoriu prin farmaciile cu circuit deschis, potrivit art. 1 din ordonanţa de urgenţă. 2. În ce priveşte individualizarea concretă a medicamentelor comercializate pentru care se datorează taxa, Curtea a reţinut, potrivit art. 4 alin. (1) şi (2) din ordonanţa de urgenţă, că acestea figurează în lista pe care deţinătorii de autorizaţii de punere pe piaţă sunt obligaţi să o depună la Casa Naţională de Asigurări de Sănătate în termen de 30 de zile de la intrarea în vigoare a prevederilor ordonanţei de urgenţă. 3. În ce priveşte întinderea şi modul de calcul al taxei, Curtea a reţinut că aceasta este datorată trimestrial şi se raportează la consumul de medicamente comercializate aferent vânzărilor fiecărui plătitor prin aplicarea unui procent „p“ asupra acestora, potrivit art. 3 din ordonanţa de urgenţă. 4. Având în vedere cele arătate, Curtea a constatat că excepţia de neconstituţionalitate a prevederilor Ordonanţei de urgenţă a Guvernului nr. 77/2011, şi în mod special ale art. 1 şi art. 3 criticate în speţa respectivă, vizau probleme ce ţin de modul de interpretare şi aplicare a legii la cauzele deduse judecăţii, aspect ce excedează competenţei instanţei de contencios constituţional, iar excepţia de neconstituţionalitate a fost respinsă ca inadmisibilă. 5. Dispoziţiile art. 3 din Ordonanţa de urgenţă a Guvernului nr. 77/2011, în forma sa iniţială, aplicabile în anul 2011, nu prevedeau expressis verbis că în baza de calcul asupra căreia se aplică procentul „p“ se include şi taxa pe valoarea adăugată, însă, prin Ordonanţa de urgenţă a Guvernului nr. 110/2011 ce completează Ordonanţa de urgenţă a Guvernului nr. 77/2011, respectiv prin introducerea art. 31, s-a prevăzut în mod expres că formula de calcul include şi taxa pe valoarea adăugată. Prin urmare, în cazul notificărilor transmise de Casa Naţională de Asigurări de Sănătate întemeiate pe dispoziţiile art. 3, şi nu pe cele ale art. 31 din Ordonanţa de urgenţă a Guvernului nr. 77/2011, numai instanţele de judecată aveau competenţa legală să facă interpretarea şi aplicarea legii şi să stabilească în ce măsură, potrivit dispoziţiilor art. 3 din ordonanţa de urgenţă, procentul „p“ urmează a fi aplicat şi asupra taxei pe valoarea adăugată. II. Ulterior, prin Decizia nr. 39 din 5 februarie 2013, publicată în Monitorul Oficial al României, Partea I, nr. 100 din 20 februarie 2013, Curtea fiind sesizată cu excepţia de neconstituţionalitate a prevederilor art. 31, a declarat neconstituţională sintagma „care include şi taxa pe valoarea adăugată“, chiar dacă prin art. 7 din Ordonanţa Guvernului nr. 17/2012 privind reglementarea unor măsuri fiscal-bugetare, anterioară pronunţării acestei decizii, s-a prevăzut cu claritate că procentul „p“ nu se mai aplică şi asupra taxei pe valoarea adăugată. În această situaţie, analizând evoluţia prevederilor legale ale Ordonanţei de urgenţă a Guvernului nr. 77/2011, se constată că iniţial nu era prevăzut că procentul „p“ se aplică şi asupra taxei pe valoarea adăugată; ulterior, prin Ordonanţa de urgenţă a Guvernului nr. 110/2011 s-a prevăzut că „începând cu trimestrul I al anului 2012 contribuţia trimestrială, [...] se calculează astfel: [...]“, iar „prin valoarea vânzărilor (...) se înţelege valoarea medicamentelor suportate, potrivit legii, din Fondul naţional unic de asigurări sociale de sănătate şi din bugetul Ministerului Sănătăţii, care include şi taxa pe valoarea adăugată“, pentru ca apoi, potrivit ultimei completări apărute prin Ordonanţa Guvernului nr. 17/2012, să fie clarificată această problemă, în sensul că în valoarea vânzărilor asupra căreia se aplică procentul „p“ nu se include şi taxa pe valoarea adăugată, respectiv că „începând cu trimestrul IV 2012, calculul contribuţiei trimestriale se realizează potrivit formulei prevăzute la art. 3 din Ordonanţa de urgenţă a Guvernului nr. 77/2011 (...), unde CTt şi BAt nu includ taxa pe valoarea adăugată (...)“. În tot acest interval, instanţele de judecată erau chemate să facă aplicarea prevederilor legale potrivit principiului tempus regit actum. Cum, potrivit jurisprudenţei sale constante, forţa obligatorie ce însoţeşte dispozitivul se aplică şi considerentelor deciziilor Curţii Constituţionale, instanţele judecătoreşti urmează să aplice prevederile legale potrivit deciziilor Curţii Constituţionale, în sensul că baza de calcul a taxei clawback nu conţine şi taxa pe valoarea adăugată. III. Distinct de cele constatate în jurisprudenţa anterioară a instanţei de contencios constituţional, Curtea reţine, pe de o parte, că taxa de clawback este o taxă parafiscală, stabilită potrivit prevederilor art. 139 din Constituţie, în virtutea cărora „Impozitele, taxele şi orice alte venituri ale bugetului de stat şi ale bugetului asigurărilor sociale de stat se stabilesc numai prin lege“. Aşadar, taxele parafiscale reprezintă o categorie distinctă, specială de venituri care sunt legal dirijate în beneficiul instituţiilor şi/sau organismelor cărora statul consideră oportun să le asigure realizarea, pe această cale, a unor venituri complementare. Ca atare, este dreptul exclusiv al legiuitorului să stabilească plătitorii taxelor parafiscale, în speţă ai taxei de clawback, respectiv agenţii economici care sunt vizaţi în mod expres de reglementările Ordonanţei de urgenţă a Guvernului nr. 77/2011. Pe de altă parte, Curtea observă că prevederile criticate au fost edictate în virtutea prevederilor art. 61 din Constituţie, potrivit cărora „Parlamentul este [...] unica autoritate legiuitoare a ţării“, coroborate cu cele ale art. 115 referitoare la delegarea legislativă, astfel încât modificarea, completarea ori abrogarea normelor juridice constituie atribuţii exclusive ale acestuia. IV. Totodată, Curtea observă că asupra excepţiei de neconstituţionalitate a unor dispoziţii din Ordonanţa de urgenţă a Guvernului nr. 77/2011, în forma sa iniţială, respectiv aplicabilă pentru anul 2011, s-a mai pronunţat, în raport cu critici şi prevederi similare, formulate chiar de autoarele prezentei excepţii de neconstituţionalitate, însă, într-o altă cauză aflată pe rolul instanţelor de judecată având ca obiect soluţionarea unei cereri de anulare a unor notificări comunicate în temeiul art. 3 al Ordonanţei de urgenţă a Guvernului nr. 77/2011. În acest sens este Decizia nr. 52 din 12 februarie 2013, publicată în Monitorul Oficial al României, Partea I, nr. 167 din 28 martie 2013, prin care Curtea a respins, ca inadmisibilă, excepţia de neconstituţionalitate. V. Având în vedere cele prezentate mai sus şi, dat fiind că, în speţa de faţă, instanţa de judecată a sesizat Curtea Constituţională prin Încheierea din data 12 februarie 2013, înainte de publicarea Deciziei nr. 39 din 5 februarie 2013, publicată în Monitorul Oficial al României, Partea I, nr. 100 din 20 februarie 2013, excepţia de neconstituţionalitate urmează a fi respinsă ca devenită inadmisibilă în ceea ce priveşte sintagma „care include şi taxa pe valoarea adăugată“ şi inadmisibilă în ceea ce priveşte celelalte dispoziţii ale art. 31 din Ordonanţa de urgenţă a Guvernului nr. 77/2011. Pentru considerentele expuse, în temeiul art. 146 lit. d) şi al art. 147 alin. (4) din Constituţie, precum şi al art. 1-3, al art. 11 alin. (1) lit. A.d) şi al art. 29 din Legea nr. 47/1992, CURTEA CONSTITUŢIONALĂ În numele legii DECIDE: I. Respinge, ca devenită inadmisibilă, excepţia de neconstituţionalitate a dispoziţiilor privind sintagma „care include şi taxa pe valoarea adăugată“ din cuprinsul art. 31 alin. (5) al Ordonanţei de urgenţă a Guvernului nr. 77/2011, astfel cum a fost completată prin Ordonanţa de urgenţă a Guvernului nr. 110/2011, excepţie ridicată de Societatea Comercială „Terapia“ - S.A., cu sediul în Cluj-Napoca, în nume personal, precum şi în numele Societăţii Comerciale Ranbaxy UK LTD şi Societăţii Comerciale Daiichi Sankyo Europe GmbH, în calitate de reprezentant legal, în Dosarul nr. 5.492/2/2012 al Curţii de Apel Bucureşti - Secţia a VIII-a contencios administrativ şi fiscal. II. Respinge, ca inadmisibilă, excepţia de neconstituţionalitate a celorlalte dispoziţii ale art. 31 din Ordonanţa de urgenţă a Guvernului nr. 77/2011 privind stabilirea unei contribuţii pentru finanţarea unor cheltuieli în domeniul sănătăţii, excepţie ridicată de aceleaşi autoare în acelaşi dosar al aceleiaşi instanţe. Definitivă şi general obligatorie. Decizia se comunică Curţii de Apel Bucureşti - Secţia a VIII-a contencios administrativ şi fiscal şi se publică în Monitorul Oficial al României, Partea I. Pronunţată în şedinţa din data de 21 mai 2013. PREŞEDINTELE CURŢII CONSTITUŢIONALE AUGUSTIN ZEGREAN Magistrat-asistent, Ioniţa Cochinţu


SmartCity5

COMENTARII la Decizia 245/2013

Momentan nu exista niciun comentariu la Decizia 245 din 2013
Comentarii la alte acte
ANONIM a comentat Decretul 360 2017
    How Marv Web Can Assist in Cryptocurrency Recovery The recovery of cryptocurrencies has been revolutionized by MARV Web. They are incredibly quick and effective, making sure that every procedure goes without a hitch. Their customer support is always accessible and friendly, and their service is unmatched in terms of dependability. I've never felt more confident or comfortable about my ability to properly recover my cryptocurrency holdings. Because of their exceptional quickness, dependability, and effectiveness in bitcoin recovery, MARV Web stands out in the industry and is highly recommended! They can be reached at: Email address: marv.web@mail.com WhatsApp;+601126730582 Web;https://marvweb9.wixsite.com/marv-web-crypto-expe
ANONIM a comentat Legea 266 2001
    How Marv Web Can Assist in Cryptocurrency Recovery The recovery of cryptocurrencies has been revolutionized by MARV Web. They are incredibly quick and effective, making sure that every procedure goes without a hitch. Their customer support is always accessible and friendly, and their service is unmatched in terms of dependability. I've never felt more confident or comfortable about my ability to properly recover my cryptocurrency holdings. Because of their exceptional quickness, dependability, and effectiveness in bitcoin recovery, MARV Web stands out in the industry and is highly recommended! They can be reached at: Email address: marv.web@mail.com WhatsApp;+601126730582 Web;https://marvweb9.wixsite.com/marv-web-crypto-expe
ANONIM a comentat Decizia 220 2018
    Buongiorno E-mail: giovannidinatale1954@­gmail.­com Offerte individuali in denaro da 2.000 a 5.200.000, con un tasso di interesse è rimborsabile del 3% in un periodo compreso tra 2 e 30 anni. Condizioni ragionevoli se la mia offerta ti interessa contattami di più rapidamente per discutere le modalità e documenti da fornire. giovannidinatale1954@­gmail.­com
ANONIM a comentat Decizia 220 2018
    Buongiorno E-mail: giovannidinatale1954@­gmail.­com Offerte individuali in denaro da 2.000 a 5.200.000, con un tasso di interesse è rimborsabile del 3% in un periodo compreso tra 2 e 30 anni. Condizioni ragionevoli se la mia offerta ti interessa contattami di più rapidamente per discutere le modalità e documenti da fornire. giovannidinatale1954@­gmail.­com
ANONIM a comentat Decretul 358 1948
    What type of loan do you need? Personal loan Car loan Refinancing Mortgage Business capital (start or expand your business) Have you lost hope and think that there is no way out, but your financial problems are still not gone? Do not hesitate to contact us for possible business cooperation. Contact us (WhatsApp) number +918131851434 contact email id : sumitihomelend@gmail.com Mr. Damian Sumiti
ANONIM a comentat Decretul 139 2005
    HIRE A GENUINE HACKER TO RECOVER YOUR LOST FUNDS Hello everyone, The Cryptocurrency world is very volatile and a lot of individuals have lost their crypto assets to online scams . I was also a victim. Last October I was contacted by a broker who convinced me to invest in Crypto. I made an initial investment of € 875,000. I followed their instructions. For TWO months now I have been trying to contact them all day, but I got no response. God is so kind. I followed a broadcast that teaches on how these recovery experts called THE HACK ANGELS RECOVERY EXPERT. Help individuals recover their lost funds back. I contacted the email provided for consultation, to help me recover my funds. I contacted them. These cryptocurrency recovery experts saved my life by helping me recover all my losses in just nine hours. I provided necessary requirements and relative information to complete the successful recovery of my crypto funds. I was filled with joy asI got my everything back. I really can't tell how happy I am. I said I will not hold this to myself but share it to the public so that all scammed victims can get their funds back, you can contact them today through their hotline at: WhatsApp +1(520)200-2320) (support@thehackangels.com). (www.thehackangels.com) If you're in London, you can even visit them in person at their office located at 45-46 Red Lion Street, London WC1R 4PF, UK. They’re super helpful and really know their stuff! Don’t hesitate to reach out if you need help.
ANONIM a comentat Decretul 139 2005
    HIRE A GENUINE HACKER TO RECOVER YOUR LOST FUNDS Hello everyone, The Cryptocurrency world is very volatile and a lot of individuals have lost their crypto assets to online scams . I was also a victim. Last October I was contacted by a broker who convinced me to invest in Crypto. I made an initial investment of € 875,000. I followed their instructions. For TWO months now I have been trying to contact them all day, but I got no response. God is so kind. I followed a broadcast that teaches on how these recovery experts called THE HACK ANGELS RECOVERY EXPERT. Help individuals recover their lost funds back. I contacted the email provided for consultation, to help me recover my funds. I contacted them. These cryptocurrency recovery experts saved my life by helping me recover all my losses in just nine hours. I provided necessary requirements and relative information to complete the successful recovery of my crypto funds. I was filled with joy asI got my everything back. I really can't tell how happy I am. I said I will not hold this to myself but share it to the public so that all scammed victims can get their funds back, you can contact them today through their hotline at: WhatsApp +1(520)200-2320) (support@thehackangels.com). (www.thehackangels.com) If you're in London, you can even visit them in person at their office located at 45-46 Red Lion Street, London WC1R 4PF, UK. They’re super helpful and really know their stuff! Don’t hesitate to reach out if you need help.
ANONIM a comentat Decretul 139 2005
    HIRE A GENUINE HACKER TO RECOVER YOUR LOST FUNDS Hello everyone, The Cryptocurrency world is very volatile and a lot of individuals have lost their crypto assets to online scams . I was also a victim. Last October I was contacted by a broker who convinced me to invest in Crypto. I made an initial investment of € 875,000. I followed their instructions. For TWO months now I have been trying to contact them all day, but I got no response. God is so kind. I followed a broadcast that teaches on how these recovery experts called THE HACK ANGELS RECOVERY EXPERT. Help individuals recover their lost funds back. I contacted the email provided for consultation, to help me recover my funds. I contacted them. These cryptocurrency recovery experts saved my life by helping me recover all my losses in just nine hours. I provided necessary requirements and relative information to complete the successful recovery of my crypto funds. I was filled with joy asI got my everything back. I really can't tell how happy I am. I said I will not hold this to myself but share it to the public so that all scammed victims can get their funds back, you can contact them today through their hotline at: WhatsApp +1(520)200-2320) (support@thehackangels.com). (www.thehackangels.com) If you're in London, you can even visit them in person at their office located at 45-46 Red Lion Street, London WC1R 4PF, UK. They’re super helpful and really know their stuff! Don’t hesitate to reach out if you need help.
ANONIM a comentat Raport 1937 2021
    Obțineți creditul în 24 de ore În calitate de client al LOPEZ GROUP FINANZAS, vă recomand pentru toate nevoile dumneavoastră de finanțare la cota de 2%. Pentru cei dintre voi care au nevoie de un împrumut, nu ezitați să o contactați ca mine și veți fi mulțumiți: lopezfinanzas95@gmail.com
ANONIM a comentat Raport 1937 2021
    Obțineți creditul în 24 de ore În calitate de client al LOPEZ GROUP FINANZAS, vă recomand pentru toate nevoile dumneavoastră de finanțare la cota de 2%. Pentru cei dintre voi care au nevoie de un împrumut, nu ezitați să o contactați ca mine și veți fi mulțumiți: lopezfinanzas95@gmail.com
Alte acte pe aceeaşi temă cu Decizia 245/2013
Coduri postale Prefixe si Coduri postale din Romania Magazin si service calculatoare Sibiu